- -
- 100%
- +
Врачи выделяют ряд факторов, при которых происходит снижение или изменение выработки пигмента в организме. Среди распространённых причин патологии выделяют:
• Нарушение гормонального фона в организме.
• Заболевания эндокринных желёз.
• Приём гормональных препаратов.
• Избыточное количество ультрафиолетовых лучей.
• Наличие наследственной предрасположенности.
• Дефицит аминокислот.
• Инволюция организма.
• Частые стрессы.
С целью стабилизации показателей меланина при гипопигментации наиболее эффективным решением является введение в меню пищи, содержащей необходимые микроэлементы, что способствуют выработке меланина, а также применение лекарственных средств (лекарственные препараты не будут описываться в данной книге, поскольку эта сторона вопроса должна рассматриваться трихологами). Главными компонентами, участвующими в синтезе пигмента, являются аминокислоты – триптофан и тирозин. В повседневном рационе в необходимом количестве должны присутствовать витамины группы A, B, C, E и каротин. Увеличивать концентрацию и стимулировать выработку меланина могут:
• Виноград.
• Цитрусовые.
• Шиповник.
• Тыква.
• Морковь.
• Бобовые.
• Зелень.
• Яйца.
• Печень.
• Капуста.
• Грибы.
• Мясо.
• Морепродукты.
• Орехи (особенно – арахис, миндаль и тыквенные семечки).
• Продукты, которые содержат медь, магний и различные минеральные соли.
• Шоколад.
• Какао.
• Хлеб с отрубями.
• Шпинат.
• Бананы.
1.2.3.2.2.3. ЭУМЕЛАНИН
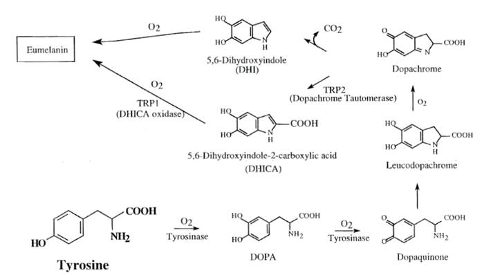
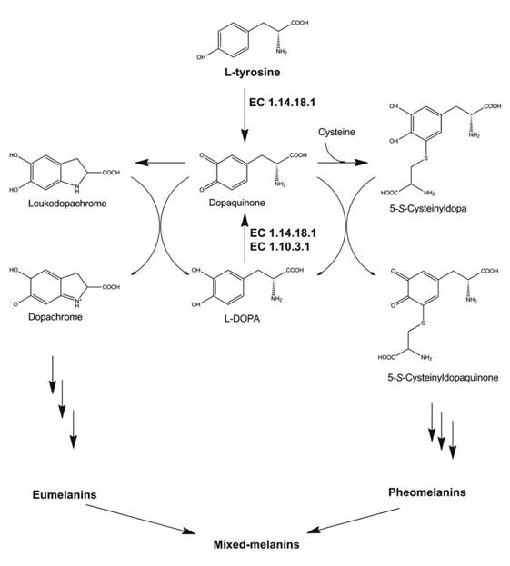
Эумеланины – это чёрные и коричневые азотистые пигменты, которые возникают при окислительной полимеризации 5,6-дигидроксииндолов, полученных из тирозина через допахинон.
Исходной производства эумеланина в меланоците является тирозин, который находится либо в виде свободной аминокислоты, либо в сочетании полипиптидной цепи. Тирозин (Tyrosine) окисляется терозиназой (Tyrosinase) до 3,4-дигидроксифенилаланина (3,4-dihydroxyphenylalanine (Dopa). Фермент продолжает окисление, пока не образуется допакинон (Dopaquinone), после чего серией циклических реакций допакинон преобразуется в лейкодопахром (Leukodopachrome) путём присоединения аминогруппы к системе хинона (Quinone system). Дальнейшее окисление порождает допахром (Dopachrome) или его таутомерный хинонимин, который последовательно подвергается перегруппировке и декарбоксилированию для получения 5,6-дигидроксииндола (5,6-dihydroxyindole). И в конце 5,6-дигидроксииндол окисляется до индолехинона (Indolequinone) с высокой реакционной способностью, образуя чёрный эумеланин.

Эумеланины полностью поглощают световые лучи, давая чёрную пигментацию. Мутагенной формой эумеланина являются сферические коричневые и коричные (коричнево-рыжие) пигменты.

Эумеланины практически нерастворимы в воде и в органических растворителях. Они чрезвычайно инертны, стабильны и подвергаются изменениям лишь в результате наиболее жёстких химических воздействий. Вместе с тем эумеланины могут обесцвечиваться при длительном выдерживании на воздухе, на ярком солнечном свету или, что особенно эффективно, при продолжительном окислении перекисью водорода.
1.2.3.2.2.4. ФЕОМЕЛАНИН
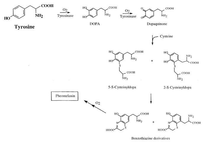
Феомеланины – это красно-жёлтые пигменты, которые наряду с азотными компонентами содержат серу и возникают в результате окислительной полимеризации цистина через 1,4-бензотиазин. Производство богатых серой феомеланинов происходит из-за отклонения ранее описанного биосинтеза эумеланинов. Вместо того, чтобы образовать соединение индола, допахинон добавляет серосодержащую аминокислоту цистина с получением цистииновых допа (Cysteinyl dopa), которые могут дополнительно подвергаться окислительной реакции с 1,4-бензотиазином (1,4-benzothiazine).
Феомеланины отражают свет в красно-жёлтом диапазоне. Однако надо понимать, классические, не мутированные феомеланины, обладают чаще всего золотистым спектром.

Мутагенные типы феомеланина называют трихохромами и бывают четырёх типов – C, B, Е и F. При этом трихохромы групп C и В отражают красно-оранжевый спектр цветов (после обесцвечивания имеют интенсивно-рыжие и золотисто-рыжие оттенки), а F и Е отражают фиолетовый спектр света, однако в человеческом волосе трихохрома данных двух типов не наблюдается.



Впервые трихохром был экстрагирован в 1878 г. из рыжих человеческих волос кипячением с соляной и серной кислотами. Профессором Найгелем Барникотом была предпринята неудавшаяся попытка сопоставить содержание трихохромов с цветом волос, но в результате исследований образцы тёмных волос также содержали трихохром, а часть рыжих волос вообще не имела трихохрома в составе волоса. Бытует мнение, что трихохромы имеют повышенное содержание железа, и что именно эта особенность мешает осветлению рыжих волос. Но так как трихохромы могут содержаться в любых волосах или отсутствовать вовсе, мы не стали бы связывать силу осветления с данным аспектом.

Конечно, вы не можете определить наличие трихохрома до начала окрашивания, и работать с ним приходится постфактум. То есть, если что-то пошло не так, исправляем и на будущее отмечаем, что нужно отредактировать формулу и алгоритм действий.

1.2.3.2.2.5. ГРУППИРОВАНИЕ ПИГМЕНТОВ
Во время кератизации меланина они группируются в большие скопления, которые состоят как из феомеланинов, так и из эумеланина. Данные образования нередко имеют строение феомеланина, обёрнутого эумеланином. В более редких случаях бывает структура формирования эумеланина, обёрнутого феомеланином. Также наряду со сгруппированными типами пигментов меланин формируется только одним типом, что чаще всего бывает с феомеланинами. Этой особенностью строения структуры пигментов объясняется сложность удаления феомеланина из волос.


Количество пигмента определяет светлоту волос. Чем больше пигмента в волосе, тем более тёмным будет волос. И наоборот – чем меньше пигмента в волосе, тем светлее он. У каждого человека количество его различно и формируется, как и цвет, генетически.

Интересны последние исследования С. Ито и К. Вакаматсу, которые показали, что в зависимости от уровня глубины тона мы имеем различную концентрацию (соотношение) феомеланина и эумеланина. И если работаем с осветлением, то помним, что их исследования очень многое объясняют и дают возможность спрогнозировать более правильный алгоритм работы. Более подробные исследования на тему количественного распределения феомеланина и эумеланина провёл Борхес, в результате которых он со своими коллегами пришёл к следующим выводам:
• В среднем чёрные человеческие волосы содержат около 1 % феомеланина и 99 % эумеланина.
• Коричневые и светлые волосы, содержат около 5 % феомеланина и 95 % эумеланина.
• Рыжие волосы содержат около трети феомеланина и две трети эумеланина. Хотя Ито и Вакаматсу приводят значения 50 % на 50 % (вероятно, что данный вопрос будет в будущем исследован более детально с учётом уровня глубины тона рыжих волос, и мы сможем узнать более точные данные).

Чем больше пигмента в волосе, тем больше нам требуется усилий на его удаление и тем меньше будет у нас возможности быстро получить желаемый максимально светлый цвет. Нельзя забывать при рассмотрении пигментов и тот факт, что размер эумеланина меняется в зависимости от этнических корней человека, а вот размер феомеланина в основном имеет одинаковую величину.

Шван-Йончик провёл большие исследования по данному вопросу и вывел следующие соотношения размера и этнических корней людей:
• Африканские волосы – величина эумеланина около 0,8 нанометра.
• Азиатские (японские) волосы – величина эумеланина около 0,5 нанометра.
• Кавказские волосы – величина эумеланина около 0,4 нанометра.
• Величина феомеланина у всех этнических групп составляет около 0,3 нанометра.

Нужно отметить тот факт, что под кавказскими волосами в международной системе понимаются все волосы европейского и российского пространства, то есть жителей стран, что территориально расположены до Кавказского хребта. Исходя из этого, необходимо уточнить, что исследование кавказских волос было на светлых 6–7 уровнях глубины тона оттенках.
Ориентируясь на эти данные вы должны понимать, что волосы азиатского типа будут значительно сложнее осветляться не только из-за количества пигмента, а также и из-за его размеров. Ведь окислительной реакции во время осветления нужно будет прилагать намного больше усилий, чтобы осветлить африканский и азиатский волосы, по сравнению со светлыми кавказскими.
Также при осветлении мы с вами должны не забывать о том, что после удаления пигмента остаются свободные пространства, которые увеличивают гидрофильность волоса, что сильно влияет на качество структуры в целом. Если волос содержит большое количество пигментов, то при их тотальном удалении волос становится в любом случае ослабленным и сильно повреждённым, ведь почти 2 % структуры волос было удалено, а сколько претерпело неисправимых изменений в результате активной реакции – невозможно оценить. Именно поэтому в процессе обесцвечивания мы стараемся добавить в продукты как можно больше PLEX и эстетических добавок BAD, заполняющих данные пространства и создающих вид целостности структуры.
При рассмотрении меланина нужно не забывать о том, что одна из основных задач эумеланина – это защита волоса от ультрафиолета. Последние исследования показали, что в эффекте блеска участвует не только кутикула волоса, а и во многом сам пигмент. Именно поэтому более тёмные волосы, содержащие большое количество пигментов, обладают значительно большим блеском, чем менее пигментированные светлые волосы. При удалении эумеланина из волос, наряду с проблемой образовавшихся пустот, возникает также проблема уменьшения блеска, который впоследствии можно компенсировать только специализированными уходами.
1.2.3.2.2.6. СЕДИНА
При появлении седины мы с вами наблюдаем, как перестают функционировать меланоциты, и выработка пигмента прекращается. Судя по всему, существует некая субстанция, которая подавляет производство тирозиназы (один из основных компонентов производства пигмента). И когда учёные выяснят это, мы сможем предотвращать появление седины, а, возможно, и более плотно воздействовать на процесс формирования меланина, изменяя родной цвет волос.
По статистике у европейцев к 50 годам у 50 % людей наблюдается седина. Поседение происходит вне зависимости от пола, начальной плотности пигментации и цвета волос индивидуумов. С возрастом у людей отмечается понижение активности тирозиназы. То есть седина является следствием снижения синтеза меланина в фолликулах, но, к сожалению, до сих пор не выяснена причина этого снижения.
Исследования показали, что часть седых волос содержит тирозиназу, а часть нет. Вместе с тем, в седых волосах с содержанием тирозиназы волос имеет слабую пигментацию внутри, то есть в фолликуле присутствуют в небольшом количестве активные меланоциты. Из-за отсутствия пигмента в волосах, клетки кератина волоса прилегают более плотно, в результате чего мы всегда имеем более прозрачный цвет на седых волосах по отношению к натурально-пигментированному волосу. Волосы, которые не содержат пигмент, называют стекловидными седыми волосами. Пигментированный седой волос после обесцвечивания проявляет фон осветления. Процесс поседения с точки – если сравнивать седину со светлыми и тёмными волосами – требует дополнительного изучения, однако известно, что в седых волосах пигмента меньше, чем в пигментированных волосах. Скорее всего, пигменты в седых волосах меньше по размеру по сравнению со стандартно пигментированным волосом. Также в исследованиях Холлфелдера и работах Ван Несте мы находим подтверждение того, что седой волос обладает более плотной структурой белка и жёсткой, грубой внешней структурой, что значительно усложняет окрашивание таких волос по сравнению с пигментированными. В общей сложности 3343 волоса были исследованы Ван Несте после классификации как пигментированные (P) и непигментированные (W). Средний диаметр W-волосков превышал P-волоски на 10,27 мкм, р. 0.0001. Медулла W-волосков была более развита, чем у P-волосков, и скорость роста волос W была примерно на 10 % более быстрой, чем у волос P.
Вольфрам и его коллеги изучали окисление человеческих волос с пигментом и без него (седые). Они также изучали окисление гранул меланина, выделенных из человеческих волос. Эти учёные обнаружили, что в пигментированных волосах разложение перекиси водорода происходит значительно быстрее, чем в волосах без пигмента. При этом нужно отметить, что реакция осветления на пигментированных и седых волосах в первые 10 минут идут одинаково, а вот в промежутке с 30 до 90 минуты значения разложения перекиси водорода на атомарный кислород имеют значительную разницу. Вольфрам доказал, что в начале реакции действие происходит в кутикулярных слоях, поэтому скорость реакции не отличается, однако, как только состав доходит до слоёв с содержанием пигмента, реакция меняет свою скорость в зависимости от состава волоса. Чем и обусловлено плохое обесцвечивание седых волос.
1.2.3.3. МЕДУЛЛА
Медулла, или мозговое вещество – это центральная часть волоса, которая состоит из 2–4 слоёв кубических, неороговевших клеток и представлена не во всех видах волос. Имеет много пустот.
Клетки мозгового вещества расположены редко и при дегидратации (образовании) оставляют ряд вакуолей вдоль оси волокна. При сильном увеличении клетки мозгового вещества кажутся сферическими и полыми внутри, они связаны друг с другом материалом сложного типа клеточной мембраны. Menkart J, Wolfram LJ, Mao I (1966) предположили, что сердцевина вносит незначительный вклад в химические и механические свойства волокон человеческого волоса. Значит, сердцевина человеческого волоса имеет большее значение для судебной медицины (для сравнительной идентификации волос), чем для косметической науки.
Banerjee AR (1962) выделил три типа сердцевины: волосы с непрерывной медуллой, с прерывистой медуллой и волосы без медуллы. Волосы без медуллы чаще всего тонкие, волосы с прерывистой медуллой имеют толщину волоса, а непрерывную медуллу мы с вами встречаем в толстых волосах. Эту же последовательность доказали Hardy D в 1973, Pecoraro V, Astore I, Barman JM в 1964 и Wynkoop EM в 1929.
1.2.3.4. Аминокислоты
Как мы уже с вами рассмотрели выше, волос в основном состоит из белков. Уникальность белков характеризуется большим содержанием аминокислот. Анализу данных аминокислот было посвящено огромное количество исследований. Чаще всего исследования ведутся после кислотного гидролиза волоса, хотя у данного метода есть небольшой минус – метод приводит к разрушению некоторых аминокислот, а именно триптофана (Tryptophan).





1.2.5. РАЗЛИЧИЯ ВОЛОС
Волосы каждого человека индивидуальны и подобно отпечатку пальцев ни у кого не повторяются. Условно волосы различают по толщине, сечению, этническим различиям, цвету и форме.
1.2.5.1. ТОЛЩИНА ВОЛОС
Условно различают три вида толщины волос: толстые, тонкие и волосы средней толщины (нормальные). Толстый волос в диаметре может превышать по толщине тонкий в 3 раза. В то же время в большинстве случаев у людей с толстыми волосами на голове меньшее количество фолликулов, чем у людей с тонкими волосами. Чаще всего толщина характеризуется этническими корнями человека. Так, к примеру, самые толстые волосы встречаются среди азиатских типов, и толщина их может доходить до 120 мкм (0,12 мм), а самые тонкие волосы чаще всего встречаются в скандинавских и славянских типах волос, имея в среднем толщину 50–70 мкм (0,05–0,07 мм).

Толщина волос может значительно изменяться в рамках одного волосяного покрова. На практике мы выделяем два вида распределения толщины волос, которое характеризуется этническими особенностями индивидуумов. На схемах вы видите различия в рисунке распределения толстых и тонких волос – при кавказском и азиатском типах.

1.2.5.2. СЕЧЕНИЕ И ФОРМА ВОЛОС
По форме волоса в сечении выделяют три типа: круглое, овальное и плоское сечение волос. Принято считать, что сечение волос характеризуется его формой, т. е. круглое сечение характеризует прямые волосы, а плоское – кудрявые.
Искривление вьющимся и кудрявым волосам задаёт в базальном слое фолликула и, по-видимому, это связано с отсутствием симметрии в нижней части корня волос.

Сечение волос можно определить только при помощи специального измерительного прибора. Измерения производятся методом «петли».

Сделайте волосом петлю и положите наивысшую часть петли под клеммы прибора, как показано на рисунке.

Получив результат измерения методом «петли», необходимо его сравнить с показаниями «плоского» метода. Разница показаний и укажет на форму волоса в разрезе (сечение волоса).
• Круглое сечение волоса (данная форма характерна для народов Азии).
• Овальное сечение волоса (форма характерна для славянской, скандинавской и кавказкой этнических групп).
• Плоское сечение волоса (данная форма характерна для афро-карибской группы).
1.2.5.3. ПОРИСТОСТЬ ВОЛОС
Пористость – это гигроскопичность волос. Чаще всего о пористости мы судим по внешнему виду волос, а точнее, по внешнему виду кутикулы. Кутикула защищает волос от внешних воздействий и удерживает влагу и протеин внутри волоса. Качество кутикулы влияет на выбор предварительной обработки. Необходимо беречь кутикулу, поскольку её разрушение неминуемо приводит к разрушению внутреннего стержня волоса. Кутикула состоит из нескольких слоёв прозрачных ороговевших пластин. Каждая пластина состоит из трёх основных слоёв – А-слой, экзокутикула и эндокутикула. Пластины соединены межмолекулярным матриксом (СМС – клеточно-мембранный комплекс с внешним и внутренним слоями), уничтожение которого приводит к расслоению пластин и разрушению слоя. Все компании-производители активно стремятся сохранить кутикулу во время работы их продуктов, и всё же так или иначе неизбежное разрушение в той или иной степени ждёт любой волос при многократном окрашивании. То есть если кутикула в хорошем состоянии, это означает, что плоские пластинообразные клетки плотно перекрывают друг друга, образуя эластичный слой, полностью покрывающий поверхность кортекса. Такая ровная поверхность отражает свет, волос блестит и его называют «живым». Если же кутикула повреждена, то при ближайшем рассмотрении можно увидеть, что края пластинок приподняты и межклеточное вещество (CMC) в той или иной мере разрушено. Такой волос называют «пористым» или в простонародье «мёртвым».
Условно выделяют пять степеней пористости, исходя из качества кутикулы и гигроскопичности волос:
• Стекловидный волос (чешуйки кутикулы плотно закрыты и не дают проникать химическим составам в кортекс).
• Нормальная пористость (чешуйки закрыты, но не имеют такой сильной плотности соединения, как у стекловидного волоса; не мешают проникновению химических составов).
• Пористые волосы (чешуйки открыты, волос не имеет сильного блеска, химические препараты достаточно легко проникаю в волос, в результате чего могут повредить волос).
• Сильно пористые волосы (повреждённая структура волоса, часто с отслоившимися чешуйками кутикулы, препараты быстро проникают в волос, перегружая его; стойкость окрашивания низкая).
• Повреждённые или очень сильно пористые волосы (данные волосы имеют расслоения и надломы, сильно раскрыта структура и частично отсутствуют слои кутикулы; волос сухой и безжизненный; красители быстро проникают в волос; стойкость окрашивания низкая).
1.2.5.4. Этнические РАЗЛИЧИЯ ВОЛОС
Выделяют три основные группы: кавказские, азиатские и негроидные волосы. Конечно, каждую отдельную группу можно бесконечно разбивать на дополнительные подгруппы, но мы остановимся в рассмотрении только на трёх основных.

Кавказский тип. Отличается большим разнообразием типов и широко распространена. Представители этого типа могут иметь и бледную кожу, как северо-восточные европейцы, и смуглую, как уроженцы субконтинентальной Индии. Волосы могут быть прямыми и волнистыми, толстыми и тонкими, разных цветов и оттенков – от чёрного до экстра светло-русого.

Азиатский тип. Волос от природы прямой, толстый, тёмный, устойчивый к повреждениям.

Негроидная раса (афро-карибская группа). Волос очень тугой, мелко вьющийся, обычно очень сухой и в большей степени подверженный физическим и химическим повреждениям. Шерстистые волосы этой расы состоят из сегментированных зон – внешней (ортокортикальной) и внутренней (паракортикальной) стороны завитка.
1.2.5.5. ДЛИНА ВОЛОС (ФАЗЫ РОСТА ВОЛОС)
Длина волос характеризуется длительностью фазы анагена и скоростью роста волос. У каждого человека это заложено генетически и в течении жизни может меняться только под воздействием гормональных изменений в организме. Благодаря митозу клеток в луковице волос формируется и растёт. Но рост волос происходит не постоянно, как кажется на первый взгляд. Каждый волос в отдельности растёт до определённой длины, после чего немного «отдыхает» и выпадает.

Этот процесс называют фазой роста волос. Каждый волос в среднем за день отрастает на 0,3–0,4 мм (1–2 см в месяц), а смена всех волос за время жизни человека около 20 раз. В день выпадает около 60–100 волос, но необходимо отметить, что количество выпадаемых волос меняется в зависимости от времени года и прочих факторов. Также количество выпадаемых волос характеризуется густотой волос – чем больше волосяных фолликул на волосистой части головы, тем больше волос в день будет выпадать.
Различают три фазы роста волос: анагенная, катагенная и телогенная.






