Планирование налогов с помощью MS Excel

- -
- 100%
- +

© Евгений Сергеев, 2020
ISBN 978-5-4498-3978-7
Создано в интеллектуальной издательской системе Ridero
Аннотация
В книге описаны возможности MS Excel, которые с высокой точностью позволяют планировать налоги с учетом требований Налогового кодекса РФ. На конкретных примерах рассмотрены особенности расчета налога на прибыль, НДС, страховых взносов и прочих обязательных платежей.
Кроме того, прочитав эту книгу, Вы сможете выбрать оптимальную систему налогообложения для своего бизнеса. Книга будет полезной студентам экономических специальностей, экономистам по бюджетированию, финансовым директорам.
Введение
Современные реалии предъявляют высокие требования к финансовому менеджменту предприятия. Специалисты должны уметь составлять сложные финансовые модели.
Без адекватного планирования налогов любая финансовая модель не является рабочей. Невозможно составить бюджет какого-либо предприятия, не составив при этом план по налогам. В данной книге представлены особенности планирования налогов с помощью MS Excel.
Сам программный продукт широко используется на всех предприятиях. Хотя, конечно, некоторые организации внедряют различные ERP-системы, но MS Excel остается эффективным и неотъемлемым инструментом финансового планирования.
Сложные формулы позволяют учесть все требования Налогового кодекса РФ. Например, при расчете налога на прибыль организаций необходимо учитывать перенос убытков прошлых периодов, но не более чем на половину. Это можно сделать, используя функцию «МАКС», которая из нескольких значений выбирает максимальное. При планировании страховых взносов требуется учитывать предельные базы их начисления. Данная задача свободно решается с помощью электронных таблиц или с помощью инструментов VBA.
Знание программного продукта MS Excel при планировании налогов необходимо, но недостаточно. Финансовый менеджер должен учитывать особенности определения основных налогов согласно требованиям Налогового кодекса. В данной книге очень кратко, но в доступной форме, описаны основные моменты расчета обязательных платежей с учетом налогового законодательства РФ.
Глава 1. Налог на прибыль организаций
Налог на прибыль организаций определяется согласно главе 25 НК РФ. Плательщиками налога выступают организации и индивидуальные предприниматели, осуществляющие свою деятельность на общей системе налогообложения.
Налоговой базой является налогооблагаемая прибыль, которая определяется как разница выручки и затрат. При этом порядок признания затрат в бухгалтерском и налоговом учете очень сильно отличается.
Отчетными периодами являются первый квартал, полугодие, девять месяцев. Налоговый период – календарный год.
Ставка налога на прибыль составляет 20% (3% – в федеральный бюджет, 17% – в региональный бюджет). Законодательные органы субъектов РФ могут понижать региональную ставку до 13,5% (в 2017—2020 гг. – до 12,5%).
Налог на прибыль организаций уплачивается в бюджет согласно ст.286 НК РФ.
Ежемесячный авансовый платеж в первом квартале принимается равным авансовому платежу четвертого квартала предыдущего налогового периода.
Во втором квартале ежемесячные авансовые платежи равны одной трети исчисленного налога за первый квартал.
В третьем квартале ежемесячные авансовые платежи равны одной трети между суммой авансового платежа, рассчитанного по итогам полугодия, и суммой авансового платежа, рассчитанного по итогам первого квартала.
В четвертом квартале ежемесячные авансовые платежи равны одной трети разницы от авансового платежа, рассчитанного по итогам девяти месяцев с суммой авансового платежа по итогам полугодия.
По итогам налогового периода налогоплательщик рассчитывает фактическую налоговую базу и определяет сумму налога на прибыль к доплате.
Срок уплаты ежемесячных авансовых платежей – до 28 числа, каждого месяца отчетного периода.
Налог на прибыль организаций планируется по отчетным периодам. При этом необходимо учитывать возможность переноса убытков прошлых периодов, но не более чем 50% от налогооблагаемой прибыли. За первый квартал налог на прибыль организаций определяется по формуле:
ННП (I) =МАКС (НС× (В (I) -З (I) -У);0,5×НС× (В (I) -З (I));0),
где ННП (I) – налог на прибыль организаций по итогам первого квартала;
НС- ставка налога на прибыль в долях единиц;
В (I) – выручка в первом квартале;
З (I) – затраты в первом квартале;
У – убытки прошлых периодов.
За первое полугодие налог на прибыль организаций определяется по формуле:
ННП (II) =МАКС (НС× (В (II) -З (II) -У) -ННП (I);0,5×НС× (В (II) -З (II)) -ННП (I);0),
где ННП (II) – налог на прибыль организаций по итогам полугодия;
НС- ставка налога на прибыль в долях единиц;
В (II) – выручка в первом полугодии;
З (II) – затраты в первом полугодии;
У – убытки прошлых периодов;
ННП (I) – налог на прибыль организаций по итогам первого квартала.
За девять первых месяцев с начала года налог на прибыль организаций определяется по формуле:
ННП (III) =МАКС (НС× (В (III) -З (III) -У) -ННП (I) -ННП (II);0,5×НС× (В (III) -З (III)) -ННП (I) -ННП (II);0),
где ННП (III) – налог на прибыль организаций по итогам девяти месяцев;
НС- ставка налога на прибыль в долях единиц;
В (III) – выручка за девять месяцев;
З (III) – затраты за девять месяцев;
У – убытки прошлых периодов;
ННП (I) – налог на прибыль организаций по итогам первого квартала;
ННП (II) – налог на прибыль организаций по итогам полугодия.
По итогам налогового периода налог на прибыль организаций определяется по формуле:
ННП=МАКС (НС× (В-З-У) -ННП (I) -ННП (II) -ННП (III);0,5×НС× (В-З) -ННП (I) -ННП (II) -ННП (III);0),
где ННП— налог на прибыль организаций по итогам налогового периода;
НС- ставка налога на прибыль в долях единиц;
В – выручка за налоговый период;
З – затраты за налоговый период;
У – убытки прошлых периодов;
ННП (I) – налог на прибыль организаций по итогам первого квартала;
ННП (II) – налог на прибыль организаций по итогам полугодия;
ННП (III) – налог на прибыль организаций по итогам девяти месяцев.
План налога на прибыль организаций стоит составить в трех вариантах. В первом варианте определить его по месяцам, во втором – с учетом отчетных периодов, в третьем – добавить возможность вычета по убыткам прошлых периодов. Расчет налога на прибыль по месяцам представлен в таблице ниже.
Таблица 1.1 – Налог на прибыль организаций, тыс.руб.

В первой строке указана выручка организации без НДС и акцизов. В целом за весь плановый год выручка составит 69,5 млн руб.
Во второй строке указаны затраты, принимаемые в налоговом учете по налогу на прибыль. В течение года они составят 62,7 млн руб.
Налог на прибыль организаций помесячно определен по следующей формуле:
МАКС (B9*B8/100;0)
где B9 – ссылка на ячейку, в которой указана налоговая ставка;
B8 – ссылка на ячейку, в которой указана налогооблагаемая прибыль.
Формула выбирает максимум между нулем и произведением налоговой ставки на налогооблагаемую прибыль. Если получен убыток, то налог на прибыль будет отрицательным, поэтому формула выберет ноль.
Предыдущий расчет слишком некорректный, ибо не учитывает определение налога на прибыль по итогам отчетных и налогового периодов. Расчет налога на прибыль с учетом вышесказанного представлен в таблице ниже.
Таблица 1.2 – Налог на прибыль организаций, тыс.руб.

По итогам первого квартала налог на прибыль организаций определен по формуле:
МАКС (D20*СУММ ($B19:D19) /100;0)
где D20 – ссылка на ячейку, в которой указана налоговая ставка;
СУММ ($B19:D19) – налогооблагаемая прибыль за первый квартал.
За первый квартал организация получит убытки в размере 1 500 тыс.руб. Следовательно, налог на прибыль составит ноль рублей.
По итогам полугодия налог на прибыль организаций определен по формуле:
МАКС (G20*СУММ ($B19:G19) /100-D21;0)
где G20 – ссылка на ячейку, в которой указана налоговая ставка;
СУММ ($B19:D19) – налогооблагаемая прибыль за полугодие;
D21 – ссылка на ячейку, в которой указан налог на прибыль по итогам первого квартала.
За первое полугодие налогооблагаемая прибыль составит 600 тыс.руб., налог на прибыль – 120 тыс.руб. (0,2×600—0=120).
По итогам девяти месяцев на прибыль организаций определен по формуле:
МАКС (J20*СУММ ($B19:J19) /100-D21-G21;0)
где J20 – ссылка на ячейку, в которой указана налоговая ставка;
СУММ ($B19:J19) – налогооблагаемая прибыль за девять месяцев;
D21 – ссылка на ячейку, в которой указан налог на прибыль по итогам первого квартала;
G21 – ссылка на ячейку, в которой указан налог на прибыль по итогам полугодия;
По итогам девяти месяцев налогооблагаемая прибыль составит 3 300 тыс.руб., налог на прибыль – 540 тыс.руб. (0,2×3 300-0-120=540).
По итогам налогового периода налог на прибыль организаций определен по формуле:
МАКС (M20*СУММ ($B19:M19) /100-D21-G21-J21;0)
где M20 – ссылка на ячейку, в которой указана налоговая ставка;
СУММ ($B19:M19) – налогооблагаемая прибыль за налоговый период;
D21 – ссылка на ячейку, в которой указан налог на прибыль по итогам первого квартала;
G21 – ссылка на ячейку, в которой указан налог на прибыль по итогам полугодия;
J21 – ссылка на ячейку, в которой указан налог на прибыль по итогам девяти месяцев.
По итогам налогового периода налогооблагаемая прибыль составит 6 800 тыс.руб., налог на прибыль – 700 тыс.руб. (0,2×6 800-0-120-540=700). В целом за весь год налог на прибыль организаций будет равным 1 360 тыс.руб.
В последнем варианте стоит учесть убытки прошлых периодов, и расчет налога на прибыль представлен в таблице ниже.
Таблица 1.3 – Налог на прибыль организаций, тыс.руб.

По итогам первого квартала налог на прибыль организаций определен по формуле:
МАКС (D32* (СУММ ($B31:D31) -B33) /100;0,5*D32* (СУММ ($B31:D31)) /100;0)
где D32 – ссылка на ячейку, в которой указана налоговая ставка;
СУММ ($B31:D31) – налогооблагаемая прибыль за первый квартал;
B33 – ссылка на ячейку, в которой указаны убытки прошлых периодов.
За первый квартал организация получит убытки в размере 1 500 тыс.руб. Следовательно, налог на прибыль составит ноль рублей.
По итогам полугодия налог на прибыль организаций определен по формуле:
МАКС (G32* (СУММ ($B31:G31) -B33) /100-D34;0,5*G32* (СУММ ($B31:G31)) /100-D34;0)
где G32 – ссылка на ячейку, в которой указана налоговая ставка;
СУММ ($B31:G31) – налогооблагаемая прибыль за полугодие;
B33 – ссылка на ячейку, в которой указаны убытки прошлых периодов;
D34 – ссылка на ячейку, в которой указан налог на прибыль по итогам первого квартала.
За первое полугодие налогооблагаемая прибыль составит 600 тыс.руб., налог на прибыль – 60 тыс.руб. (0,5×0,2×600—0=60).
По итогам девяти месяцев на прибыль организаций определен по формуле:
МАКС (J32* (СУММ ($B31:J31) -B33) /100-D34-G34;0,5*J32* (СУММ ($B31:J31)) /100-D34-G34;0)
где J32 – ссылка на ячейку, в которой указана налоговая ставка;
СУММ ($B31:J31) – налогооблагаемая прибыль за девять месяцев;
B33 – ссылка на ячейку, в которой указаны убытки прошлых периодов;
D34 – ссылка на ячейку, в которой указан налог на прибыль по итогам первого квартала;
G34 – ссылка на ячейку, в которой указан налог на прибыль по итогам первого полугодия.
По итогам девяти месяцев налогооблагаемая прибыль составит 3 300 тыс.руб., налог на прибыль – 400 тыс.руб. (0,2× (3 300—1000) -0-60=400).
По итогам налогового периода налог на прибыль организаций определен по формуле:
МАКС (M32* (СУММ ($B31:M31) -B33) /100-D34-G34-J34;0,5*M32* (СУММ ($B31:M31)) /100-D34-G34-J34;0)
где M32 – ссылка на ячейку, в которой указана налоговая ставка;
СУММ ($B31:M31) – налогооблагаемая прибыль за налоговый период;
B33 – ссылка на ячейку, в которой указаны убытки прошлых периодов;
D34 – ссылка на ячейку, в которой указан налог на прибыль по итогам первого квартала;
G34 – ссылка на ячейку, в которой указан налог на прибыль по итогам первого полугодия;
J34 – ссылка на ячейку, в которой указан налог на прибыль по итогам девяти месяцев.
По итогам налогового периода налогооблагаемая прибыль составит 6 800 тыс.руб., налог на прибыль – 700 тыс.руб. (0,2× (6 800—1000) -0-60-400=700).
В целом за весь год налог на прибыль составит 1 160 тыс.руб. Его величина меньше значений предыдущей таблицы на 200 тыс.руб., а это ровно 20% от размера убытков прошлых периодов.
В таблице также представлен расчет убытков прошлых периодов на конец года по следующей формуле:
ЕСЛИ (N31 <0;B33-N31;МАКС (B33—0,5*N31;0)
N31 – ссылка на ячейку, в которой указана налогооблагаемая прибыль за налоговый период;
B33 – ссылка на ячейку, в которой указаны убытки прошлых периодов на начало года.
Формула вычисляет следующим образом. Если за налоговый период получены убытки, то убытки к вычету в последующие годы определяются как их сумма на начало и за текущий период. Иначе выбирается максимум между нулем и убытками на начало года, уменьшенными на половину величины налогооблагаемой прибыли за налоговый период.
Стоит рассмотреть ситуацию, когда убытки прошлых периодов значительно больше прибыли налогового периода. Расчеты представлены ниже.
Таблица 1.4 – Налог на прибыль организаций, тыс.руб.

Убытки прошлых периодов на начало года равны 10 млн руб. Они значительно больше прибыли за весь год. К вычету можно принять только 3 400 тыс.руб. (0,5×6 800=3 400). На конец года убытки прошлых периодов составят 6 600 тыс.руб. (10 000- 3400=6 800). Налог на прибыль составит 680 тыс.руб. (0,5×0,2×6 800).
В примере ниже рассмотрена ситуация, когда за налоговый период получены убытки.
Таблица 1.5 – Налог на прибыль организаций, тыс.руб.

Убытки за плановый год составят 1 700 тыс.руб., следовательно, убытки прошлых периодов на конец года – 2 700 тыс.руб. (1 700+1 000=2 700).
По итогам полугодия и девяти месяц был определен налог на прибыль в размере 460 тыс.руб. Он будет принят к вычету в последующих периодах.
Таким образом, налог на прибыль организаций планируется с учетом положений главы 25 НК РФ. У организаций есть право брать к вычету убытки прошлых периодов, но уменьшение налога на прибыль не должно быть больше 50%.
Глава 2. Налог на добавленную стоимость
Налог на добавленную стоимость относится к косвенным федеральным налогам. Особенности его исчисления отражены в главе 21 НК РФ.
Плательщиками НДС являются индивидуальные предприниматели, организации, а также иные лица, признаваемые налогоплательщиками в связи с перемещением товаров через таможенную границу.
Освобождены от уплаты НДС лица, применяющие упрощенную и систему налогообложения для сельскохозяйственных производителей. Однако в отдельных случаях указанные лица все-таки платят НДС. Например, при импортных операциях.
Объектами налогообложения признаются следующие операции:
– реализация товаров, работ, услуг на территории РФ;
– выполнение строительно-монтажных работ для собственных нужд;
– передача товаров для собственных нужд, расходы по которым не принимаются к вычету при определении налога на прибыль;
– импорт товаров.
Согласно Налоговому кодексу у налога на добавленную стоимость три ставки: 0%, 10%, 20%. Особенности применения различных ставок указаны в ст.164 НК РФ.
Налоговым периодом является квартал. Уплата НДС осуществляется тремя равными платежами до 25 числа каждого из трех месяцев, следующих за истекшим налоговым периодом.
Налог на добавленную стоимость к уплате за налоговый период можно определить по формуле:
НДС=И-В+А-АВ-Р-Н
где НДС – НДС к уплате;
И- исходящий НДС (НДС, который организация начислила покупателям);
В – входящий НДС (НДС, который выставлен организации поставщиками и подрядчиками);
А – НДС по полученным авансам;
АВ – НДС по авансам выданным;
Р – НДС по реализации, налог по которым был заплачен как по авансам в предыдущие периоды;
Н – НДС к уменьшению вследствие его отрицательной величины в предыдущем периоде.
В зависимости от ставки НДС его величину в реализации или покупке можно определить по формуле:
НДС=С*P/ (100+C)
где НДС – НДС внутри реализации или покупке;
С- ставка налога;
Р – объем реализации или покупки.
Например, при ставке НДС 10% доля НДС в общей сумме составляет 0,0909 (10/110=0,0909), при ставке 20% – 0,1667 (20/120).
Расчет НДС стоит начать с самого простого случая, когда у организации нет авансов полученных и выданных, также нет НДС к уменьшению. Расчет НДС представлен в таблице ниже.
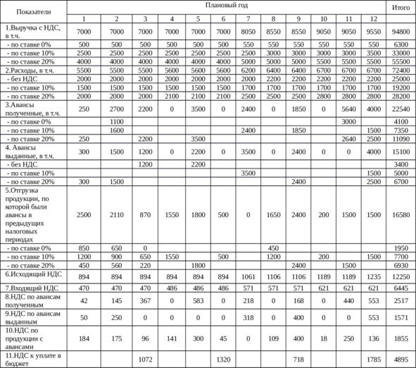
Таблица 2.1 – Налог на добавленную стоимость, тыс.руб.

В первой строке указана выручка с НДС с учетом ставки налога. За весь плановый период общая реализация с косвенными налогами составит 94,8 млн руб.
Во второй строке указаны расходы с учетом различных ставок. Общие расходы за весь год составят 72,4 млн руб.
Исходящий НДС определен с учетом ставок налога. Например, в первый месяц он составит 894 тыс.руб. (0×500+0,0909×2 500+0,1667×4 000=894).
Входящий НДС в первый месяц будет равным 470 тыс.руб. (0×2 000+0,0909×1 500+0,1667×2 000=470).
Расчет НДС за первый и последующие кварталы проведен по формуле:
МАКС (СУММ (B12:D12) -СУММ (B13:D13);0)
где СУММ (B12:D12) – сумма исходящего НДС за квартал;
СУММ (B13:D13) – сумма входящего НДС за квартал.
Формула рассчитывает налог за квартал как максимум между нулем и разницей сумм исходящего и входящего НДС. Например, если сумма входящего налога будет больше, чем исходящего, то НДС за квартал будет равен нулю.
В первый квартал НДС к уплате в бюджет составит 1 273 тыс.руб. (894+894+894-470-470-470=1 273).
Как правило, организации осуществляют свою деятельность с авансами. Расчет НДС с учетом операций по авансам представлен в таблице ниже.
Таблица 2.2 – Налог на добавленную стоимость, тыс.руб.

В третьей строке представлена информация о полученных авансах. При этом к авансам отнесены платежи, поставка по которым будет осуществляться в следующем квартале.
В четвертой строке указаны авансы выданные, к которым отнесены платежи, поставки по которым будут в следующих кварталах. В целом за год сумма выданных авансов составит 15 100 тыс.руб.
В пятой строке отражены объемы реализации, оплата по которым была произведена в предыдущие периоды. Иными словами, это отгрузка продукции, по которой были авансы в предыдущих кварталах.
Исходящий и входящий НДС, НДС по авансам полученным и НДС по авансам выданным, НДС по продукции, по которой были авансы определены с учетом ставок налога. Например, НДС по авансам полученным в первом месяце составит 42 тыс.руб. (20×250/120=42), НДС по авансам выданным – 50 тыс.руб. (20×300/120=50), НДС по продукции с авансами -184 тыс.руб. (0×850/100+10×1 200/110+20×450/120=184).
НДС к уплате в бюджет за первый и последующие кварталы определен по формуле:
МАКС (СУММ (B42:D42) +СУММ (B44:D44) -СУММ (B43:D43) -СУММ (B45:D45) -СУММ (B46:D46);0)
где СУММ (B42:D42) – сумма исходящего НДС за квартал;
СУММ (B44:D44) – сумма НДС по авансам полученным за квартал;
СУММ (B43:D43) – сумма входящего НДС за квартал;
СУММ (B45:D45) – сумма НДС за квартал по авансам выданным;
СУММ (B46:D46) – сумма НДС за квартал по продукции с авансами.
Формула определяет НДС к уплате за квартал как максимум между нулем и суммой НДС исходящего и по авансам, уменьшенной на величину входящего НДС, НДС по выданным авансам и НДС по продукции, по которой были авансы в предыдущих периодах.
Например, в первый квартал НДС к уплате составит 1 072 тыс.руб. Исходящий НДС за квартал составит 2 682 тыс.руб., НДС по авансам полученным – 554 тыс.руб., входящий НДС – 1 409 тыс.руб., НДС по авансам выданным – 300 тыс.руб., НДС по продукции с авансами – 455 тыс.руб. (2 682+554—1 409-300-455= 1 072).
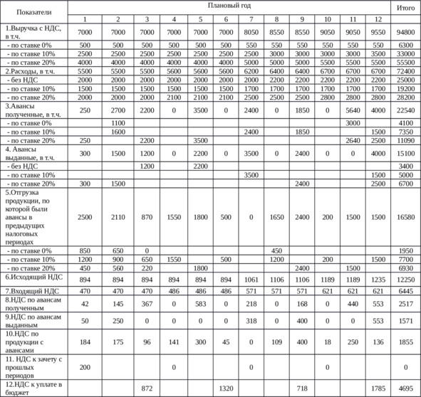
На практике иногда возникает ситуация, когда НДС к уплате меньше нуля (дебетовое сальдо по счету 68.02 «НДС»). Данная величина принимается к зачету в следующих налоговых периодах. Расчет НДС с учетом этого момента представлен в таблице ниже.
Таблица 2.3 – Налог на добавленную стоимость, тыс.руб.

НДС к уплате за первый квартал и последующие кварталы определен по формуле:
МАКС (СУММ (В73:D73;B75:D75) -СУММ (B74:D74;B76:D76;B77:D77) -B78;0)
где СУММ (B73:D73;B75:D75) – сумма исходящего НДС и НДС по полученным авансам;
СУММ (B74:D74;B76:D76;B77:D77) – сумма входящего НДС, НДС по выданным авансам и НДС по продукции с авансами.
B78 – ссылка на ячейку, в которой указан НДС к зачету с прошлых периодов.
Все исходные данные равны данным из предыдущей таблицы. НДС к уплате за первый квартал меньше величины предыдущей таблицы ровно на его величину к зачету, то есть на 200 тыс.руб. (1072—200=872).
НДС к зачету с прошлых периодов на начало второго и последующих кварталов определен по формуле:
ЕСЛИ (СУММ (B73:D73;B75:D75) -СУММ (B74:D74;B76:D76;B77:D77) <0;B78+СУММ (B74:D74;B76:D76;B77:D77) -СУММ (B73:D73;B75:D75);МАКС (0;B78-СУММ (B73:D73;B75:D75) +СУММ (B74:D74;B76:D76;B77:D77)))
где СУММ (B73:D73;B75:D75) – сумма исходящего НДС и НДС по полученным авансам;
СУММ (B74:D74;B76:D76;B77:D77) – сумма входящего НДС, НДС по выданным авансам и НДС по продукции с авансами.
B78 – ссылка на ячейку, в которой указан НДС к зачету с прошлых периодов.
Формула вычисляет НДС к зачету следующим образом. Если величина текущего НДС отрицательная, то НДС к вычету будет равен сумме НДС к зачету на начало периода и отрицательного НДС за квартал по модулю. Иначе формула выбирает между нулем и разностью НДС к вычету на начало периода и начисленного НДС за текущий квартал.
Так как текущий НДС (без учета зачета) за первый квартал равен 1 072 тыс.руб., то на начало следующего квартала НДС к зачету будет равен нулю (максимум между нулем и минус 872).
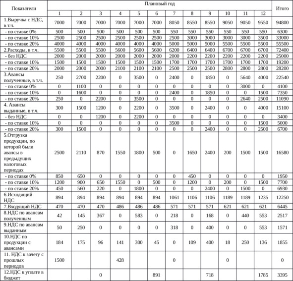
Стоит рассмотреть несколько ситуаций. Пусть в первом квартале выдан большой аванс. Расчет НДС представлен в таблице ниже.
Таблица 2.4 – Налог на добавленную стоимость, тыс.руб.

В третьем месяце дополнительно выплачен аванс по ставке 20% в размере 10 000 тыс.руб. Это приведет к снижению НДС в первом квартале на 1 667 тыс.руб. (20×20/120=1 667).
Без этого аванса НДС был бы равен 872 тыс.руб. Поэтому за первый квартал НДС к уплате будет равным нулю (максимум между нулем и минус 795 (872—1 667=-795). При этом на начало следующего периода НДС к зачету составит как раз эти 795 тыс.руб.
Во втором квартале НДС без учета зачета составил бы 1 320 тыс.руб., а с учетом зачета – 525 тыс.руб. (1 320—795=795).
В таблице ниже рассмотрена ситуация, когда НДС к зачету на начало года значительно превышает текущий НДС к уплате за первый квартал.
Таблица 2.5 – Налог на добавленную стоимость, тыс.руб.

На начало года НДС к зачету с прошлых периодов равен 1 500 тыс.руб. Его величина значительно больше текущего НДС за первый квартал без учета зачета (1 072 тыс.руб.). Поэтому НДС к уплате за первый квартал будет равным нулю, а НДС к зачету на начало второго квартала – 428 тыс.руб. (1 500—1 072=428).


