- -
- 100%
- +
***
Но что же там с талебовостью: не окажется ли, что стыкуемся паче воли и чаяний? Если и так, то не только с сим автором, а и – формально – с откровенными… врагами и личными, и истины как таковой. Так бывает: совпадение в частном весьма поверхностно и мало о чем говорит. Ведь и свободные радикалы вольны сталкиваться там, где на орбитальные частицы распространяется, скажем, запрет Паули. Но все подобного рода стечения равно случайны, и вне системы – словно бы хаотичны. Попросту бессмысленно что-либо соотносить вне полноты: просто не выйдет. Однако, таковой несоотносимостью имманентная хаотичность или же случайность (на коей по-видимому настаивает талебовость в критике «платонического заблуждения») отнюдь не утверждается!
Что ж, честности для или нравственной гигиены ради, не откажем в совпадениях там, где оные проглядываются, пусть и мнимо. Это коснется талебовости и как критики внешнего (платонизма), и как утверждения внутреннего (в частности, принципа «штанги»).
Но если в настоящей книге с первым аспектом разделаемся оперативно (подробное рассмотрение представляет тему книги отдельной, а нынешняя – лишь один из мостов, пусть и позднейших, как бы анахроничных или в нарушение благостно-линейной химеры времени, к вящему ужасу анекдотического научного руководителя, привыкшего к контролируемой плановости по обе стороны океана-границ, на Западе и на Востоке), то все же не без последствия для триумфатора: если и против Плато, то равно и супротив его врагов. Contra Platonem contrariosque eius, pro amicitate inimicitateque, de re ultraque.
На самом деле, для автора данного дискурса, речь пойдет о довольно горьком, пусть и отстраненно, опыте. Ведь, ни в малейшей мере не опираясь ни на платоновскую, ни на из оной следующую системы, тем не менее долгое время защищал мужа многоученейшего от досужих нападок, в части инсинуаций, для меня недопустимо пикантных. (Читатель, должно быть, уже убедился, что автор не расположен излишне заигрывать с толерантностью, буде таковая чужда всякой мудрости и сама по себе столь непримирима, что, обращаясь из жертвы в бич и палача, располагает к критике вновь открывшихся неказистостей на месте праздно-напрасно притязаемых красот.) Так вот, если из «Пира», как мнилось мне, едва ли что «этакое» следует (к примеру, изначально и долго казалось, что ссылки на эрос, «эротических дел мастерство» восходили лишь к поиску духовно-интеллектуальной эстетики, в т.ч. красивых форм и формул, а отнюдь не жгучих ощущений и сомнительных грез), то беглое знакомство с Phaedrus расставило больше точек, нежели многоточий. Хоть надежда на лучшее все еще теплится, это уже неважно, каково было изначально: ни на эйдосы (в архаическом варианте с дигаммой – weidoi=«виды»), ни на идеи в смысле идеального или потенциального (разве что в целях редукции к чему-либо привычному уху аудитории) не опирался. Впрочем, мои построения могут местами напоминать «все это» – да и только ли это? – неизменно случайно и ситуативно. Ибо все открыто независимо, совершенно вне приводимых традиций или их инструментария.
Иронично, критикуя соперников купно с их недругами, невольно уподобляемся и тому провербиальному (а на деле реальному и повторяющемуся) троллю, что в одной реплике умудряется явить чудеса невзыскательности (восхваляя какой-нибудь очередной XfakeX на силе «фундаментальных» показателей, призывая игнорировать вес госзакупок и военных контрактов в этом «чисто рыночном» going concern), а вместе – и прагматичной прозорливости пополам с циничным оппортунизмом, блефуя, что давно-де вышел из акций этой компании – доселе или в остальном «замеч/т/ательной».
Сознаемся: мы невольно «союзны» и ему. Как ни попахивай это самооговором, каковым и является. Ибо совпадения с глупостью, поверхностностью, даже низшей наблюдаемостью – доблести ли вершина, смыслу ли супруга? Разве не будет посредственность видеть в гении лишь «странности» (подражательством коим теням тщась снискать репутацию «креативных», прослыть уникальными), в сущности, просто расписываясь в непонимании внутренней цельности и стройности? Этак и Бога зрит врагом (ибо вовсе неисповедим нечистым сердцем), а как вне досягаемости – сойдут и пророки для побивания. Но оставим пока эту глубокую тему до благовремения: еще и для меньшего не «разогрелись».
Вернемся теперь к другому, внутреннему наполнителю талебовости, прежде нами критикуемой, теперь же невольно (или внешне) допускающей подразумеваемое пользование. Причем на тему пользы и пользования речь и пойдет в иллюстративных целях. Ибо ровно накануне – предупреждал ведь не раз: идеи лепятся одна к другой вовремя и неслучайно, так что и не знаешь, когда и какого объема вызреет глава, книга, серия! – смерть замечательного артиста (и очередного единоверца) Петра Мамонова (который и ссылался на Сурожского, зде-союзного формально-инославному Гюго) натолкнула на мысль: а как же содержательно наполнять [оставшуюся] жизнь, не ведая, когда именно оборвется? В чем критерий, путь, операбельное правило в условиях априорного цейтнота, совершеннейшей неопределенности? Причем, в отличие от кризиса, пусть усугубленного пандемией, речь ведь об асимметрии стрелы времени неотвратимой и необратимой. Придя к Богу лет 45и от роду и преставившись в 70, он успел более меня – особенно в деле проповеди внесловесной. Как же?
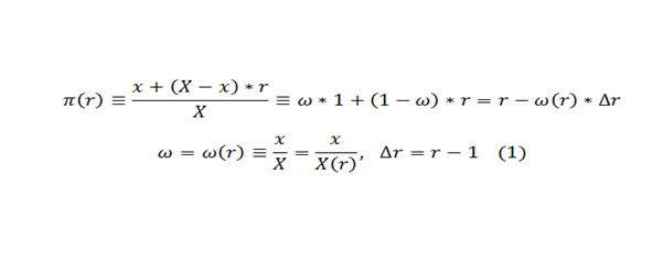
Не иначе, речь идет о том, чтоб наполнить заведомо неизвестный количественный остаток жизни – этот мост резидуальности меж двумя критическими пунктами, началом и исходом или отъятием от сей юдоли скорби и радости, учений и боя – неким качеством, скоростью, модусом. Опираясь на ранее введенные квази-портфельные обозначения, (х, Х) -распределение (соотв. меж временем прихода к Главному и уходом из жизни, исчерпанием возможностей) и составит резидуаль, с r-левериджем (рычагом возможности) и составляющим качество (от англ. rate=«скорость, условия размена, ставка»). Притом так, чтоб не слишком сократить прежде мудрого благовремения остаток дистанции, которая где-то зависит от выбранного темпа. Итак, в сущности речь идет об оптимизации скорости, или удельного качества проживания отведенного (талантов: времени, сил, ресурсов, сравнительных и относительных преимуществ, возможностей). Причем оптимизируемое неожиданно предстает портфельной взвесью как «эффективной»/результирующей скоростью:

Сет 1
Надо заметить, что, прежде оптимизации, (1) целесообразно оговорить в аспектах, дарующих вместе с исчерпанностью в основном еще и простоту в конце. Так, при ближайшем рассмотрении естественно предположить, что выбранный темп или качество не только верхнюю грань двигает (влияет на Х), но, возможно, и х как время наступления определил прежде. Чем выше темп, тем ниже х (время прихода к Главному – Богу ли или отдельным откровениям, просветлению и пр.); но тем, скорее всего, меньше и Х в силу измотанности спринтера (в частности, мученика, чей подвиг короче даже исповедничья креста) в сравнении со стайером. Не исключено, что разность, или резидуаль меж началом и концом, при этом останется инвариантом к темпу (при некоторых сужениях – функциональных спецификациях или параметризациях следования пути), или же их частное (соотношение) предстанет таковым при некоторых же структурных представлениях. Забегая наперед, нам удастся показать, что ровно те же экспоненциальные сглаживания, или распределения, что были предложены в предыдущей книге для исследования рынка людского капитала и MRTP (условия мены, что оказались и ключевой эффективной переменной в том же и похожем контекстах вроде масштаба выбора и размера выборки), окажутся простейшими иллюстрациями данных сценариев – как и альтернатив им, при малейшей параметрической несхожести, невзирая на структурную идентичность, или принадлежность к единому семейству процессов-путей.
Но разве реальная жизнь не сопряжена с ограничениями, вроде тех же экзогенных шансов и не вполне дискреционных ресурсов-возможностей? Итак, здесь не удастся избежать оптимизации ограниченной – да и надобности нет: как явствует из дальнейшего, структурная простота нам только на руку как подспорье рациональности всех модальностей. (Ссылаясь доверительным авансом на литературу, обсуждение коей последует ниже, от «эпистемической» до «инструментной»/инструментальной, как ни велика опасность недискриминатной конфляции терминов: ведь «инструмент» нередко и отсылает к заменам, подменам, конструктам и попросту более наблюдаемым и тестируемым следствиям, как и «костылям» рациональности, этим – подобно моделям и метафорам в естественных и общественных науках, заменяющих сквозную интуицию обманками-допущениями «as if» – ложным друзьям).
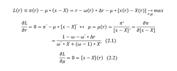
Но занятно то, что как таковой, рутинно-количественный «штраф» в виде конвенционального мю (Лагранж-фактора или мультипликатора) почти лишен смысла ввиду (в меру) ранее оговоренной необратимости, непревышаемости Х чем-либо вроде меньшего х. Впрочем, остается лелеять надежду и здесь обрести простоту, ясность понимания на полноте представления: искомую концепцию качественного размена, где мю, возможно, либо сверхвелико по модулю в критических точках ближе к нижней, нерасторгуемой грани, либо извлекаемо структурно вообще и инуде как этакое функциональное, диофантово решение. Зададим для начала полный лагранжиан и выведем из него условия первого порядка:

Сет 2.1—2.2
Из самого дизайна пи-оператора (полноты-простоты, как перцептивно-волюнтаристичной альтернативы избитому ожиданию), определяемому как эффективная скорость или качество в плавающе-открытом диапазоне меж 1 и r, как и строения 2.1, следует формально-апостериорное переопределение мю-цены как «мягкой» (слабой, опосредованной) зависимости «характера бытия», «темпа проживания» от им же определяемого остатка такового (и, симметрично, наоборот).
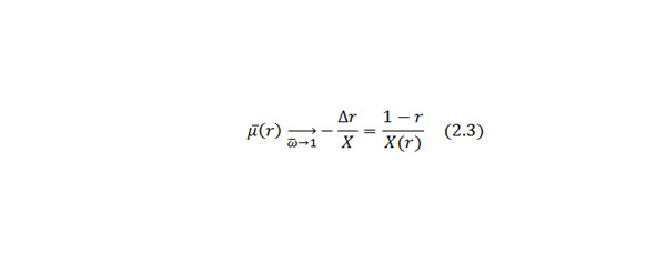
Из (2.2) может создаться впечатление, будто основной омега-вес фиксирован как единичный, или 100%, причем независимо от темпа или инвариантно к чему-либо еще и вовсе необязательно в смысле неизменяемости оптимального по определению. (Так сказать, stay-put как синоним равновесности, пусть порой и субоптимальной либо вовсе «скверной», динамическим аналогом и механизмом чего выступает adverse selection – превратный отбор). Обсудим соответствующую сценарность вскоре; покуда же удовольствуемся тем, что мю-мена впрямь обрела структурно-функциональное решение, которое удобно исследовать далее, в частности посредством сужений к конкретным значениям – что аргументов, что самого функционала. Впрочем, отчего бы не испробовать, как одну из сужений-спецификаций, случай сингулярного веса (когда смешанная стратегия вырождается до сильных предпочтений, стратегии «чистой») на месте?

Сет 2.3
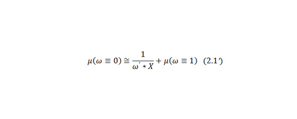
Отсюда со всей очевидностью проистекает сценарность и крайняя (corner cases), и интерьерная (interior, core). К примеру, при r максимальном (не обязательно бесконечном – вполне достаточно разумно понимаемой конвенции перехода/mapping), Х минимальна, так что результанта-дробь мены стремится к максимуму. И наоборот, минимальный темп (условно – вблизи единицы, хотя технически возможны и варианты произвольно ниже нуля) возвращает максимально долгое, но столь же тревожно-фаталистичное проживание, влачение беззатратное и почти бесплодное (соответствующая близкая к нулю «цена вопроса» почти служит коррелятом бессмыслия, или ада, пусть и предстающего в глазах иных этаким райком гедонизма анти-сублимативного). Формально это именуется в оптимизации иррелевантностью ограничений, когда – апостериорно – поиск вроде как неограниченный, и столь же невостребованный. Кстати, из (2.1) явствует, что примерно тот же уровень размена может иметь место для противоположного полюса, при Х достаточно великом либо близком к оптимальному (так что и варьирование менее актуально), – а может и вовсе остаться формально тем же (близким к бесконечному) даже при иной, резидуальной структуре, особенно в случае неизменяемого омега-веса (помимо инвариантности к таковому предыдущих результатов):

Сет 2.1*
Уже одним этим иллюстрирована опасность «штанги» в смысле чисто арбитрарной, неразличимо или безразлично экзогенной или же изнутренней (sua sponte) концепции выбора распределения пути, что вполне соседствует с подобным определением природы предпочтений – столь же безотчетных (подобно генезису гипотез в позитивизме), сколь и манипулируемым. В отличие от парадигмы волевой же и содержательно-контролируемой, – согласно коей [резидуально] имеет место отклик на мудрое различение меж экзогенным и эндогенным, с чаяньем плода в свое время, заранее никак не определяемое и на мелкие инкременты не членимое, – талебовость почти наверняка и мгновенно подводит к недопустимо высокой цене вопроса. Опять же, вполне в духе высоких ставок, связанных со сверхзначительными событиями, которые отчасти сама
Конец ознакомительного фрагмента.
Текст предоставлен ООО «ЛитРес».
Прочитайте эту книгу целиком, купив полную легальную версию на ЛитРес.
Безопасно оплатить книгу можно банковской картой Visa, MasterCard, Maestro, со счета мобильного телефона, с платежного терминала, в салоне МТС или Связной, через PayPal, WebMoney, Яндекс.Деньги, QIWI Кошелек, бонусными картами или другим удобным Вам способом.



