Натоши Сакамото. DeflationCoin

- -
- 100%
- +
По этой причине общее предложение ДефляцияКоин ограничено 20 999 999 монетами, а дополнительная эмиссия исключена. Меньшее количество монет по сравнению с биткойном делает каждую монету более ценной.
Большинство крипто-проектов с рыночной капитализацией, превышающей десятки миллиардов долларов, являются пустышками не имеют ограниченной эмиссии. Их создатели, ввиду недальновидности, допустили ошибку, создав активы с инфляционной экономической системой. Ethereum, Solana, Tron, Doge – не ограничивают эмиссию своих токенов, и, по сути, мало чем отличаются от фиатных валют по инфляционному параметру. У Ethereum, Solana и Tron присутствуют незначительные дефляционные механизмы, встроенные в комиссионные сборы. На фоне неограниченной эмиссии, необходимой для выплат валидаторам, эти механизмы теряют практическое значение и становятся бессмысленными.
Хотя они позиционируют свои технологии как фундаментальные, их реальное применение в повседневной жизни среди граждан остаётся редкостью. «Технологичное» позиционирование у таких проектов часто является лишь маркетинговым ходом для привлечения капитала от доверчивых инвесторов. На практике все эти проекты лишены полноценной дефляционной модели и ограниченной эмиссии, а также не ориентируют свои продукты на массового пользователя за пределами криптоиндустрии, что снижает их реальную ценность.
Это частично относится и к биткойну. Хотя он обладает ограниченной эмиссией и незначительным дефляционным элементом, вызванным потерей доступа к кошелькам у некоторых пользователей, такая дефляция является случайным явлением, а не результатом продуманной экономической модели. Более того, биткойн лишён внутренней экономики, способной обеспечивать устойчивый спрос на монеты. По этой причине он не может считаться лидером среди криптовалют в аспекте ценности монет и надёжным инструментом для долгосрочного сохранения капитала.
Инфляция оказывает негативное влияние на государственные облигации всех стран мира, снижая их реальную доходность и уменьшая привлекательность для инвесторов. С учётом того, что глобальный объём рынка государственных облигаций превышает 130 триллионов долларов, обесценивание этих активов из-за инфляции создаёт серьёзное давление на мировую экономику. В отличие от облигаций, биткойн выигрывает от инфляции, благодаря чему его стоимость продолжает расти. Однако, если бы у биткойна изначально была заложена дефляционная модель и внутренняя экономика, его капитализация могла бы достичь гораздо более впечатляющих высот.
3.2. Ежедневное смарт-сжигание монет.
Одним из механизмов, уменьшающих количество монет ДефляцияКоин в обращении, является «Ежедневное смарт-сжигание монет».
Механизм функционирует следующим образом:
– После того как кошелёк A переводит монеты на кошелёк B, через 24 часа с кошелька B автоматически списывается 1% от полученной суммы.
Единственный способ для кошелька B избежать изъятия – это перевести монеты в Смарт-стейкинг в течение 24 часов (подробности описаны в разделе 3.4).
В Смарт-стейкинге монеты защищены от изъятия и могут увеличиваться в количестве благодаря механизму «Смарт-дивиденды» (подробности в разделе 3.5).
Процесс изъятия монет происходит следующим образом:
– 50% переводится на кошелёк, откуда монеты удаляются из обращения навсегда.
– 50% переводится на кошелёк для перераспределения в качестве вознаграждения стейкерам (подробности описаны в разделах 3.4 и 3.5).

3.3. Дефляционный халвинг, а не как у биткойна.
Одним из ключевых механизмов контроля инфляции биткойна является «халвинг». Халвинг – это процесс, при котором вознаграждение майнерам за добычу новых блоков сокращается вдвое каждые 210 000 блоков (примерно каждые 4 года). Этот механизм ограничивает общую эмиссию биткойна до 21 миллиона монет, что создаёт дефицит и помогает контролировать инфляцию.
Однако халвинг не делает биткойн по-настоящему дефляционным активом – он лишь замедляет темпы создания новых монет, а не уменьшает их количество в обращении. В этом плане биткойн не уникален, поскольку многие акции на фондовом рынке, которые не выпускали дополнительную эмиссию, также имеют ограниченное количество акций в обращении, что делает их схожими с биткойном по модели предложения.
В ДефляцияКоин применен механизм «Дефляционного халвинга».
После того как кошелёк A отправляет монеты на кошелёк B, через 24 часа на кошельке B изымается 1% от полученной суммы (это происходит, если кошелек B за 24 часа не переместил монеты в Смарт-стейкинг).
С каждым последующим днём процент изъятия увеличивается в 2 раза. Это означает, что от суммы на начало каждого нового дня будет вычитаться обновлённый процент изъятия, согласно таблице ниже.
Таблица №1: Дефляционный халвинг.

Таким образом, если кошелёк B не переведёт монеты в Смарт-Стейкинг в течение 8 дней, его баланс обнулится.
Благодаря «Дефляционному халвингу» экономическая модель ДефляцияКоин не только обеспечивает ограниченную эмиссию, но и постоянно сокращает количество монет в обращении. Этот механизм стимулирует участников переводить свои монеты в Смарт-Стейкин.
3.4. Смарт-стейкинг
Эмоции оказывают значительное влияние на биржевых трейдеров. Страх, жадность, эйфория или паника могут искажать восприятие рыночных ситуаций, что приводит к отклонению от предварительно разработанных торговых стратегий и принятию импульсивных решений. В результате трейдеры часто сталкиваются с поведенческими искажениями, такими как «эффект стадного поведения» или «предвзятость подтверждения», что существенно снижает эффективность их действий на рынке.
Из-за деструктивного воздействия эмоций на процесс принятия решений многие институциональные участники финансового рынка, включая хедж-фонды, предпочитают алгоритмическую торговлю. Автоматизация торговых операций повышает точность исполнения сделок и снижает вероятность ошибок, вызванных психоэмоциональными реакциями, делая торговлю более предсказуемой и систематизированной.
На ранних этапах популяризации биткойна было крайне сложно оценить его потенциал. Многие инвесторы приобретали актив по 10 долларов и продавали по 20, радуясь удвоенной прибыли. Однако лишь немногие смогли удержать актив в долгосрочной перспективе и извлечь прибыль в сотни тысяч процентов. Для большинства ключевую роль сыграли эмоции: страх потерь и желание зафиксировать быструю прибыль заставляли их продавать актив слишком рано, упуская огромные возможности для роста. Оглядываясь назад, многие из них стали жертвами когнитивного искажения – ошибки задним числом: стремительный рост биткойна кажется очевидным только постфактум, хотя в моменте его потенциал было крайне сложно предсказать.
Смарт-стейкинг представляет собой усовершенствованную версию классического стейкинга, направленную на минимизацию влияния эмоциональных факторов. Основная идея стейкинга заключается в блокировке средств для поддержки работы блокчейна, где пользователи помогают проверять транзакции и создавать новые блоки. Чем дольше средства остаются заблокированными, тем выше вознаграждение. В отличие от майнинга, требующего больших вычислительных мощностей, стейкинг является более энергоэффективным процессом.
Ключевое отличие смарт-стейкинга от классического стейкинга заключается в исключении влияния человеческого фактора. Он работает как «безэмоциональный механизм» и способствует длительному удержанию позиции. Также смарт-стейкинг представляет собой надёжный источник пассивного дохода, обеспечивающий прирост монет.
Перевод средств в смарт-стейкинг блокирует возможность их продажи до завершения процесса, что предотвращает преждевременные распродажи под влиянием эмоций. В отличие от облигаций, обеспечивающих лишь минимальную доходность, смарт-стейкинг позволяет получить стабильный доход с перспективой значительного роста актива. Это даёт возможность увеличить прибыль в десятки или даже сотни раз, опережая тех, кто преждевременно выходит из позиций под влиянием эмоций.
Знаменитый финансист однажды отметил: «Фондовый рынок – это механизм перераспределения денег от нетерпеливых к терпеливым». Эмпирические данные подтверждают это утверждение. Исследования финансовых компаний, таких как Fidelity, выявили, что наиболее прибыльными в долгосрочной перспективе оказались счета инвесторов, которые не вносили изменений в свои портфели, либо вовсе не имели возможности вмешиваться – в том числе счета умерших клиентов. Статистическая закономерность здесь очевидна: активное управление активами, стремление извлечь выгоду из краткосрочных рыночных движений зачастую ведут к ошибкам и убыткам, тогда как пассивный подход и долгосрочная стратегия позволяют максимизировать прибыль за счёт естественного роста рыночной стоимости активов.
Именно поэтому заморозка инвестиций в смарт-стейкинге ориентирована на долгосрочные временные интервалы – от 1 года до 12 лет. По сравнению со средней продолжительностью человеческой жизни, такие сроки кажутся относительно небольшими, но при этом они являются оптимальными для формирования значительного капитала. Благодаря долгосрочному стейкингу ДефляцияКоин способен конкурировать с пенсионными фондами всего мира, чья эффективность и прозрачность всё чаще подвергаются сомнению в последние столетия. Подробности параметров Смарт-стейкинга представлены в следующей таблице.
Таблица №2: Параметры Смарт-стейкинга.

Механизм «Смарт-дивиденды» с ежемесячными выплатами активируется при стейкинге сроком от 2 лет. Когда кошелёк A вносит монеты в стейкинг на 2 года, его начальный множитель равен х2. Через год этот множитель снижается до х1 и продолжает уменьшаться ежегодно. Тот же принцип применяется и к механизму принятия решений PoD, но при других Х-множителях.
Важно!
– Участники смарт-стейкинга могут в любой момент увеличить Х-множитель для уже внесённых в Смарт-стейкинг монет, продлевая срок их стейкинга.
С момента появления индекса S&P 500 в 1957 году экономические кризисы происходили с интервалом в среднем 8,5 лет. По этой причине доступ к механизму принятия решений PoD предоставляется только тем участникам, которые внесли свои монеты в стейкинг на срок не менее 8 лет. Участник, принимающий решения о развитии проекта, должен понимать, что за время нахождения его доли в стейкинге, он с высокой вероятностью столкнётся с экономическим кризисом. Это важно учитывать, поскольку в периоды макроэкономических потрясений многие компании терпят крах. Как гласит известная биржевая мудрость: «Отлив показывает, кто плавал без трусов». Чем дольше средства участника остаются заблокированными в стейкинге, тем больший вес его токенов при принятии решений. Участник, который рискует больше, имеет большее влияние.
Все экономические кризисы в итоге сопровождались увеличением денежной массы и ростом инфляции. Это происходит потому, что правительства и центральные банки активно используют монетарные и фискальные стимулы для стабилизации экономики. Вводя меры поддержки – от снижения процентных ставок до масштабных программ количественного смягчения и прямых выплат населению, – они добавляют в экономику дополнительные деньги.
Поэтому любые кризисы в разных странах мира станут лишь катализатором роста ДефляцияКоин. Эти события следует рассматривать как возможности для развития.
Таким образом, Смарт-стейкинг имеет следующие преимущества:
– Минимизация влияния эмоционального фактора.
Смарт-стейкинг помогает участникам избегать импульсивных решений, вызванных краткосрочными эмоциональными реакциями. Заблокировав свои средства на определённый срок, инвесторы лишаются возможности продать активы под влиянием паники или эйфории. Это позволяет им оставаться в проекте на долгосрочную перспективу, что значительно увеличивает шансы на получение многократной прибыли (10x, 100x, 1000x). Кроме того, стабилизация поведения отдельных участников оказывает положительное влияние на общий успех проекта, обеспечивая устойчивый рост и снижение риска резких падений цен.
– Возможность получения ежемесячных дивидендов.
(Подробности раскрыты в разделе 3.5)
– Положительное воздействие на маркетинговую стратегию.
Чем дольше инвестор удерживает свои активы в стейкинге, тем больше интереса он проявляет к проекту, что способствует его дальнейшему продвижению. Инвесторы становятся активными участниками информационного распространения – это усиливает эффект сарафанного радио. Важным аспектом является формирование привычки: согласно нейробиологическим исследованиям, для формирования устойчивой привычки требуется от 18 до 254 дней. Таким образом, длительные периоды стейкинга способствуют более глубокой интеграции проекта в жизнь участников, что положительно сказывается на его популярности.
– Положительное воздействие на техническое развитие проекта.
Долгосрочные инвесторы становятся более заинтересованными в развитии проекта, так как их вложения связаны с его будущим успехом. Это не только укрепляет их связь с проектом, но и стимулирует их активное участие в принятии ключевых решений – будь то голосование за изменения в проекте, разработка маркетинговых концепций или выбор новых направлений развития. Такая вовлечённость усиливает техническую поддержку и стратегическое планирование проекта.
– Формирование актива с низкой корреляцией и независимостью от глобальных рынков.
Одной из ключевых проблем большинства активов на биржах является их высокая корреляция, особенно в периоды экономических кризисов. В условиях глобального рыночного стресса большинство активов начинают двигаться в одном направлении, что делает невозможной защиту капитала через диверсификацию. Благодаря смарт-стейкингу ДефляцияКоин является решением этой проблемы: долгосрочная блокировка активов в смарт-стейкинге минимизирует влияние краткосрочных спекуляций и снижает корреляцию с глобальными рынками. В результате ДефляцияКоин остаётся стабильным даже в условиях экономической нестабильности, когда традиционные активы падают одновременно.
История американца, который в 2010 году купил две пиццы за 10 000 биткойнов, служит ярким примером того, как импульсивные решения могут привести к упущению огромных возможностей. На тот момент стоимость биткойнов была всего 41 доллар, но спустя годы эти 10 000 биткойнов могли стоить сотни миллионов долларов. Если бы он использовал механизм смарт-стейкинга, его биткойны были бы заблокированы на долгий срок, что предотвратило бы преждевременную продажу и позволило извлечь многократную прибыль.
Смарт-стейкинг решает одну из главных проблем инвесторов – влияние эмоций на процесс принятия решений. Этот механизм не только предотвращает импульсивные действия, но и создаёт условия для долгосрочного устойчивого роста, максимизируя прибыль за счёт блокировки активов и минимизации спекулятивных рисков. Для инвесторов, ориентированных на стабильные результаты, смарт-стейкинг является надёжным инструментом для достижения долгосрочных финансовых целей.
3.5. Смарт-дивиденды
Основатель Apple был известен своим нежеланием выплачивать дивиденды акционерам Apple. Возможно, для Apple не ценить инвесторов было уместным решением. Однако в ДефляцияКоин инвесторы – ключевой элемент экосистемы. Поэтому у тех, кто внёс свои монеты в смарт-стейкинг от 2 лет, предусмотрены смарт-дивиденды – ежемесячные выплаты стейкерам, которые включают два компонента:
– частичный разлок токенов из личного кошелька;
– дивидендное вознаграждение выплачиваемое из общего пула с учётом X-множителя.
Выплаты производятся ежемесячно на основе следующей формулы:

Параметры формулы:
– W – ежемесячная выплата;
– S – общее количество монет в стейкинге;
– M – первоначально установленное количество месяцев стейкинга;
– D – дивиденды, выплачиваемые из общего пулы с учётом X-множителя.
Перед выплатой дивидендов в течение месяца формируется общий пул из доходов, поступающих из следующих источников:
– Изъятые из кошельков в соответствии с механизмом «Смарт-сжигание».
– «Смарт-комиссии».
– Элементы «Дефляционной экосистемы», такие как «Образовательный гэмблинг» и др.

Итоговое распределение дивидендной доли с учётом X-множителя рассчитывается по следующей формуле:

Параметры формулы:
– D – дивиденды, выплачиваемые участнику смарт-стейкинга. Изначальная формула расчёта:;

– P – доход пула, общая сумма дивидендов, распределяемая между участниками;
– — итоговая доля владения, скорректированная с учётом X-множителя и выраженная в процентах. Формула расчёта:;


– — суммарное значение -показателя всех кошельков;


– — промежуточная переменная доли для конкретного кошелька, скорректированная с учётом X-множителя. Формула расчёта:;


– — X-множитель для конкретного кошелька;

– — доля владения монетами, выраженная в процентах. Формула расчёта:;


– — количество монет на конкретном кошельке;

– S – общая сумма монет всех кошельков, внесённых в смарт-стейкинг.
Важно!
– Выплата смарт-дивидендов не являются обязательной. Если стейкер предпочитает накапливать капитал в долгосрочной перспективе, используя эффект сложного процента, он может не включать функцию ежемесячных выплат и продолжить накопление монет до момента разблокировки средств.
– Согласно формуле, выплачиваемые дивиденды ограничены суммой, накопленной в пуле за месяц. Стейкеры с большим Х-множителем получают большую долю от этой суммы, при этом дополнительная эмиссия отсутствует.
Пример распределения токенов представлен в следующей таблице.
– В качестве дохода пула взято случайное значение P = 130.
– В качестве «Х-множителя» и «количества монет в смарт-стейкинге» взяты случайные значения.
Таблица №3: Пример расчёта «Смарт-дивидендов».

Если участник Смарт-стейкинга активировал механизм «Смарт-дивиденды» не каждый месяц или не активировал его вообще, то после завершения Смарт-стейкинга оставшиеся монеты будут разблокированы согласно принципу «Плавный разлок» (раздел 3.6).
3.6. Плавный разлок
Цена любого актива определяется действиями одного решительного и достаточно мотивированного участника, а не консенсусом множества. Если такой участник может появиться только среди покупателей, а не среди продавцов, цена актива будет неизбежно расти.
Механизм «плавного разлока» является ключевым элементом ценообразования ДефляцияКоин. Благодаря постепенной разблокировке монет из Смарт-стейкинга, сильные продажи исключены, а сильные покупки вероятны.
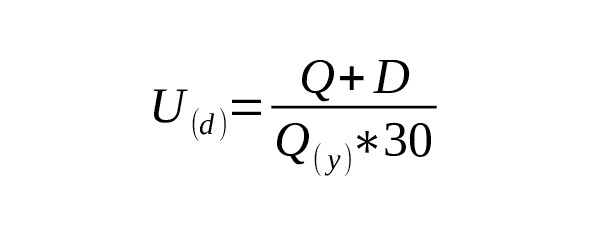
Разблокировка монет после завершения Смарт-стейкинга происходит ежедневно и рассчитывается по следующей формуле:

Параметры формулы:
– — количество разблокированных монет в день;

– — общее количество монет, находящихся в Смарт-стейкинге на момент первого дня разблокировки;

– — невыплаченные накопленные дивиденды за всё время;

– — количество лет, на которое монеты были помещены в Смарт-стейкинг.

Биткойн неоднократно терял в цене более 80%, что ставит под вопрос его позиционирование как надёжного средства сохранения ценности: инвестор в любой момент может столкнуться с существенной потерей капитала.
Резкие падения цен на криптовалютных биржах происходят по принципу домино: срабатывание стоп-ордера у одного участника вызывает падение цены, активируя стоп-ордера у других и запуская цепную реакцию. Высокий уровень левериджа усиливает этот процесс: ликвидация позиций с большими кредитными плечами ведёт к новым продажам, ускоряя обвал актива. Паника одних участников провоцирует панику у других, что приводит к значительному снижению цены.
Механизм «плавного разлока» минимизирует риск массовых продаж, сводя влияние человеческого фактора и негативных эмоций к минимуму. Благодаря этому ДефляцияКоин является более надежным средством сохранения ценности по сравнению с Биткойном, который неоднократно подвергался сильным падениям цены.
Игнорировать риски маловероятных событий недопустимо лишь на основании их низкой вероятности. Подобные события способны оказывать значительное влияние на системы, компании, рынки и даже целые экономики. Без надлежащей защиты от них любой риск-менеджмент остаётся лишь иллюзией контроля. Именно маловероятные риски могут привести к наиболее серьёзным последствиям, и пренебрежение ими означает отсутствие полноценного контроля над рисками в целом.
В случае с биткойном всегда сохраняется вероятность повторения сценария резкого падения, подобного обвалу в период пандемии коронавируса, когда крупные держатели начали массово продавать активы, и цена снизилась более чем на 50%.
Благодаря механизму «Плавный разлок» в ДефляцияКоин подобный сценарий исключён.
3.7. Basket and Pump (BaP)
Механизм «Плавного разлока», описанный в предыдущем разделе, несмотря на свои многочисленные преимущества, имеет также определённые недостатки. Постоянная ежедневная разблокировка монет создает некоторые неудобства для инвесторов, такие как:
– Необходимость ежедневно продавать разблокированные монеты. Это превращает рутинные операции в ежедневные задачи, которые могут быть автоматизированы.
– Трудности при приобретении монет лимитными ордерами. Когда перед инвестором стоит задача сформировать крупную позицию, её набор может потребовать более одного дня. В таком случае, из-за механизма «ежедневного сжигания монет», позицию пришлось бы разделять на несколько частей, внося их в Смарт-стейкинг в разные дни.
Для решения этих проблем был разработан механизм «Basket and Pump» (BaP), который можно сравнить с работой теннисной пушки: корзина собирает мячи, а пушка выстреливает ими. В нашем случае корзина аккумулирует разблокированные или приобретённые монеты, а пушка направляет их либо в Смарт-стейкинг, либо на биржу для автоматизированной продажи. Этот механизм служит инструментом, упрощающим и автоматизирующим рутинные процессы для инвесторов.





