Социальная статистика: конспект лекций

- -
- 100%
- +
14) по семейным обстоятельствам;
15) иная причина (указать какая).
В данной программе для лиц, не имеющих места жительства между переписями 1989 и 1994 гг., указывался тот год, с которого человек проживает в данном месте; места предыдущего его жительства; тип населенного пункта, откуда прибыл (из городского, сельского); является беженцем или вынужденным переселенцем[7].
В настоящее время учет осуществляется по составу и направленности потоков беженцев и вынужденных переселенцев. В целом по России поток беженцев и вынужденных переселенцев значительно сократился по сравнению с 1990 г.
Плотность потоков переселенцев и беженцев определяется с помощью коэффициента интенсивности:

Показатели миграции населения. Выделяют следующие виды миграции:
1) внутренняя – перемена постоянного места жительства в рамках страны;
2) внешняя – перемена постоянного места жительства посредством въезда и выезда из страны;
3) сезонная – численность населения меняется в определенные периоды года;
4) маятниковая – каждодневные перемещения людей от места их жительства к месту работы или обучения и обратно.
Для оценки механического движения применяются относительные и абсолютные показатели миграции.
Абсолютные показатели:
1) численность прибывших в населенный пункт П;
2) численность выбывших из населенного пункта В;
3) абсолютный миграционный (механический) прирост (П-В)[8].
Относительные показатели, характеризующие интенсивность миграционных процессов:
1) коэффициент прибытия;
2) коэффициент выбытия;
3) коэффициент миграционного (механического) прироста.
Распад СССР и происходящие социально-экономические изменения существенно повлияли на расселение людей, спровоцировали интенсивные миграционные потоки, привели к увеличению доли беженцев и вынужденных переселенцев в общем числе мигрантов. Сведения о беженцах и вынужденных переселенцах собирает Федеральная миграционная служба России по представлению органов государственной статистики.
Увеличение численности беженцев и вынужденных переселенцев приводит к большим трудностям по их трудоустройству, обеспечению жильем, организации социальной поддержки и медицинской помощи. По программе произведенной в октябре 2002 г. переписи населения было предусмотрено сделать оценку вынужденных мигрантов с социально-демографической позиции. Это должно было помочь повысить обоснованность мер, принятие которых необходимо для регулирования миграционных процессов.
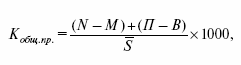
Для определения изменения численности населения как за счет демографических факторов (рождаемости и смертности), так и за счет миграции исчисляется коэффициент общего прироста населения. Он может быть исчислен несколькими способами:


При изучении различных процессов в обществе статистический анализ социальной структуры и социальной мобильности населения развивается и усложняется, стремительно увеличивается число демографических научно-исследовательских институтов, периодических изданий и международных организаций, занимающихся изучением в сфере данной социальной статистики. Основой исследований в данной области служат данные переписей населения. Поэтому для новой России чрезвычайно важным событием стало проведение переписи населения в октябре 2002 г[9].
Коэффициенты обновления и выбытия населения строятся по аналогии с коэффициентами обновления (выбытия) основных фондов.
Коэффициент обновления (выбытия) состава j-й социальной группы выглядит следующим образом:

где Nj1, Nj0 – численность j-й социальной группы на конец (1) и начало (0) изучаемого периода.
Если Nj1,» Nj0 то Kj » 0, в противном случае Kj «0. При Kj ≥ 0 значительно изменяется состав данной социальной группы.
Конец ознакомительного фрагмента.
Текст предоставлен ООО «ЛитРес».
Прочитайте эту книгу целиком, купив полную легальную версию на ЛитРес.
Безопасно оплатить книгу можно банковской картой Visa, MasterCard, Maestro, со счета мобильного телефона, с платежного терминала, в салоне МТС или Связной, через PayPal, WebMoney, Яндекс.Деньги, QIWI Кошелек, бонусными картами или другим удобным Вам способом.
Примечания
1
Елисеева И. И. Социальная статистика. М.: Финансы и статистика, 2001.
2
Елисеева И. И. Социальная статистика. М.: Финансы и статистика, 2001. С. 15.
3
Елисеева И. И. Социальная статистика. М.: Финансы и статистика, 2001. С. 17.
4
Елисеева И. И. Социальная статистика. М.: Финансы и статистика, 2001. С. 17
5
Елисеева И. И. Социальная статистика. М.: Финансы и статистика, 2001. С. 26.
6
Елисеева И. И. Социальная статистика. М.: Финансы и статистика, 2001. С. 26.
7
Елисеева И. И. Социальная статистика. М.: Финансы и статистика, 2001
8
Елисеева И. И. Социальная статистика. М.: Финансы и статистика, 2001. С. 44.
9
Елисеева И. И. Социальная статистика. М.: Финансы и статистика, 2001. С. 44.





