Как читать мир

- -
- 100%
- +
Cила трения – это сила, возникающая при соприкосновении двух тел и препятствующая их относительному движению. Cила терпения зависит от молекулярной структуры и на сколько эти объекты приближённые друг другу.
Формула силы трения выводится из коэффициента трения и силы реакции опоры N.

F_f=0 и величина определяется в большую или в равную сторону F_f μN.
Сила реакции опоры определяется весом mg и составляющей внешней силы, которая направлена вниз P_y.

Каждый материал имеет свой коэффициент трения найденная учитывая поверхность.
Разделяют на следующие виды:
сухое, когда взаимодействующие тела не разделены какой-либо смазкой;
граничное в этом случае на поверхности могут находиться слои других материалов (оксидная плёнка, жидкости);
Вязкое трение или жидкое, когда между телами находятся вязкие вещества основным компонентом в данном случае, является коэффициент вязкости жидкости или газа;
вязкоупругое трение в этом случае происходит внутри материала, который лежит между телами;
Cмешанное, когда могут содержатся сухие места и слои других материалов.
Статичное трение появляется, когда тела соприкасаются друг друга и покоятся.

Любая сила статичного трения меньше F_max так как при большей тело приходит в движение.
Кинематической трение. Трение, возникающее между телами, которые находятся в движении. формула та же.
Угол трене – угол необходимый чтоб начался трение скольжения.

Где θ – угол от горизонтали, а μ_s – статический коэффициент трения между телами.
Cила упругости сила возникающая в теле в результате деформации и стремящаяся вернуть его в исходное положение. Важной характеристикой деформации также является потенциальная энергия. Жёсткость тела зависит от размеров тела и материала из которого она изготовлено.
Cила упругости связанна с электромагнитных взаимодействий. Как и все силы сила упругости измеряется в Ньютонах.

где k – коэффициент упругости (жёсткость тела), ∆l – удлинение (величина деформации).
Давление количественное характеристика силы, действующая на единицу площади поверхности перпендикулярно этой поверхности.

Средняя давление – это отношение нормальной составляющей силы F_n на данную поверхность S.

Плотность – это столярная физическая величина, определяемая как отношение массы тела на занимаемый этим телом объему.
В обычных случаях плотность среднее равняется плотности обычному и находится также.

Плотность тела в точке придел отношения массы малой части тела этой точки и объему той самой точки.

Работа – это выполнение действий под действием силы.

Где F – это сила, действующая на тело, s это расстояние на второе передвинулась тело. Работа измеряется в джоулях.
Коэффициент полезного действия (КПД) – характеристика эффективности или передачи энергии в системе.

КПД теплового двигателя – это отношение проделанной работы двигателя к энергии полученного от нагревателя.

Где Q_1 – количество теплоты, полученное от нагревателя, Q2 количество теплоты, отданное холодильнику.
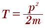
Импульс тела это физическая векторной величина показывающий механическое движение тела. В классической механике импульс вычисляется так:

Где m – масса тела v скорость данного тела. Вектор ускорения совпадает с вектором ускорения.
В механике есть такое понятие как энергия она очень упрощена и не встречается как сила, но в мире это самая важная характеристика.
Энергия этот мера взаимодействия и движения материи перехода от одного вида движения к другой.
Механическая энергия – это движение объектов способность совершить механическую работу сопровождающий взаимодействием.
Энергия в механике делится на энергию взаимодействия, то есть расстояния и кинетическую энергию движения.
Потенциальная энергия часть полной механической энергии, находящийся в поле консервативных сил.

Энергия падения тела с высоты h вычисляется так:

Потенциальная энергия деформации тела высадится по формуле:

Кинетическая энергия скалярная функция являющийся мерой движения точки. Для более мешей скорости чем скорость света записывается так.

i индекс нумерации матричных точек.
В классической механике формула выглядит гораздо проще:

Кинетическую энергию можно вычислит с применением импульса тела формула имеет вид.

Внутренняя энергия зависит от кинетической и потенциальной энергии. внутренняя энергия – это сумма кинетической и потенциальной. Из-за быстрого движения частиц в материале выделяется теплота, характеризуемая сталкиваемость частиц.
Внутренняя энергия образуется путём воздействия на объект из вне или путём разогрева.
при тех же самых деформациях появляется внутренняя энергия.
Электромагнитные явления
Самое важное после механика и самое видное в современном мире это конечно же электричество в нашей жизни она занимает главенствующую роль.
Самое главное понятие, с которого мы начнём это электризации.
Самая распространённые пример это при трении эбонитовой палочки об мех они взаимно заряжаются. Палочка зарядилась отрицательно, а мех положительно.
Положительный "+" заряд образуется из-за перехода электронов в эбонитовую палочку. В мехе получается нехватка электронов отрицательным зарядом и главенствующим заряд таким образом заряд ядра
У палочки переизбыток отрицательно заряженных электронов и из-за этого отрицательный заряд "-".
Электризация тел происходит из-за электромагнитного поля точнее электрического. Всё зависит от вида материал есть тебя которые отдают электроны легко это проводники, а плохо передавшие электроны диэлектрики. Всё зависит от атомарной решётки.
Молния простой пример электризации облака электризуются благодаря поверхности земли. Земля заряжено положительно, а облака самый нижний слой отрицательно что вызывает электрическую дугу разряд в тысячи градусов.
Направленное передача электронов в проводнике называется током. У тока есть такое понятие как сила под этим понятием понимают, чем больше электрический заряд, перенесенный частицами за единицу времени тем больше интенсивность действия тока, то есть сила тока. измеряется в Амперах 1А.

Если частицы движутся и имеют силу, то должно быть и напряжение тока чем больше напряжение, тем быстрее двигаются заряд. измеряется вольтах.
Чтоб вывести формулу напряжения нам надо узнать связанные с ней характеристики, без которых одно не выходит из другого.
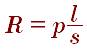
Электрическое сопротивление – это величина показывающий свойство проводника оказывать препятствия прохождению проводника.
Выводится она, зная удельное сопротивление проводника длину и площади поперечного сечения и температуры.

Измеряется в Омах 1Ом.
Работа тока – это работа совершаемое электрическим полем в процессе прохождения тока по проводнику.
Можно найти разными способами.

Теперь можно вычислить и напряжение.

Мощность тока – это работа тока совершаемое в единицу времени.

Также можно вычислить с помощью напряжения сопротивления и силу тока.

Это в случае постоянного тока, но в переменном формула принимает следующий вид.

Где cos – угол сдвига фаз между среднеквадратичными значения напряжения и силы тока. измеряется в ваттах.
Общая картина того как образуются формулы всех величин такова.
Для полного разбора данной темы не хватает одного очень важного понятия электромагнитной индукции.
Это понятие очень обширное нам знать всё не надо вникнуть и понять, что такое понятие есть для дальнейшего самостоятельного изучения.
Электромагнитная индукция – это явления при котором образуется электромагнитный ток электромагнитного поля и поляризации происходит оно из-за изменения магнитного поля во времени или движении материальной среды в магнитном поле.
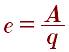
Основной величиной является электродвижущая сила столярная физическая величина характеризующее работу старинных сил действующие в цепях постоянного и переменного тока.
самая простая формула ЭДС это

Где А – работа ЭДС, q – заряд над которой проводится это работа.
Глава 4. Законы
Теперь перейдем к самому главному. Зная эти законы, вы можете описать весь насущный мир во всех его красках пойдём от самого важного к менее важным также будут теории и постулаты с рисунками формулами.
Первый Закон Ньютона
Почему он? Да потому что всегда, когда я говорил, что я типа физик в детстве и в подростковое время мне говорили: «Скажи первый закон ньютона» и я не мог ответить, а потом мне говорил «из тебя физик никудышный» иди лучи маме помогай, а я с опушенной головой обиженный шел делать домашние дела. На самом деле из-за того, что с этого закона начинается классическая физика.
Любое тело в инерционной системе до тех пор, пока на него не действуют силы или их сумма равна нулю. Сохраняет свое состояние в равномерном прямолинейном движении или в состоянии покоя.


Второй Закон Ньютона
Ускорение, приобретаемое телом под действием силы, прямо пропорционально величине этой силы и обратно пропорционально массе тела.


Третий Закон Ньютона
Сила с которой взаимодействуют любые два тела всегда равны по величине и противоположны по направлению.


Закон сохранения механической энергии:
В изолированной системе, в которой действуют консервативные силы, механическая энергия сохраняется.


Эквивалентность массы и энергии:
Энергия не возникает и не исчезает, она может превращаться из одного вида в другой, а также передаваться от одного тела к другому.

Закон всемирного тяготения:
Тела во вселенной притягиваются к друг другу с силой, прямо пропорциональной произведению их масс и обратно пропорциональной квадрату расстояния между ними.


Закон сохранения импульса:
Векторная сумма импульсов тел в замкнутой системе постоянна.


Принцип относительности Галилея:
Механические явления протекают одинаково во всех инерциальных системах отсчета, т. е. описывающие их законы динамики одинаковы.

Закон Гука:
Упругие деформации прямо пропорциональны вызывающим их внешним воздействиям.

Закон Архимеда:
На тело, погруженное в жидкость или газ, действует выталкивающая сила, направленная вертикально вверх, числено равная весу жидкости или газа, вытесненного телом, и приложенная в центре тяжести погруженной части тела.

Закон преломления света:
Падающий луч, перпендикуляр к границе раздела сред в точке падения и преломленный луч лежат в одной плоскости, причем отношение синуса угла падения к синусу угла преломления постоянно для данной пары сред и равно показателю преломления второй среды относительно первой.


Закон отражения:
При отражении луча света от граничного слоя (например, воздуха и стекла) угол падения равен точно углу отражения.


Закон прямолинейного распространения света:
В однородной среде свет распространяется прямолинейно.
Принцип Гюйгенса – Френеля:
Каждый элемент волнового фронта сам становится источником волны. А результирующий волновой фронт определяется интерференцией волн от этих вторичных источников.

Первое начало термодинамики:
Изменение внутренней энергии неизолированной термодинамической системы равно разности между количеством теплоты, переданной системе, и работой, совершенной системой над
внешними телами.

Второй начало термодинамики:
Принцип утверждавший о невозможности прямого передачи тепла с помощью теплообмена. Тепло передается от более горячего тела к более холодному.

Третье начала термодинамики:
При абсолютном нуле температуре любые изменении термодинамической системы происходят без изменения энтропии.

Закон Авогадро:
В равных объемах различных газов при одинаковой температуре и давлении содержится одинаковое число молекул.

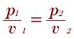
Закон Бойля Мариотта:
Для данной массы данного газа при постоянной температуре произведение давления на объем есть величина постоянная.

Закон Дальтона:
Давление смеси химически не взаимодействующих идеальных газов равно сумме парциальных давлений этих газов.

Закон Паскаля:
Давление, производимое внешними силами на поверхность жидкости или газа, передается одинаково по всем направлениям.

Закон сохранения заряда:
Алгебраическая сумма электрических зарядов всех частиц изолированной системы не меняется при происходящих в ней процессах.

Закон Ампера:
Сила взаимодействия двух параллельных проводников пропорциональна произведению величин токов в проводниках, пропорциональна длине этих проводников и обратно пропорциональна расстоянию между ними.

Закон Кулона:
Величина электростатической силы притяжения или отталкивания между двумя точечными зарядами прямо пропорциональна произведению величин зарядов и обратно пропорциональна квадрату расстояния между ними.

Закон Ома:
Сила тока на участке цепи прямо пропорционально напряжению и обратно пропорциональна сопротивлению.

Закон Ленца:
Ток, индуцируемый в цепи из-за изменения магнитного поля, направлен против изменения потока и оказывает механическую силу, которая противодействует движению.

I постулат Бора:
В атоме существуют стационарные орбиты, двигаясь по которым электрон не излучает.
II постулат Бора:
Атом может переходить из одного стационарного состояния в другое.


Квантовый постулат Планка гласит: Лучистая энергия испускается и поглощается телами не непрерывно, а дискретно, то есть отдельными порциями или квантами.

Осмелюсь написать и два своих закона они очень простые и их знает каждый просто сформулирую по-своему.
Закон времени:
В абсолютной пустоте не может быть времени, время неразрывна связанна с процессом. Без процесса нет времени, как и обратно. Если брать время как не единицу, а отдельное пространственное измерения.
Закон процесса:
Материя и энергия приводят к процессу. Процесс есть везде и всегда. Абсолютной пустоты не может быть принципе для нас так как мы его не сможем засечь даже массовые частицы состоят из безмассовых которые, без движения умрут. Также мы не можем остановить движения материи все частицы двигаются, ибо без движения нет жизни. И если мы сможем остановить материю она исчезнет.

Без времени.

Ссылки
ПОКОЙ И ДВИЖЕНИЕ ВСЕОБЩИЕ ФОРМЫ БЫТИЯ МАТЕРИИ
https://proza-ru.turbopages.org/proza.ru/s/2016/02/11/1833
Объемы
https://www-formula.ru/2011-09-24-00-37-25
Углы
https://wiki.fenix.help/matematika/razvernutyy-ugol
Тупой угол
https://skоysmart.ru/articles/mathematic/chto-takoe-ugol
Площадь прямоугольника
https://doza.pro/art/math/geometry/area-rectangle
Площадь ромба
https://doza.pro/art/math/geometry/area-rhombus
Площадь овала
https://mozgan.ru/Geometry/AreaEllipse
Площадь трапеции
https://doza.pro/art/math/geometry/area-trapezium
Синус косинус
https://calcsbox.com/post/sinus-sin-x-i-kosinus-cos-x-svojstva-grafiki-formuly.html
Механическое движение
https://spadilo-ru.turbopages.org/spadilo.ru/s/mexanicheskoe-dvizhenie-i-ego-xarakteristiki/
Объем
https://www-formula.ru/2011-09-24-00-37-25
Ускорение
https://wiki.fenix.help/fizika/kak-nayti-uskoreniye-opredeleniye-formuly-rascheta-v-fizike
Центростремительное ускорение
https://wiki.fenix.help/fizika/tsentrostremitelnoye-uskoreniye





