Все науки. №1, 2022. Международный научный журнал

- -
- 100%
- +
2. Алиев И. Х. Новые параметры по ядерным реакциям для осуществления на ускорителе заряженных частиц типа ЛЦУ-ЭПД-300. Проект «Электрон»: Монография. Издательские решения. Ридеро, 2022. – 498 с.
КОНСТАТИРОВАНИЕ ФАКТОВ О ЭТАПАХ РАЗВИТИЯ ПРОЕКТА «ЭЛЕКТРОН» И САМЫЕ СВЕТЛЫЕ НАДЕЖДЫ НА БУДУЩЕЕ
Шарофутдинов Фаррух Муроджонович, соискатель по экономическим наукам
Ферганский Государственный Университет, Узбекистан; Организация «Электрон», Научная школа «Электрон», Россия
Аннотация. Когда же актуальность проблемы энергетического голода в планетарном масштабе не раз была доказана и продемонстрирована проблема необходимости создания устройства и метода генерации электрической энергии с высокой эффективностью в крайне больших масштабах, что позволяло бы разрешить эту проблему и открыть путь для целого спектра многочисленных проектов и научных работ, нуждающиеся в подобном источнике электрической энергии. Настало время для описания этапов развития самого проекта «Электрон».
Ключевые слова: история проекта «Электрон», энергетические проекты, выход идеи и её реализация.
Annotation. When the urgency of the problem of energy starvation on a planetary scale has been repeatedly proved and demonstrated the problem of the need to create a device and method for generating electrical energy with high efficiency on an extremely large scale, which would allow solving this problem and opening the way for a whole range of numerous projects and scientific papers in need of such a source of electrical energy. The time has come to describe the stages of development of the energy component and the Electron project itself.
Keywords: history of the Electron project, energy projects, idea output and its implementation.
Анализируя факты, о генерации электрической энергии и о проблемах энергетического голода становится ясно, что необходима разработка, способная генерировать электрический ток с большей эффективностью, в более большом масштабе, а также более безопасно, чем при помощи технологий, используемых сегодня. И если рассматривать все возможные способы получения электрической энергии, то находятся объяснение тому, по какой причине данное исследование, которое длится уже на протяжении более чем 12 лет, было так названо – «Электрон».
Изначально, поиск нового источника электрической энергии начинался в 2010 году. Первый этап исследования заключался в поиске такого метода в классических механизмах. Было проанализировано более 500 самых различных механизмов, но все они не были эффективными, пока в 2016 году впервые не был презентован первый магнитный вид устройства, но этот вариант устройства не был достаточно прочен и эффективен, а после экспериментальной проверки нашёлся целый ряд недостатков, что стало причиной отказа и от этой модели.
Далее следовали 34 механизма, которые отличились тем, что шли за первой более удачной версией. Но когда и они не нашли своего подтверждения, то было необходимо отказаться и от них. На протяжении 4 лет, начиная с 2014 года, шла так называемая «электрическая эра», когда исследовались различные механизмы электрического, магнитного и электромагнитного характера. И хотя были разработаны механизмы с электрическими генераторами, солнечными батареями, трансформаторами, диодами, транзисторами и многими другими элементами, но, к сожалению, и они не нашли своего подтверждения. Тогда, начиная с 2019 года началась «квантовая эра».

Рис. 1. Встреча с сотрудниками лаборатории ускорительной техники при институте полупроводников и микроэлектроники при Национальном Государственном Университете и командой организации «Электрон»
В марте 2019 года был разработан первый проект с элементарными частицами, и тогда проект сменил собственное название и принял наименование «Электрон», поскольку идея была основана на расщеплении электрона и проведении взаимодействий с созданием особой «конструкции» уже с гипотетическими составляющими частицы электрон. Благодаря чему были подробно исследованы составляющие в лице частиц Умидон и Раънон. Тогда впервые были опубликованы научные статьи на эту тему: «Поведение электрона в атоме», «Частица электрон», «Особенности электрона», «Линейный ускоритель электронов в энергетике» и многие другие. Также было принято участие на международном мероприятии InnoWEEK 2019.
Но после некоторых дебатов было установлено, что и эта модель, как и методы её реализации не могут быть воплощены в реальность. На этом этапе с начала 2020 года, началась «Ядерная эра», когда же были исследованы сотни и даже тысячи ядерных реакций. Общее число исследованных ядерных реакций, которые были проанализированы на этом этапе с начала 2021 года до февраля 2021 года, составляет 1 062 реакции.
И благодаря определению ядерных реакций с большим энергетическим выходом, был создан целый комплекс из этих взаимодействий. И хотя технология уже не имела отношения с электроном, но наименование исследования не изменилось и по сей день. И хотя было опубликовано более 20 научных статей, опубликовано в 4 томах произведения «Конструктор миров», а также презентованы нескольким компаниям, как Acwa Power в феврале и целый ряд энергетических компаний в сентябре 2021 года. Но на сегодняшний день эта технология была улучшена и имеет более упрощённый вид, что открывает целый ряд возможностей.
И сегодня эта технология считается на данный момент не имеющей аналогов во всём мире. Как можно видеть из истории данного исследования, путь этой технологии был не лёгким, и он является намного лучше своих «собратьев» и «предшественников», что демонстрирует большой опыт и сильное желание в достижении данной цели для всего человечество, что давало силы для преодоления целого ряда самых различных трудностей, и лишь часть из которых была описана выше при пересказе всей истории исследования.
В результате можно сделать вывод, что большего внимания заслуживают резонансные ядерные реакции в качестве новейшего источника электрической энергии в огромном масштабе. Именно с этой целью было начато сотрудничество с Малазийской компанией Clipper Energy на момент 2022 года и вскоре будет начато строительство научно-исследовательской лаборатории при проекте «Электрон» для получения новейших результатов в области резонансных ядерных реакций…
Библиографический список
1. Алиев И. Х., Шарофутдинов Ф. М. Использование ускорителей и явлений столкновения элементарных частиц с энергией высокого порядка для генерации электрической энергии. Проект «Электрон»: Монография. Издательский решения. Ридеро, 2021. – 594 с.
2. Алиев И. Х. Новые параметры по ядерным реакциям для осуществления на ускорителе заряженных частиц типа ЛЦУ-ЭПД-300. Проект «Электрон»: Монография. Издательские решения. Ридеро, 2022. – 498 с.
ИССЛЕДОВАНИЯ В ОБЛАСТИ ИНГЕНЦИАЛЬНЫХ ЧИСЕЛ
Арипова Сайёра Боходировна, преподавательница общеобразовательной школы №1
Общеобразовательная школа №1, Фергана, Узбекистан
E-mail: karimov.1949@internet.ru
Аннотация. С древних времён люди использовали систему счёта для решения жизненных задач различного типа и характеристик, в результате чего приходилось сталкиваться с понятием действительных-натуральных чисел, а после работы с задачами, связанными с площадями, приходилось сталкиваться и с задачами, связанными с дробными числами, входя уже в рациональное множество чисел.
Ключевые слова: ингенциальные числа, ингенциальная математика, релятивистская физика, множества чисел, бесконечность.
Annotation. Since ancient times, people have used the counting system to solve life problems of various types and characteristics, as a result of which they had to deal with the concept of real-natural numbers, and after working with tasks related to squares, they had to deal with tasks related to fractional numbers, already entering the rational set of numbers.
Keywords: inertial numbers, intentional mathematics, relativistic physics, sets of numbers, infinity.
А когда уже пришлось войти в задачи связанные с описанием окружности пришлось столкнуться с первым иррациональным числом, после чего их количество начало увеличиваться и возрастать, создавая уже множество иррациональных чисел. Казалось, бы эти действительные числа, наряду с отрицательными, которые также вошли в науку, составляют полноценное множество действительных чисел, вполне достаточное для описания внешнего мира. Какого же было удивление, когда пришлось столкнуться с решением уравнений 3 степени, которые сегодня известны как уравнения, нашедшие решение методом Кардано. Примечательным было то, что при решении этих уравнений приходилось сталкиваться со случаем наличия комплексной единицы или точнее комплексных чисел – отрицательных чисел, находящихся под радикалом.
И хотя такой вид чисел довольно долго не приживался, но обнаружение подобного вида чисел в самых фундаментальных процессах сегодняшнего мира, а именно как одно из решений уравнений Шрёдингера – уравнений, описывающих любой микрообъект просто заставило принять этот новый вид чисел и продвигаться дальше, исследуя самые различные операции, связанные с комплексными числами и их производными.
Таким образом было открыто новое множество, в которое входят все вышеперечисленные множества, то есть натурное, рациональное, иррациональное и действительные множества, такое множество и было названо комплексным.
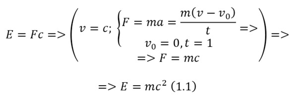
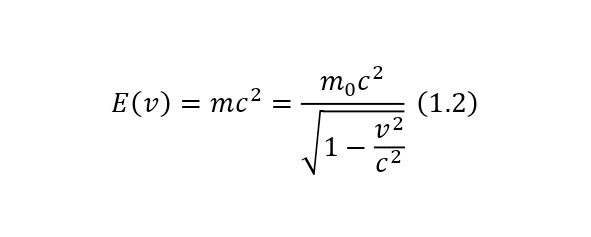
Следовательно, чтобы прийти к явным математическим парадоксам и удивительным явлениям, необходимо исходить из физического явления, который ранее ещё некогда был опубликован в 1905 году в статье Альберта Эйнштейна «К электродинамике движущихся тел», которая также была основана на преобразовании Х. Лоренца, работ Дж. Лармора, Анри Пуанкаре и других. Изначально, достаточно воспользоваться знаменитым выводом (1.1), который выходит к (1.2).


Это равенство несёт глубокий физический смысл, но если рассматривать его как функцию, то можно рассмотреть 3 случая:
1. Если скорость тела меньше скорости света;
2. Если скорость тела равна скорости света;
3. Если скорости тела больше скорости света.
Таким образом из этих 3 случаев получаются 4 вида чисел. Первый из них – действительные числа, а второй – комплексные числа. Далее следуют два неизвестных ранее видов чисел, а именно числа, которые могут делиться на ноль, а также числа, которые больше этого вида чисел.
И конечно, прогресс не стоит на месте и сегодня уже исследованы и открыты различные физические явления, всё ещё ожидающие своего объяснения и математической трактовки. Ярким примером является явление запутанных частиц, то есть это явление, в котором образуются два запутанных лептона, а именно два электрона или фотона, информация о спине которых передаётся после определения или изменения спина одного к другому со скоростью, намного превышающей скорость света – 3 случай.
Также сам факт наличия световых волн, также известных в виде корпускул как фотоны, заставляет задуматься о моменте, когда скорость объекта стала бы равной скорости света – 2 случай.
И чтобы описать все эти явления, возникла необходимость создания нового раздела математики, известного как «Ингенциальная математика», от латинского ingens – «огромные». В этом случае принимается наличие ингенциальной единицы, то есть дроби единицы на ноль, после чего образуются различные арифметические, алгебраические и иные виды операций, преобразуя как тригонометрические, логарифмические, обратно-тригонометрические и иные функции, так и вводя совершенно новые виды операций.
Но перед тем, как перейти к третьему случаю, стоит уточнить, что благодаря выводу основной энергетической функции, определяется местоположение ингенциальных чисел на числовой оси, а именно эти числа являются большими бесконечности, а значит является вершиной всех множеств, охватывая каждое из них, в том числе и комплексное множество. Также при этом определяется, что комплексные числа являются наименьшими и находятся уже между промежутками натуральных чисел. Также можно определить третий вид чисел как дроби единицы и комплексного числа. При этом эти виды чисел называются пер-ингенциальные от латинского per-ingens – «сверхогромный». Этот вид чисел является ещё более большим чем ингенциальные числа и обладает ещё более завораживающими свойствами, которые ещё только предстоит подробнее исследовать, впрочем, как и все остальные.
Список литературы
1. Балк М. Б., Балк Г. Д., Полухин А. А. Реальные применения мнимых чисел. – Киев: Радянська школа, 1988. – 255 с.
2. Бронштейн И. Н., Семендяев К. А. Справочник по математике для инженеров и учащихся втузов. – изд. 13-е. – М.: Наука, 1985. – 544 с.
3. Бугров Я. С., Никольский С. М. Высшая математика. Том первый: элементы линейной алгебры и аналитической геометрии. М.: Дрофа, 2004. – 288 с.
ПЕРВОНАЧАЛЬНЫЕ МАТЕМАТИЧЕСКИЕ СВОЙСТВА ИНГЕНЦИАЛЬНЫХ ЧИСЕЛ
Алиев Ибратжон Хатамович, студент 1 курса факультета математики-информатики
Ферганский Государственный Университет, Узбекистан
E-mail: ibratjon25@mail.ru
Аннотация. Недавно исследованные ингенциальные числа обладают довольно экзотическими и заманчивыми свойствами среди разновидности остальных чисел, порождая особые свойства в множестве алгебры, что отражается также и при описании с их помощью многочисленных физических явлений, большинство из которых можно отнести к явлениям релятивистской физики.
Конец ознакомительного фрагмента.
Текст предоставлен ООО «ЛитРес».
Прочитайте эту книгу целиком, купив полную легальную версию на ЛитРес.
Безопасно оплатить книгу можно банковской картой Visa, MasterCard, Maestro, со счета мобильного телефона, с платежного терминала, в салоне МТС или Связной, через PayPal, WebMoney, Яндекс.Деньги, QIWI Кошелек, бонусными картами или другим удобным Вам способом.





