All sciences. №4, 2023. International Scientific Journal

- -
- 100%
- +
6. Karimov B. H. Elektronika asoslari. Study guide. – [B.M.]: Scientific school "Electron", Publishing solutions. Ridero, 2022. – 176 p
. 7. Aliyev I. H., Karimov B. H. Course of physics of charged particle accelerators. Study guide. – [B.M.]: Scientific school "Electron", Publishing solutions. Ridero, 2022. – 203 p.
8. Aliyev I. H., Karimov B. H., Karimov Sh. B., Yuldoshaliev D. K. Industrial and alternative aerators based on green energy for fish reservoirs. Monograph. – [B.M.]: Scientific school "Electron", Publishing solutions. Ridero, 2022. – 221 p.
9. Aliyev I. H., Burnashev M. A. Ingential mathematics. Monograph. – [B.M.]: Scientific school "Electron", Publishing solutions. Ridero, 2022. – 149 p.
10. Aliyev I. H., Karimov B. H., Karimov Sh. B., Yuldoshaliev D. K. Development of aerator technology based on alternative energy sources. The Electron project. Monograph. – [B.M.]: Scientific school "Electron", Publishing solutions. Ridero, 2022. – 141 p.
11. Aliyev I. H. Software modeling of nuclear reaction phenomena based on the technology of creating a set of data using a system of algorithms in C++. The Core-COMPUTER project. Monograph. – [B.M.]: Scientific school "Electron", Publishing solutions. Ridero, 2022. – 156 p.
12. Karimov B. H., Mirzamakhmudov T. M. Electronics asoslari. Study guide. – [B.M.]: Scientific school "Electron", Publishing solutions. Ridero, 2022. – 184 p.
13. Aliyev I. H. New parameters for nuclear reactions for the implementation of charged particle accelerator type LCU-EPD-300. The Electron project. Monograph. – [B.M.]: Scientific school "Electron", Publishing solutions. Ridero, 2022. – 498 p.
14. Aliev I. H. Software modeling of nuclear reaction phenomena based on technologies for creating a set of data using a system of algorithms in C++. The Core-COMPUTER project. Monograph. – [B.M.]: Scientific school "Electron", Publishing solutions. Ridero, 2022. – 498 p.
15. Aliev I. H., Sharofutdinov F. M. The use of accelerators and the phenomena of collisions of elementary particles with high-order energy to generate electrical energy. The Electron project. Monograph. – [B.M.]: Scientific school "Electron", Publishing solutions. Ridero, 2021. – 594 p.
16. Otazhonov S. M., Alimov N. E. Photoelectric phenomena in wide-band semiconductor heterostructures with deep impurity levels. Monograph. – [B.M.]: Scientific school "Electron", Publishing solutions. Ridero, 2022. – 112 p.
17. Otazhonov S. M. "Mavzu ishlanmasi" tayyorlashning innovatsion xarakterga ega bo'lgan metodi. Monograph. – [B.M.]: Scientific school "Electron", Publishing solutions. Ridero, 2022. – 158 p.
18. Karimov Sh. B., Karimov B. H., Aliyev I. H. Spatially oscillating photovoltaic current in an optically active SbSl ferroelectric. All sciences. – №6. Electron Scientific School, Publishing solutions. Ridero, 2022. – pp. 33-50.
19. Zhalolov B. R., Karimov B. H., Aliyev I. H. The role of resonant nuclear reactions in modern energy. The role of resonant nuclear reactions in modern energy. All sciences. – №6. Electron Scientific School, Publishing solutions. Ridero, 2022. – pp. 50-113 p.
20. Aliyev I. H. Prospects for the use of neutron energy. All sciences. – №6. Electron Scientific School, Publishing solutions. Ridero, 2022. – pp. 122-133.
21. Zhalolov B. R. Investigation of solar physics in the study of the solar energy industry. All sciences. – №5. Electron Scientific School, Publishing solutions. Ridero, 2022. – pp. 11-29.
22. Aliyev I. H. On a heuristic idea about the emergence of a new energy technology for obtaining energy from resonant nuclear reactions. All sciences. – №1. Electron Scientific School, Publishing solutions. Ridero, 2022. – pp. 13-18.
23. Karimov B. H. A general idea of the LCC-EPD-20 accelerator. All sciences. – №1. Electron Scientific School, Publishing solutions. Ridero, 2022. – pp. 18-23.
24. Zhalolov B. R. Implementation and scientific publications on the Electron project. All sciences. – №1. Electron Scientific School, Publishing solutions. Ridero, 2022. – pp. 23-28.
25. Sharofutdinov F. M. Statement of facts about the stages of development of the Electron project and the brightest hopes for the future. All sciences. – №1. Electron Scientific School, Publishing solutions. Ridero, 2022. – pp. 28-33.
26. Aliev I. H. Aluminum resonance reaction. All sciences. – №3. Electron Scientific School, Publishing solutions. Ridero, 2022. – pp. 24-44.
27. Sharofutdinov F. M. On the introduction of a new nuclear energy unit from the point of view of economics and diplomacy. All sciences. – №6. Electron Scientific School, Publishing solutions. Ridero, 2022. – pp. 347-361.
28. Aliyev I. H., Umarova G. M. The use of innovative technologies in education. Humanitarian treatise – No. 78. Publishing house "Pluto". 2020 – pp. 17-18.
29. Aliyev I. H., Karimova M. I. The role of the philosophical meaning of the work in teaching in schools. Humanitarian treatise – No. 79. Publishing house "Pluto". 2020 – pp. 36-38.
30. Aliyev I. H., Nishonova D. O. Nikola Tesla Tower. A humanitarian treatise. – №92. Publishing house "Pluto". 2020. – pp. 9-13.
31. Aliyev I. H., Karimova M. I., Kharipova S. B. A new step method. A humanitarian treatise. – №92. Publishing house "Pluto". 2020. – pp. 14-17.
32. Aliyev I. H., Karimov B. H. On a heuristic idea regarding the algorithmization of the functioning of the human brain based on the theories of electromagnetic fields of biological streams and their active interaction with other objects and dimensions. Oliy va o’rta maxsus ta’lim vazirligi huzuridagi «Oliy ta’limni rivojlantirish tadqiqotlari va ilg’or texnologiyalarini tatbiq etish markazi» «Ilm, ma’rifat va raqamli iqtisodiyotni rivojlantirish istiqbollari» Onlayn Respublika ilmiy-amaliy anjuman maruzalar to’plami. Tashkent. 2020. – pp. 164-178.
33. Aliev I. H. Collision energy of oncoming beams. A young scientist. International Scientific Journal. – №16 (306). Publishing house "Young Scientist". 2020. – pp. 7-10.
34. Aliyev I. H., Karimov B. H., Karimov Sh. B., Yuldoshaliev D. K., Aliyev M. I. Alternative wind aerator for fish reservoirs. A young scientist. International Scientific Journal. – №49 (287). Publishing house "Young Scientist". 2019. – pp. 173-175.
35. Aliyev I. H., Karimov B. H. Linear electron accelerator in power engineering. Exact science. – №85. Publishing house "Pluto". 2020. – pp. 23-29.
36. Aliyev I. H. The behavior of an electron in an atom. Exact science. – №63. Publishing house "Pluto". 2019. – pp. 37-39.
37. Aliyev I. H. Electron and its features. Exact science. – №71. Publishing house "Pluto". 2020. – pp. 2-5.
38. Aliyev I. H. Entangled micro-friends. «Uyda qoling!» shiori ostida «Oliy ta’lim islohorlari: yuruqlar, muammolar, yechimlar» mavzusidagi respublika miqyusida onlayn ilmiy maqolalar hamda innovatsion ixtirolar tanlovining ilmiy maqolalar to’plami. Tashkent. 2020. – pp. 164—178.
MATHEMATICAL MODEL FOR CONTROLLING THE FORCE OF PRESSING THE TERMINAL TO THE WINDOW IN THE SOLDERING PROCESS
UDC 004.94
Sayitov Shavkatjon Sameddinovich
Lecturer of the Department of "Electronics and Instrumentation" of the Faculty of Computer Design Systems of the Fergana Polytechnic Institute
Ferghana Polytechnic Institute, Ferghana, Uzbekistan
Annotation. Speaking of the necessary devices for the soldering process, it is definitely possible to note as such a device the soldering device itself, better known as a soldering iron and along with this is most often a hand tool used during tinning and soldering to heat parts, flux, melt solder and make it into the contact point of soldered parts. The working part of the soldering iron can be noted the tip, which is heated either by flame, a vivid example of this is heating from a blowtorch, or by electric current.
Keywords: soldering iron, soldering, mathematical apparatus, mathematical modeling, pressing force.
Аннотация. Говоря же о необходимых устройствах для осуществления процесса пайки, однозначно можно отметить в качестве такого устройства непосредственно само паяльное устройство, более известное как паяльник и наряду с этим чаще всего являющееся ручным инструментом, применяющийся при лужении и пайке для нагрева деталей, флюса, расплавления припоя и внесении его в место контакта спаиваемых деталей. Рабочей частью паяльника можно отметить жало, которое нагревается либо пламенем, яркий тому пример нагрев от паяльной лампы, либо при помощи электрического тока.
Ключевые слова: паяльник, пайка, математический аппарат, математическое моделирование, сила нажатия.
The main large types of such a device include two large classes of soldering irons with periodic or constant heating. The first class includes hammer and end soldering irons, which are a massive working tip mounted on a long metal handle, the length of which ensures safe operation of the tool. To perform this type of work, these soldering irons are equipped with special shaped tips or shaped stings. Such soldering irons are heated mainly from external heat sources, in the person of which fire from gas or gasoline burners can mainly act. This type of soldering iron is the oldest and has been known since ancient times.
The next type of soldering iron – arc, was quite popular in the XIX century, which follows from its name. And also another consequence of the name of this type is the use of a method for heating it to create an electric arc, periodically excited between a carbon electrode placed between the soldering iron itself and the tip. For example, an arc soldering iron can have a tip mass of 1 kg and heat up to 500 degrees Celsius, at a voltage of 24 Volts for 3 minutes, with a power consumption of about 1.5—2 kW.
Soldering irons with constant heating are more modern. These also include electric soldering irons with a built-in electric heating element that operates from the mains, that is, directly, or through a step-down transformer, or from batteries.
The gas type of soldering irons also works constantly, thanks to the built-in gas burner, where the combustible gas is supplied from the built-in canister, with pre-liquefied gas. However, although much less often, gas can be supplied via a hose from an external source. To another type of soldering irons, it is possible to include soldering irons on liquid fuel, which still have the honor to be called liquid fuel. They are similar to gas, but heating is already carried out by the flame of burning liquid fuel, which is also known.
Another type of soldering irons with constant heating can be attributed to thermal air types of soldering irons, in such types, parts are heated, and the solder melts by blowing them with a jet of hot air, which resembles an industrial hair dryer, but unlike it, a thin high-temperature air jet is used in this case. And also, along with this type, it is possible to bring very logically, correctly, the type cited is infrared.
In it, as can also be seen from the name, heating is carried out by an infrared radiation source. A variety of such soldering irons are infrared laser soldering irons. And if these were only the main varieties, then it is worth paying attention to the types of various soldering irons, which include soldering stations, rod and most often common soldering irons, pulse soldering irons and finally induction soldering irons.
Now, if you familiarize yourself with each of these types, it can be noted that the rapidly developing technology of miniaturization of electronic components, improvement in sensitivity to high temperature, as well as the use of lead-free solders with a higher melting point has led to the appearance of soldering stations with additional functions such as:
· The ability to select an arbitrary temperature, thermostating, or more precisely, the ability to hold a certain temperature of the tip, rapid heating, which occurs in less than 15 seconds;
· The possibility of using stingers of various shapes, allowing replacement literally on the fly;
· The presence of a standby mode with low temperature and auto-off with the use of a ball tilt sensor, also known as an accelerometer.
In such types of stations, one can also observe the fact that a film heater on a ceramic substrate placed in a sealed housing made of heat-conducting ceramics can be used as a heating element.
The main positive aspects of this type of heaters are a relatively long service life and reliable electrical insulation of the tip from the heating circuit. Along with this, it can also be noted the act of having such soldering systems with hot air, in which infrared radiation is mainly possible, they are more favorable for dismantling parts, due to which they are also equipped with special parts for solder suction or devices for automatic or semi-automatic solder and flux feeding. Speaking of a rod soldering iron, it can be pointed out that the design of the most common soldering iron in everyday life is very simple and is a metal casing equipped with a plastic or wooden handle, in which a tubular heating element, aka a heater, is placed.
Inside such a heater, a displaced copper rod is placed at one end, this is the sting sharpened on the protruding end. In general, taking the form of a cone or a dihedral angle. The end of the sting is a tinned working end.
The heater itself is a wire made of nichrome or another alloy with a high resistivity and resistance to oxidation at high temperature wound on a ceramic pipe or a metal pipe wrapped with sheet mica. In modern soldering irons of this type, a film heater mounted on a ceramic tubular base or a ceramic volumetric heater is most often used. The heater itself is connected to a live wire passing through the handle and connected to the mains or a step-down transformer.
A pulsed soldering iron is one of the varieties of a household soldering iron, sometimes presented in the form of a soldering gun, at the end of which there are 2 electrical contacts and almost always a source of illumination of the soldering zone. The contacts are connected to the secondary winding of the transformer located in the body of the soldering iron itself and surprisingly, the winding has only 1 or 2 turns of copper wire. A piece of thick copper wire with a thickness of about 1-2 mm and a length of 3-5 cm is attached to the terminals of these contacts, which is both a heating element and a soldering iron sting. When the tool is turned on, the secondary winding current, reaching several tens of amperes, quickly heats up the copper wire to the operating temperature in a few seconds.
In pulsed soldering irons, instead of a massive transformer operating at an industrial frequency of 50-60 Hz, a pulsed electronic converter is used, with a frequency of tens of kHz, which reduces their weight and dimensions, and therefore makes their use much more convenient, which is achieved in the end.
And finally, the last type of soldering iron – induction by its nature is based on the idea of heating by inducing electric currents with a high-frequency electromagnetic field created by an inductor coil. Inside the sting itself, in fact, there is a ferromagnetic core that heats up due to hysteresis losses and, to a lesser extent, due to eddy currents, most often referred to as Foucault currents. In such soldering irons, only the tip itself is heated, which allows you to make the soldering iron extremely light and miniature. Speaking of their thermal stabilization, it is worth saying that this is feasible either in the traditional way, for example, by thermocouples or thermistors, or by choosing the material of the ferromagnetic core at a Curie temperature equal to the required tip temperature.
And in order to understand how well the soldering process went, it is worth considering it in more detail, realizing that initially, as soon as the terminal is lowered, a layer of solder – tin is fed under it in a simplified model (a more complicated one will be considered later). Under the same layer there is a silver layer of a metal heater, and already under it a layer of rear-view glass.
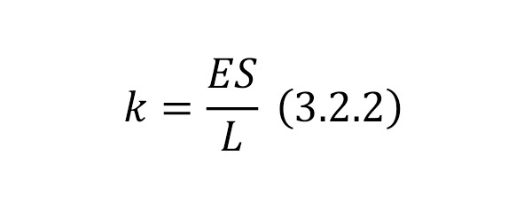
Empirically, it was found that the energy of the gap between the silver layer and the glass is 100 N. It may follow from this that the sum of the rupture forces between the solder and the terminal, as well as between the solder and the silver layer, is less than this value, since if it were greater than or equal to this value, the terminal itself would have sufficient force to carry the entire system with it when it breaks. But it is also clear that for rupture, that is, for deformation by the elastic force (3.2.1), where stiffness is determined through the Young’s modulus (3.2.2), its energy is equal to the energy of destruction of the crystal lattice, that is, the product of the specific heat of melting and the amount of matter (3.2.3), is equal to the potential energy of deformation (3.2.4).




To determine the rupture force, which is already a priori the sum of the rupture forces between silver and solder, as well as between the terminal and solder, it is sufficient to use (3.2.5), where the distance is determined from the constancy of the area and the value of the volume change, which is calculated depending on the temperature (3.2.6), and from here the rupture force (3.2.7).



Now that the force of the rupture has been calculated, we can stop a little at the moment of pressing. From such a calculation, it became possible to determine that with a specific heat of 7.19 kJ/mol, with an amount of substance of the order of 0.0434 mol and 0.005149 grams and a density of the order of 7190 kg/m3, the area is 7.04424 *10-7 m2, with a side of 0.8393 mm, from which the temperature coefficient of 0.0042 K-1 is taken into account, with a resultant force of 99.99886267 N, that meets all the specified conditions.
Speaking of the pressing force, it can be noted that due to the attraction energy of the liquid flow of the alloy, it can be comparatively determined on the scale of the difference between the boundaries between the resulting force and the boundary force, from which a value of 0.001137328 N is obtained.
Used literature
1. Abdurakhmonov S. M., Sayitov S. S. Automated design for soldering the terminal of the rear window heating system of the car. Scientific-technical journal (STJ FerPI, FerPI ITJ, NTJ FerPI, 2021, Vol.23, special Issue No. 3), pp. 197-201.
2. Abdurakhmonov S. M., Sayitov G. S., Oshchepkova E. A., Rakhmonov D. H., Khuriboeva M. S. A new design for soldering the terminal of the rear window heating system the car. Current science. International Scientific Journal. Moscow, 2019 No. 9 (26), pp. 22-28.
3. Abdurakhmonov S. M., Sayitov S. S., Yuldasheva E. N. Automated soldering installation for terminal heating systems in auto-glass. Scientific-technical journal (STJ FerPI, FerPI ITJ, NTJ FerPI, 2021, Vol.25, No.6), pp. 256-259.
4. Abdurakhmonov S. M., Sayitov S. S. On the technology of soldering contact to heating systems of auto-glass // All sciences: international Scientific Journal. – 2022. – No.5, 2022. – pp. 95-115.
5. Toyirov N. S., Kholikov A. A., Sayitov S. S. Energy saving when using hybrid solar power plants in the oil and gas industry // All sciences: International Scientific journal. – 2022. – №6, 2022. – C. 253-260.
6. Akhmadzhonov A. E., Kholikov A. H., Sayitov S. S. Improving efficiency the use of thermal energy through the use of energy-efficient technologies at industrial enterprises // All Sciences: International Scientific Journal. – 2022. – №6, 2022. – 387-396 S.
7. Abdurakhmonov S. M., Sayitov S. S. Avtovil oynalarini isitish tizimlariga terminal kavshirlash technologiyasi tugrisida //. All Sciences: International Scientific Journal. – 2023. – №2, 2023. C. 22-32.
8. Evgeny Konstantinov. Get out of the twilight // Science and Life. – 2015. – No. 11. – pp. 112—119.
GENERAL OVERVIEW OF THE DEVICE AND THE PHYSICAL COMPONENT OF A DC ELECTROMAGNET
UDC 621.318.3
Kholmatov Erkinjon Salievich
Lecturer of the Department of "Electronics and Instrumentation" of the Faculty of Computer Design Systems of the Fergana Polytechnic Institute
Ferghana Polytechnic Institute, Ferghana, Uzbekistan
Annotation. The use of a powerful force, obedient, easy to handle, which is applicable in a variety of cases, which illuminates, heats, drives machines as forces of the most powerful attraction is a very topical issue that requires very detailed consideration. Of course, the image of such a performance is precisely the electromagnetic design, the physics of which is built from the initial ideas about electromagnetism. There is also a large number of phenomena of this kind, each of which requires its own analysis in all parameters. This paper is devoted to the description of the algorithm created at the moment for such cases.
Keywords: electromagnet, magnetic field, magnetic induction vector, magnetic field inductance, conductor, magnetic field strength, solenoid, Maxwell equations for electromagnetism, electromagnetic induction.
Аннотация. Использование могущественной силы, послушной, простой в обращении, которая применима в самых различных случаях, которая освещает, отапливает, приводит в движение машины в качестве сил мощнейшего притяжения весьма актуальный вопрос, который требует весьма подробного рассмотрение. Разумеется, образом такого исполнения является именно электромагнитная конструкция, физика которой строиться от первоначальных представлений об электромагнетизме. Существует также большое количество явлений подобного рода, каждая из которых требует наличие своего разбора по всем параметрам. Описанию созданного на данный момент алгоритма для таких случаем и посвящена настоящая работа.
Ключевые слова: электромагнит, магнитное поле, вектор магнитное индукции, индуктивность магнитного поля, проводник, напряжённость магнитного поля, соленоид, уравнения Максвелла для электромагнетизма, электромагнитная индукция.
Initially, it is worth noting that the design of the electromagnet itself consists of a core and, most often, a metal wire, due to good electrical conductivity. This design itself is also similar to an elementary resistor or load, the function of which it can also perform, due to the determined resistance according to the regularity (1).

If we analyze the physics of this process, it turns out that in this case the charges begin to move, provided that it is a direct current, attracted by an electric field, which is created due to the potential difference at the output and input of the electromagnet winding. And after its resistance has been determined, and also provided that the flowing amount of charge (2) is known, it is possible to determine the passing current (3), where the velocity of the flying particles due to a correspondingly small potential difference, otherwise it would cause too strong an increase in temperature, is equal to the thermal velocity (5) for of the classical form and in (6) for the relativistic formulation, calculated in terms of energy (4).





And, accordingly, after that, it will be possible to come to the regularity of determining this magnitude of the potential difference, through the data obtained thanks to (7—10).





