Все науки. №1, 2023. Международный научный журнал

- -
- 100%
- +
ИЗМЕРИТЕЛЬ ВЛАЖНОСТИ НА ПОЛУПРОВОДНИКОВЫХ ИЗЛУЧАТЕЛЯХ
УДК 621.38
Кулдашов Оббозжон Хокимович
Доктор технических наук, профессор Научно-исследовательского института «Физики полупроводников и микроэлектроники» при Национальном Университете Узбекистана
Сайфуллаев Хамидулло Тургунбай угли, Болтабоев Жавохир Жахонгир угли
Магистры 2 курса кафедры «Физики полупроводников и полимеров» физического факультета Национального Университета Узбекистана имени Мирзо Улугбека
Научно-исследовательский институт «Физики полупроводников и микроэлектроники» при Национальном университете Узбекистана
Аннотация. В статье предложен измеритель влажности на полупроводниковых излучателях. Приведены спектральные характеристики влажности и светодиода. Приведена блок схема измерителя влажности на полупроводниковых излучателях.
В измерителе влажности на полупроводниковых излучателях использованы в качестве излучающего диода на опорной длине волне светодиоды на основе GaAlAsSb/GaInAsSb/GaAlAsSb (2.2 мкм), а излучающего диода на измерительной длине волны светодиоды на основе GaAlAsSb/GaInAsSb/GaAlAsSb (1.94 мкм).
Ключевые слова: оптоэлектроника, спектры, поглощение, светодиоды, фотодиоды, устройство, математическая модель, блок схема, микропроцессорный блок.
Annotation. The article proposes a humidity meter based on semiconductor emitters. The spectral characteristics of humidity and LED are given. A block diagram of a humidity meter on semiconductor emitters is given.
In the humidity meter on semiconductor emitters, LEDs based on GaAlAsSb/GaInAsSb/GaAlAsSb (2.2 microns) are used as a emitting diode at the reference wavelength, and LEDs based on GaAlAsSb/GaInAsSb/GaAlAsSb (1.94 microns) are used as a emitting diode at the measuring wavelength.
Keywords: optoelectronics, spectra, absorption, LEDs, photodiodes, device, mathematical model, block diagram, microprocessor unit.
Введение
Основой оптоэлектронных методов и устройств являются излучатели и фотоприемники. Широкое применение оптоэлектронных методов сдерживалось отсутствием простых надежных источников излучения. Появление полупроводниковых источников излучения значительно расширило области применения оптоэлектронных методов и устройств [1].
В настоящее время разработаны и серийно выпускаются полупроводниковые излучатели со спектром излучения, начиная с ультрафиолетового участка до ближнего инфракрасного участка оптического спектра. Практически в настоящее время можно разработать излучатели в диапазоне от 210 до 4000 мкм со спектральными характеристиками, близкими к монохроматическим (с квазимонохроматическими спектральными характеристиками). Особенности полупроводниковых излучателей – высокое быстродействие, возможность управления потоком излучения током, монохроматичность, достаточная мощность излучения и малые габаритные размеры. Наличие таких преимуществ у полупроводниковых излучателей создает предпосылки для исследования и разработки различных устройств контроля, измерения и преобразования для различных областей науки и техники. Отсюда и следует широкий спектр работ в области создания устройств и систем на полупроводниковых излучателях [2].
Основой оптических методов и устройств является наличие излучателя и оптически связанного с ним через среду фотоприемника. Излучение, создаваемое излучателем, пройдя через среду (воздух, вещество и т.д.), воспринимается фотоприемником. В этих методах и устройствах в качестве носителя информации используется оптическое излучение, не создающее электромагнитные помехи и не подверженное влиянию этих помех. Наличие такой особенности и простота приборной реализации создают предпосылки исследования и разработки различных устройств, основанных на применении оптического излучения [3].
Основная часть
Для построения измерителя влагомеров на полупроводниковых излучателях важнқм является свойство воды поглощать ИК – излучение определенной длины волны [4]. Все вещества и материалы обладает определенной гигроскопичностью и, следовательно, поглощают влагу из внешней среды. Анализ спектральных характеристик показал, что полосы поглощения лежат в пределах 0,76…0,97 и 1,19…1,94 мкм [5].
В таблице 1 приведены спектры поглощения воды и их принадлежность.

Из разных спектральных характеристик сухого вещества (рис. 1, кривая 1) и при влажности 9% Н2О (кривая 2) следует, что на длине волны 1,94 мкм вода обладает значительным поглощением [6]. В измерителе влажности на полупроводниковых излучателях в качестве опорного канала использованы светодиоды со спектрами излучения 2,2 мкм, а в качестве измерительного канал светодиоды со спектрами излучения 1,94 мкм).

Рис. 1. Спектры излучения светодиодов LED1, LED2 и спектральная чувствительность фотодиода PD24.
Разработаны светодиоды на основе полупроводникового соединения GaSb и его твердых растворов GaInAsSb и AlGaAsSb для измерения влажности хлопка – сырца. Светодиодные структуры изготовлены методом ЖФЭ и выращены на подложках GaSb n-типа проводимости, легированы Te до концентрации электронов 8·1017 см-3. Излучатели для измерения влажности хлопка-сырца состояли из активного слоя n – GaInAsSb (Eg = 0,51 эВ) толщиной 2—3 мкм и выращены на подложках n – GaSb а также легировались Te до концентрации носителей заряда 9·1017 см-3, широкозонный эмиттер p – AlGaAsSb, легирован германием до концентрации 5·1018 см-3 (рис.2).

Рис.2. Светодиод на основе GaSb для измерения влажности.
Светодиоды на основе полупроводникового соединения GaSb для измерения влажности хлопка – сырца, при температуре 24 0С имели внешний квантовый выход фотонов 5,9 – 6,5% и оптическую мощность 3,9 мВт в постоянном токе.
Для максимального вывода оптического излучения использован корпус ТО-18 с параболическим отражателем, позволяющий сколлимировать излучение под углом 10—11о. На рис. 3 приведена конструкция ИК – светодиода:

Рис. 3. Светодиод с параболическим рефлектором: а) конструкция, б) спектры излучения, в) ВАХ (где:1 – светодиодный чип (1, 94 мкм), 2 – термохолодильник, 3 – светодиодный чип (2, 2 мкм), 4 – параболический рефлектор)
Светодиоды на основе двойной гетероструктуры GaAlAsSb/GaInAsSb/ GaAlAsSb, имели квантовый выход 5,8%, длину волны излучения 1,94 мкм для измерения влажности хлопка – сырца, на таблице 2 приведены её основные параметры.
Предложенной конструкции обеспечивается равные условия для двух кристаллов светодиода, таким образом устраняются временные и температурные нестабильности их основных параметров.

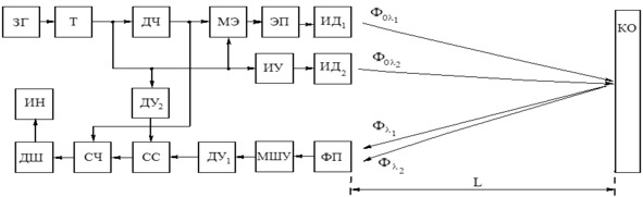
На рис. 3 приведена блок-схема цифрового измерителя влажности, которая состоит из следующих элементов: задающей генератор – ЗГ; триггер – Т; делитель частоты – ДЧ; дифференцирующие устройства – ДУ1, ДУ2; модулятор экспоненты – МЭ; эммитерный повторитель – ЭП; импульсный усилитель – ИУ; приемник излучения – ФП; малошумящий усилитель – МШУ; схема совпадения – СС; счетчик – СЧ; дешифратор – ДШ; индикатор – ИН; опорный светодиод – ИД1; измерительный светодиод – ИД2.

Рис.4. Блок схема измерителя влажности на полупроводниковых излучателях
Характерными особенностями измерителя влажности на полупроводниковых излучателях является высокая избирательность, чувствительность, точность и воспроизводимость измерений, а также возможность непрерывного неразрушающего контроля, бесконтактность и экспрессность анализа
Заключение
Для создания измерителя влажности на полупроводниковых излучателях определена оптимальная полоса поглощения, свободная от полосы поглощения мешающих компонентов l1 = 1.94 мкм.
В оптоэлектронном устройстве использованы в качестве излучающего диода на опорной длине волне светодиоды на основе GaAlAsSb/GaInAsSb/ GaAlAsSb (2.2 мкм), а излучающего диода на измерительной длине волны светодиоды на основе GaAlAsSb/GaInAsSb/GaAlAsSb (1.94 мкм).
Абсолютная погрешность результатов измерения содержания влаги составляло 0,5%.
Литература
1. Башкатов А. С., Мещерова Д. Н. «Основные тенденции развития оптоэлектронной техники до 2030 года,» Тезисы докладов Российской конференции и школы молодых ученых по актуальным проблемам полупроводниковой фотоэлектроники «Фотоника-2019», 2019, doi: 10.34077/rcsp2019—25. с.25—26.
2. Богданович М. В. «Измеритель содержания воды в нефти и нефтепродуктах на основе инфракрасных оптоэлектронных пар светодиод-фотодиод,» Журнал технической физики, 2017, doi: 10.21883/jtf.2017.02.44146.1791.
3. Машарипов Ш. М. Анализ современных методов и технических средств измерения влажности хлопковых материалов. // Приборы, 2016, №4., с 31—37.
4. Демьянченко М. А. Поглощение инфракрасного излучения в многослойной болометрической структуре с тонким металлическим поглотителем // Оптический журнал. – 2017. Том 84 – С. 48 – 56.
5. Rakovics V., Именков А. Н., Шерстнев В. В., Серебренникова О. Ю., Ильинская Н. Д., Яковлев Ю. П. «Мощные светодиоды на основе гетероструктур InGaAsP/InP,» fiz. i tekhnika poluprovodn., 2014.Т.48.с.1693—1697.
6. Артёмов В. Г., Волков А. А., Сысоев Н. Н. «Спектр поглощения воды как отражение диффузии зарядов // Известия Российской академии наук. Серия физическая, Известия Российской академии наук. Серия физическая. – 2018. – Т.82. – С. 67 – 71. doi: 10.7868/s0367676518010143.
УСТРОЙСТВА ДЛЯ ДИСТАНЦИОННОГО КОНТРОЛЯ ТЕМПЕРАТУРЫ НА ОСНОВЕ СВЕТОДИОДОВ (λ=2,0 мкм)
УДК 621.38
Кулдашов Оббозжон Хокимович
Доктор технических наук, профессор Научно-исследовательского института «Физики полупроводников и микроэлектроники» при Национальном Университете Узбекистана
Эргашев Дониёр Жамолиддин угли
Магистр 2 курса кафедры «Физики полупроводников и полимеров» физического факультета Национального Университета Узбекистана имени Мирзо Улугбека
Научно-исследовательский институт «Физики полупроводников и микроэлектроники» при Национальном университете Узбекистана
Аннотация. Предложено оптоэлектронное устройство для дистанционного контроля температуры малоразмерных объектов, которое может быть успешно использовано при исследовании температурных характеристик гелиотехнических установок.
Ключевые слова: температура, оптоэлектроника, датчик, контроль, светодиод, фотодиод, блок схема, конструкция.
Annotation. An optoelectronic device for remote temperature control of small-sized objects is proposed, which can be successfully used in the study of temperature characteristics of solar installations.
Keywords: temperature, optoelectronics, sensor, control, LED, photodiode, block diagram, design.
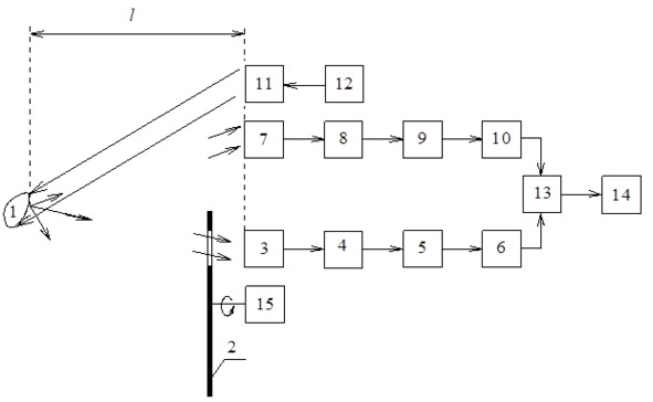
Устройство для дистанционного контроля температуры содержит объект контроля 1, который через модулятор 2 оптически связан с первым приемником излучения 3, выход которого через первый усилитель 4, первый амплитудный детектор 5 и первый интегратор 6, соединённый с первым входом устройства получения отношения сигналов 13, второй приемник излучения 7, выход которого через второй усилитель 8, второй амплитудный детектор 9 и второй интегратор 10 соединен со вторым входом устройства получения отношения сигналов 13 выход которого соединен с входом регистрирующего устройство 14, устройство управления источника колмированного излучения 12, вход которого соединен с выходом первого усилителя 4, а выход соединен с входом источника колмированного излучения 11, который через отражение от поверхности контролируемого объекта 1 оптически связан со вторым приемником излучения 7, электрическим двигателем 15, ротор, которого механически связан с осью вращения модулятора 2. На рис.4.13. показана конструкция модулятора. Здесь: 16-ось вращения модулятора; 17-модулирующие отверстия; 18-металлический диск. На рисунок 4.14 приведены временные диаграммы, поясняющие принцип работы предлагаемого устройства. На рис.1 приведена блок схема, а на рис 2 конструкция датчика.
Оптоэлектронное устройство работает следующим образом. Тепловой поток излучения ФПИ1 (λ) объекта контроля 1, который пропорционален его температуре, проходит дистанцию l, модулируется модулятором 2 и поступает на чувствительную площадь первого приемника излучения. Поток, достигающий чувствительную площадь первого приемника излучения, согласно с теории оптоэлектронных приборов определяется как:

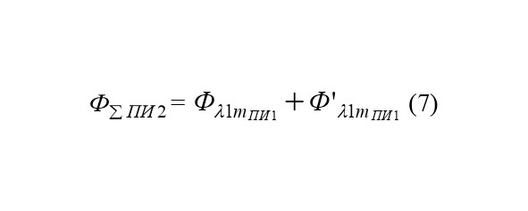
где: τc (λ) – спектральный коэффициент пропускания атмосферы; Mко (λ) – спектральная плотность энергетической светимости, излучающая поверхности контролируемого объекта; Ако – площадь излучающей поверхности контролируемого объекта; DПИ1 – диаметр входного зрачка первого приемника излучения; l – расстояние между контролируемым объектом и первым фотоприемником.
На таблице 1 приведены основные характеристики фотодиодов
С учетом что

выражения (1) примет вид:

где: εко (λ) – спектральный коэффициент теплового излучения контролируемого объекта; MЧТ (λ) – спектральная плотность энергетической светимости черного тела. Учитывая, что приемник излучения работает в ограниченном спектральном диапазоне выражение (2) для длин волн λ1m которое соответствует максимуму чувствительности первого приемника излучений можно записать как:

где: ελ1mк0 – спектральный коэффициент теплового излучения контролируемого объекта на длинах волн λ1m; Mλ1mчт – спектральная плотность энергетической светимости черного тела на длинах волн λ1m; τλ1mс – коэффициент пропускания атмосферы на длинах волн λ1m.

Рис.1. Блок схема оптоэлектронного устройства.

Рис.2. Конструкция модулятора.

Рис.3. Временные диаграммы оптоэлектронного устройства.

Рис.4. Конструкция датчика.
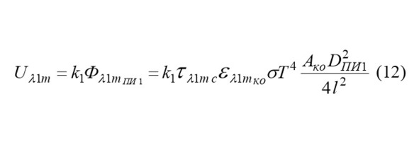
С учетом закона Стефана- Больцмана что Mλ1mчт=σТ4 выражение (4) примет вид:

где: Т – температура контролируемого объекта; σ=5,6697*10—8 Вт*м-2*К-4 – постоянная Стефана-Больцмана.
Кроме этого на чувствительную площадь первого приемника излучений 3 воздействует тепловой поток излучения от модулятора 2 который может быт описан соотношением

где: ελ1mм0 – спектральный коэффициент теплового излучения модулятора на длинах волн λ1m; Tмо – температура модулятора; Амо – площадь излучаемой поверхности модулятора; lмо – расстояние между модулятором и первым приемником излучения.
Поэтому суммарный поток воздействующий на чувствительную площадь первого приемника излучения имеет вид.

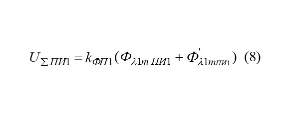
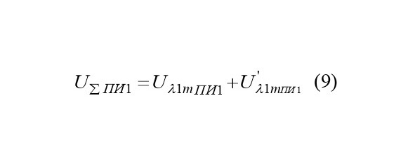
Тогда напряжение на выходе первого приемника излучений определяется как:

или

где: – коэффициент передачи первого приемника излучения.
Напряжение соответствующее выражению (9) с выхода второго приемника излучения 3 усиливается первым усилителем 4, в результате чего на его выходе формируется переменный электрический сигнал (см. фиг.3.в) амплитуда которого определяется как:

где ky1 – коэффициент передачи первого усилителя 4.
Так как из-за использования дискового модулятора с симметричным модулирующими отверстиями, теплового излучения самого модулятора, который воздействует на чувствительную площадь первого приемника излучения в течение периода модуляции остается постоянным (см. рисунок 3 а) т.е.

Поэтому постоянная составляющего суммарного сигнала первого приёмника излучения 3 через усилитель переменного тока 4 не проходит. Т.е. амплитуда переменного составляющего усиленного сигнала является пропорциональным только лишь амплитуде потока Фλ1mПИ1.
Переменное составляющее усиленного сигнала детектируется первым амплитудным детектором 5. Детектированный сигнал (см. рисунок 3.д) с выхода первого амплитудного детектора 5 интегрируется первым интегратором 6 и подается на первый вход устройства получения отношения сигналов 13.
При этом напряжение, подводимое на первый вход устройства получения отношения сигналов 13, с учетом вышеизложенных может, быть описано выражением:

где k1=kПИ1kУ1kАД1kИНТ1 – общий коэффициент передачи блоков последовательно соединенных с первым приемником излучения 3, первого усилителя 4, первого амплитудного детектора 5 и первого интегратора 6; kАД1 – коэффициент передачи первого амплитудного детектора; kИНТ1 – коэффициент передачи первого интегратора.
При воздействии выходного сигнала первого усилителя 4 на вход устройства управления источника коллимированного излучении 12 на его выходе формируется противофазный электрический сигнал. Последний подается на вход источника коллимированного излучения 11 и вызывает на его выходе импульсный поток коллимированного излучения.
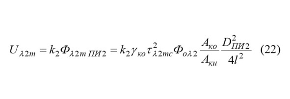
Сформированный поток, источником коллимированного излучения 11 наводится к площади контролируемого объекта 1. При этом поток достигающий поверхность контролируемого объекта 1 в случае, Ако≤Акиопределяется как:

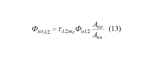
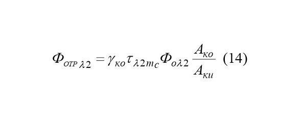
где Аки – площадь поперечного сечения коллимированного излучения; τλ2mc – коэффициент пропускания атмосферы на длинах волн λ2m; Фоλ2 – начальный поток коллимированного излучения. При этом отраженный поток от поверхности контролируемого объекта 1 определяется как:

где γко – коэффициент отражения поверхности контролируемого объекта на длинах волн λ2.
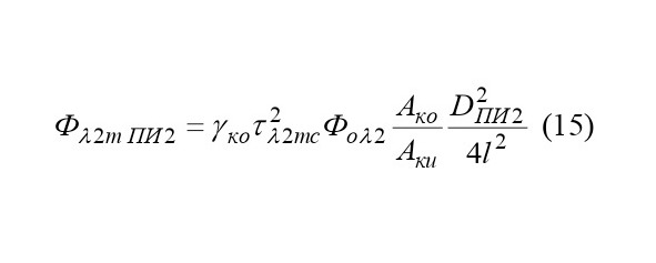
При этом выражение для отраженного модулированного потока от поверхности контролируемого объекта и достигающего на чувствительную площадь второго приемника излучения 7 имеет вид:

где: DПИ2 – диаметр входного зрачка второго приемника излучения.
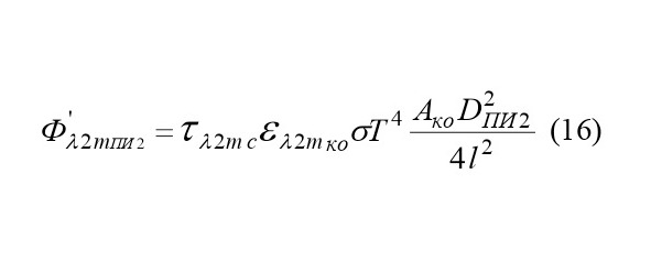
Кроме этого, в случае частичного совпадения спектр излучения контролируемого объекта со спектральной чувствительностью второго приемника излучений 7 на чувствительную площадь последнего воздействует немодулированный поток излучения от контролируемого объекта на длине волне λ2m.

где: ελ2mко – спектральный коэффициент теплового излучения контролируемого объекта на длинах волн λ2m;
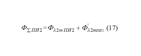
Тогда суммарный поток излучения, воздействующий на чувствительную площадь второго приемника излучения 7 имеет вид.

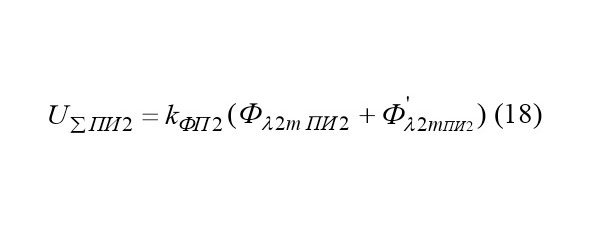
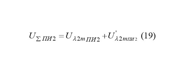
Поэтому напряжение на выходе второго приемника излучений определяется как:

или

где kФП2 – коэффициент передачи второго приемника излучения.
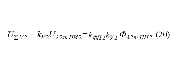
Напряжение соответствующее выражению (18) с выхода второго приемника излучения 7 усиливается вторым усилителем 8 в результате чего на его выходе формируется переменный электрический сигнал (см. рис.3. г) амплитуда которого определяется как:

где ky2 – коэффициент передачи второго усилителя 8.
Так как в течение периода повторение модуляции Uλ2mПИ2 можно считать постоянным т.е. (см. фиг.3.б)

Поэтому постоянная составляющая суммарного сигнала второго приёмника излучения 7 через усилитель переменного тока 8 не проходит. Т.е. амплитуда переменного составляющие усиленного сигнала является пропорциональным только лишь амплитуде потока Фλ2mПИ2.
Переменное составляющее усиленного сигнала детектируется вторым амплитудным детектором 9. Детектированный сигнал (см. рисунок 3. е) с выхода второго амплитудного детектора 9 интегрируется вторым интегратором 10 и подается на второй вход устройства получения отношения сигналов 13.
При этом напряжение, подводимое на второй вход устройства получения отношения сигналов 13, с учетом вышеизложенных может, быть определено как:

где k2=kФП2kУ2kАД2kИНТ2 – общий коэффициент передачи блоков последовательно соединенных второго приемника излучения 7, второго усилителя 8, второго амплитудного детектора 9 и второго интегратора 10; kАД2 – коэффициент передачи второго амплитудного детектора; kИНТ2 – коэффициент передачи второго интегратора.
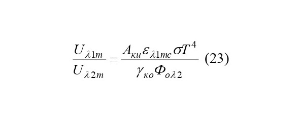
Известно, что у оптических приборов, предназначенных для измерения температуры в основном применяется прозрачная область спектра атмосферы. Поэтому для небольшой дистанции между объектом контроля и приемником излучений можно считать, что, τλ1mc=τλ2mc»1. Тогда при использовании идентичных электронных блоков для потоков излучения Фλ1mПИ1 и Фλ2mПИ2 имеем k1=k2. Поэтому на выходе устройства получения отношения сигналов 13, пропорционально температуре объекта контроля 1, формируется отношение напряжений:

или

Так как у солнечных параболоцилиндрических концентраторов коэффициент отражения в ближней и средней ИК области спектра является постоянным и составляет γλ2ко=0,1.
Тогда температура в локальной фокусной зоне солнечных параболоцилиндрических концентраторов определяется как:





