Погода – Климат – Человек

- -
- 100%
- +

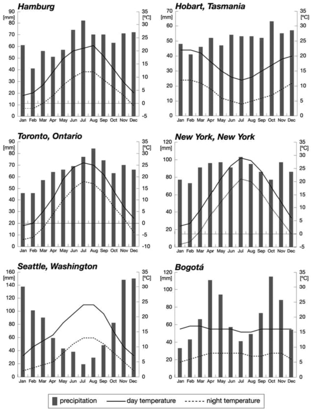
Рис. 2. Осадки, дневные и ночные температуры, зафиксированные на отдельных метеостанциях
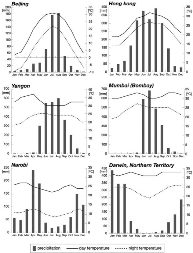
В умеренных климатических зонах северного и южного полушария четыре времени года прослеживаются более или менее отчетливо. Для тропических зон или для регионов вблизи полярных кругов это деление уже не действует, так как динамика температур в этих областях выглядит иначе. В тропиках, где осадки имеют гораздо бóльшее значение, чем температура, во многих областях вместо «годового цикла» с годовым минимумом или максимумом существует «полугодовой цикл» с двумя годовыми минимумами и максимумами. Это связано с тем, что там дважды в год солнечные лучи падают на Землю под прямым углом. Примером таких регионов могут служить Мумбаи в Индии, Рангун в Мьянме или Дарвин в Австралии.
На графиках 2 и 3 отображено среднее количество осадков, которое также может сильно варьироваться от станции к станции. Для регионов с муссонным климатом, в частности для Мумбаи, характерно чередование двух сезонов – сухого и влажного. В других регионах, например, в Гамбурге, Хобарте или Нью-Йорке, наблюдается умеренное количество осадков. Бимодальное распределение с двумя минимумами и двумя максимумами прослеживается на диаграммах Найроби в Восточной Африке и Боготы.
Таким образом, времена года в значении универсального климатического ориентира были изобретены людьми, населяющими умеренные климатические зоны. В повседневной жизни смена времен года многими воспринимается положительно. Те, кто родился в зоне умеренного климата, а проживает в другой климатической зоне, где нет четко выраженных времен года, считает их отсутствие едва ли не недостатком своей новой окружающей среды.
Утвердившийся в конце прошлого столетия научный подход к климату стал причиной того, что субъективные, неопределенные классификации климатических условий, выраженные, например, в таких фразах, как «Зимой в нашем регионе суровый климат» или объективными инструментальными наблюдениями. Одним из первых примеров методологически обоснованной техники и процедуры измерения можно считать результаты, полученные вышеупомянутым обществом «Societas Meteorologica Palatina»1 в 1775 году в период Рождественских праздников в различных городах Европы.

Рис. 3. Осадки, дневные и ночные температуры, зафиксированные на отдельных метеостанциях
С тех пор как климатология достигла такого уровня, что может выразить категорию климата в количественных показателях, приходится решать вопрос о том, что из огромного количества данных имеет информативную ценность для общества и науки. Другими словами, необходимо ограничивать число возможных наблюдений такими переменными, которые могут быть измерены надежными методами, обладают практической ценностью и репрезентативны для той или иной области и временного промежутка.
Наряду с важнейшими (био-) климатическими переменными, такими как (приземная) температура и осадки, ведутся регулярные наблюдения влажности, ветра, облачности, продолжительности солнечного сияния. Еще одна климатическая переменная, наблюдаемая уже не метеорологическими, а гидрографическими службами, – это уровень воды у побережий океанов, внутренних морей и рек.
Научное изучение климата легло в основу надежного описания климатических переменных и привело к применению в этой области языка цифр. Начались поиски методов, которые бы позволили измерить климатические переменные таким образом, чтобы полученные числовые данные были, с одной стороны, воспроизводимыми для того или иного региона, а с другой стороны, сопоставимыми с другими регионами.
Эта задача сложнее, чем кажется на первый взгляд. Так, например, среднее значение дневной температуры может меняться просто потому, что измерения проводились не в 6.00, 12.00, 18.00 и 24.00, а в 7.00, 13.00, 19.00 и 1.00. По приблизительным расчетам, проведенным в начале 1940-х годов, температура поверхностных вод в океане понизилась почти на полградуса, но связано это с тем, что в эти годы для измерения температуры поверхностных вод использовали не ту воду, которую черпали за бортом судна, а охлаждающую воду в моторном отсеке.
История метеорологии и океанографии пестрит подобными случаями «неоднородности» результатов наблюдения. Нередко статьи, привлекающие внимание общественности, отражают изменения не в самой климатической системе, а лишь в способе сбора и обработки данных. Использование информации из Интернета лишь усугубляет эту проблему.

Рис. 4. Динамика изменения давления в декабре 1775 г. в Лондоне, Регенсбурге и Санкт-Петербурге по результатам измерений Societas Meteorologica Palatina (Источник: Lüdicke 1997).
Ниже мы приводим некоторые примеры подобной «неоднородности» климатологических данных, отражающих несуществующие тенденции. Их появление связано не с изменением климатических условий, а с введением новых техник наблюдения и другими изменениями в окружающей среде.
В первом примере речь идет о наблюдении сильных ветров в Гамбурге. Результаты наблюдений представлены в виде средних значений за десять лет, обобщающих количество дней с силой ветра в 7 баллов и более в каждый год (рис. 5). Согласно графику, в период с 1951 по 1960 год частота сильных ветров резко сократилась: с 90 до 10 сильных ветров в год. Этот спад, однако, никак не связан с изменениями в климате, а объясняется изменением процедуры наблюдения, а точнее, перемещением пункта наблюдения из морской метеорологической службы в Санкт-Паули в аэропорт Фульсбюттель. Следует отметить, что эти наблюдения верны, но они явно не репрезентативны в отношении ветрового климата Гамбурга. Представленные на рисунке 5 данные в такой форме не могут быть использованы для того, чтобы ответить на стандартные климатологические вопросы: «Насколько высок риск сильного ветра в Гамбурге?» или «Меняется ли частота сильного ветра в Гамбурге?»

Рис. 5. Средний показатель годовой частоты сильного ветра (сила ветра более 7 баллов) в Гамбурге за 10 лет. Резкое снижение частоты в районе 1950 года вызвано сменой места проведения наблюдений, т. е. данные не репрезентативны для Гамбурга.
Второй, похожий пример связан с наблюдениями торнадо в Соединенных Штатах Америки (см. рис. 6). До 1870 года сообщения о торнадо появлялись лишь время от времени и обычно носили характер занимательных историй. Лишь впоследствии служба связи американской армии начала систематический сбор сообщений о торнадо. Правда, в тот момент эти меры пришлись не ко времени с политической точки зрения, так как эти страшные природные явления могли отпугнуть переселенцев. По этой причине в конце 1880-х гг. наблюдалась тенденция занижать уровень опасности торнадо, но через несколько лет такой подход снова был откорректирован.
Третий пример – это так называемый «эффект города». Уже давно известно, что температура в городах выше, чем за пределами городской застройки. В городах воздух охлаждается медленнее, чем в сельской местности, так как в городе меньше участков с открытой почвой и, соответственно, меньше испарений1. В Центральной Европе эта разница может превышать 1 градус. Проследим данный эффект на рисунке 7, на котором отображены температурные ряды для двух соседних населенных пунктов в канадской провинции Квебек. Метеорологическая станция «Шербрук» фиксирует климатические условия постоянно растущего города Шербрука, тогда как станция «Шоиниган» отображает климат сельского региона вокруг местечка Шоиниган. В 1966 году станция «Шербрук» переместилась из центра города в расположенный за его пределами аэропорт. Очевидно, именно после этого произошло резкое изменение в измерениях, схожее с тем, которое мы наблюдали в связи с ветровым климатом Гамбурга: станция Шербрук перестала быть репрезентативной для территории города Шербрука и тем более для его пригородов. В городе, за исключением резкого понижения температуры в 1966 году, мы видим постоянное потепление, в отличие от сельской метеостанции. Таким образом, метеостанция «Шербрук» тоже не пригодна для климатологических исследований, поскольку отражает климатические условия исключительно того места, где проводятся измерения. Их результаты не могут быть использованы ни для планирования сельскохозяйственных работ, ни для обоснованной оценки того, в какой мере актуальные колебания климата свидетельствуют о систематических изменениях климатических условий. Одним из следствий систематического потепления в черте города является то, что наблюдения за температурой на городских станциях не могут использоваться для определения средних значений для региона и тем более для всего земного шара. Поскольку ранние метеонаблюдения (самые первые из которых относятся к XVII веку, в частности, наблюдения в Болонье) проводились в основном в городах, климатология, реконструируя климатические колебания в прошлом, вынуждена отказываться от важного материала, что весьма досадно, так как оценить нынешнее потепление можно лишь сравнив его с прежними тенденциями потепления, обусловленными естественными процессами. Для этого необходимы данные, фиксирующие температурные ряды для максимально продолжительного периода в прошлом, когда еще не было повышенной концентрации парникового газа.

Рис 6. Частота зафиксированных в США торнадо.
Источник: Harold Brooks
Наконец, последний пример отсылает нас к широко известному анализу ущерба от ураганов. Он содержится, в частности, в третьем докладе Межправительственной группы экспертов по изменению климата (МГЭИК). Активисты, призывающие к принятию государственных мер по ограничению выброса парниковых газов, охотно используют его в качестве аргумента1.
На рисунке 8 показан ущерб, причиненный ураганами, имевшими место на протяжении всего побережья на территории США с 1900 года. Размер ущерба выражен в долларах, за базисный период взят 2005 год. На графике можно совершенно четко проследить увеличение размера ущерба, причем пик приходится на 2005 год, когда на Нью-Орлеан обрушился ураган Катрина. Этот пример мы приводим для того, чтобы соотнести рост общей суммы ущерба с повышением температуры поверхностных вод в Мексиканском заливе, которое, к тому же, является одной из причин глобального потепления.

Рис. 7. Среднегодовые значения дневного минимума околоземных температур для двух соседних метеостанций в Шербруке и Шоунигане в канадской провинции Квебек. Шербрукская метеостанция до 1966 года находилась в центре города, а затем была перенесена за городскую черту, на территорию аэропорта. Станция в Шоунигане на протяжении всего рассматриваемого периода находилась в одном и том же месте в сельской местности.
Источник: Storch, Zwiers, 1998.
Цифры на рисунке 8 – это абсолютно точные цифры, полученные от страховых компаний. В этом случае интерпретация имеющихся данных затруднена по двум причинам. Первая, менее важная, связана с тем, что ураганная активность колеблется от десятилетия к десятилетию. Другая, более важная причина заключается в том, что использование прибрежных регионов, на которые обрушиваются ураганы, кардинально изменилось. В прибрежных регионах проживает гораздо больше людей. Это, в свою очередь, означает, что риску разрушения подвергается гораздо большее количество ценных объектов и владений. Если учесть этот факт при анализе и допустить, что динамика ураганов в США оставалась неизменной с 1900 года, но при этом в отношении ценности разрушаемого имущества на протяжении всего столетия сохранялась ситуация 2005 года, то мы придем к совершенно иным результатам, как это можно видеть на рисунке 9.
На протяжении всего прошлого столетия наблюдались значительные колебания, и отдельные ураганы наносили огромный ущерб. Самый большой однократный ущерб был нанесен, по-видимому, ураганом в Майами в 1926 году (тогда это был еще маленький тихий городок). Ураган Катрина стоил американцам 81 млрд долларов, в то время как ураган 1926 года мог бы причинить Майами ущерб приблизительно в 130 млрд долларов, если бы Майами тогда был таким крупным городом, каким он является сейчас.

Рис. 8. Суммарный годовой ущерб от ураганов на побережье США в период с 1900 по 2005 год.
Источник: Pielke et al., op. cit.
Исходя из графиков 8 и 9, можно нарисовать две разные картины. Рисунок 8 сообщает нам о том, что ущерб от последнего урагана достиг беспрецедентного размера и что это изменение объясняется беспрецедентным уровнем ураганной активности. В этом случае в последующие годы и десятилетия можно было бы ожидать ее дальнейшего роста. Рисунок 9 говорит нам, с одной стороны, о том, что с 1992 года ураганы наносили значительный материальный ущерб, однако его масштабы сопоставимы с ущербом от предыдущих ураганов. С другой стороны, этот рисунок показывает нам, что данных за 50 лет недостаточно для того, чтобы оценить все возможные последствия.
Добиться временнóй репрезентативности сложно, так как на любой хронологической шкале наблюдаются колебания по всем основным климатическим переменным. Инструментарий с высоким временным разрешением показывает, что скорость ветра или температура меняются на шкале времени с секундным делением точно так же, как на шкалах с делением на недели, годы или десятилетия. Очевидно, необходимо определить такие числовые показатели, которые бы описывали, в каком интервале колебаний обычно варьируются изменения и с какой вероятностью встречаются крайние значения. Только на основании подобных измерений данном случае речь идет об изменениях, вызванных человеческой деятельностью1.

Рис. 9. То же, что и на рисунке 8, с тем лишь изменением, что в отношении численности населения, благосостояния и ценности владений жителей американского побережья взяты данные за 2005 год.
Источник: Pielke et al. [2005]1а.
В этой ситуации имеет смысл обратиться к статистической терминологии. Мы исходим из того, что климат действительно варьируется на всех временных шкалах1, но после аппроксимации эти колебания могут рассматриваться как случайные, если не принимать во внимание упомянутые выше регулярные годовые или дневные циклы. Если говорить точнее, мы рассматриваем отклонения от средних значений годового или суточного хода – так называемые математическую абстракцию, с помощью которой мы можем описать кажущуюся нерегулярность. В ходе погоды и климатическом режиме не бывает случайностей в строгом смысле этого слова2. Однако их динамика складывается из многих «нелинейных» процессов, которые могут порождать крайне изменчивые структуры. Наложение этих многочисленных «хаотичных» и «нехаотичных» процессов друг на друга получается настолько сложным, что становится невозможным в полной мере учесть отдельные процессы, и общий ход уже сложно отличить от статистических колебаний.
Теперь мы совершим небольшой экскурс в статистику.
Под случайным процессом мы будем понимать процесс, порождающий числовые ряды, значения которых соответствуют случайному распределению. Наиболее известным является гауссово распределение. Оно сообщает нам, с какой вероятностью переменная принимает то или иное возможное значение. Такие распределения можно описать при помощи нескольких характерных величин – среднего и среднеквадратического отклонения.
Среднее значение есть арифметическое среднее всех наблюдений, т. е. в большинстве случаев половина всех полученных в ходе наблюдений результатов ниже среднего, а другая половина – выше1. Годовой и суточный ход на рисунке 1 представляет собой как раз среднюю величину (рассчитанную для каждого календарного месяца / каждого часа в отдельности).
Среднеквадратическое отклонение или его квадрат (дисперсия) показывает меру разброса случайных величин. В двух третях всех случайных выборов мы попадаем в интервал «среднее значение ± среднеквадратическое отклонение», а в одной трети случайных выборов мы получаем значения больше или меньше, чем «среднее значение ± среднеквадратическое отклонение». Частота подобных существенных отклонений от среднего значения измеряется с помощью перцентилей. Перцентиль 90% больше, чем 90% всех наблюдений, перцентиль 10% меньше, чем 10% всех наблюдений. Если в нашем числовом ряду речь идет о максимальной скорости ветра в течение года, то перцентиль 99% описывает максимальную скорость ветра, которая была превышена в среднем один раз в сто лет.
Случайность не означает, что следующие друг за другом числовые показатели абсолютно не зависят друг от друга. Скорее, здесь – именно в климатологическом контексте – мы наблюдаем такую ситуацию, когда значение климатической переменной в какой-то момент времени частично определяется предшествующим моментом времени: «Завтра погода будет в сущности такой же, как сегодня». Отсюда следует, что значение переменной в послеследующий момент времени все еще будет частично детерминировано настоящим значением, однако чем дальше мы продвигаемся по шкале, тем меньше будет эта детерминированность. Так что значение, которое переменная примет через большой промежуток времени, не будет иметь ничего общего с нынешним значением. Отсутствие связи между ними можно понимать таким образом, что, случайным образом изменив последовательность ряда, мы никак не изменим характер этого ряда. Последовательную детерминацию можно понимать как память случайного процесса.
На практике мы не встретим ни распределений, ни памяти в этом смысле. Поэтому характерные величины приходится выводить из наблюдений. И тогда встает вопрос: сколько нужно провести наблюдений, чтобы полученные результаты имели смысл? Если мы будем наблюдать за температурой в течение двадцати лет и рассчитаем среднее значение для первых и последних десяти лет, то эти средние значения будут различаться. Чтобы результаты были репрезентативными, разница не должна быть слишком большой.

Рис. 10. Распределение тайфунов в Восточной Азии в 1994 (сравнительно большое количество тайфунов – 36) и в 1998 году (очень небольшое количество тайфунов – 16).
Цвета отображают различную силу тайфунов.
Источник: http://agora.ex.nii.ac.jp/digital-typhoon.
Так как в отношении климатических условий нет точных или «очевидных» временных границ для определения статистических показателей, приходится полагаться на некие конвенции или стандарты, задающие эти границы. В метеорологии существует стандартный интервал в 30 лет. На Международной метеорологической конференции, проходившей в 1957 году в Вашингтоне, был подтвержден этот временнóй норматив, принятый еще в 1935 году на аналогичной научной конференции в Варшаве. За «климатический эталон» был взят период с 1931 по 1960 год (до этого – с 1901 по 1930 год). Таким образом, наблюдения, результаты которых впоследствии усредняются, подчиняются четкому стандарту, обязательному для всех метеорологических служб. Нормой считается среднее значение именно за 30, а не за 20 или 15 лет. Впрочем, в научных климатологических исследованиях этот стандарт уже не играет никакой роли, с тех пор как стало ясно, что климат существенно варьируется и на шкале, охватывающей 30 лет и более.
Теперь мы можем рассчитать характерные величины для различных климатических переменных и различных мест наблюдения, а затем, перенеся соответствующие значения на соответствующие территории, представить ученым и широкой общественности информацию о климате в форме карт.
На рисунке 10 мы видим две карты, на которых показана траектория и интенсивность восточноазиатских тайфунов в 1993 (максимальное число тайфунов) и 1998 году (минимальное число тайфунов). Над северной частью Тихого океана образуются циклоны. Большинство из них затем движутся на запад, к азиатскому побережью. Очевидно, что количество тайфунов сильно варьируется в зависимости от года.

Рис. 11. схема двухсекундных максимальных порывов ветра со средней частотой 1 раз в 50 лет (информация используется с любезного разрешения Германской метеорологической службы и лично господина Х. Шмидта)
Вторая карта посвящена сильным ветрам в Северной Германии. На ней отображена максимальная скорость ветра (фиксируемая в течение не менее двух секунд), превышение которой фиксировалось не чаще одного раза в 50 лет (рисунок 11). Согласно этой карте, непосредственно на береговой линии можно ожидать скорости ветра 50 м/с, тогда как максимальная скорость ветра в глубине материка равна 38 м/с и достигается раз в 50 лет.
Эта информация в качестве данных о внешних детерминирующих факторах включается в исследования, экспертные оценки и заключения о социальных, экономических и политических процессах, относительно которых известно наверняка или предполагается, что они могут быть подвержены влиянию климатических условий. Это целый спектр вопросов (мы приведем для примера лишь несколько), как правило, касающихся прикладных исследований антропоцентристского характера.
1) Возможные влияния климатических условий на жизнь отдельных людей, их самочувствие и здоровье. К этому аспекту мы еще вернемся.
2) Важное место в этом списке занимает предотвращение опасности, связанной с экстремальными метеорологическими явлениями. Типичный случай – опасность наводнений на морском побережье или на берегах рек. Статистические данные о количестве осадков и силе ветра – это главные показатели, позволяющие оценить или измерить уровень потенциальной опасности и на этом основании, например, рассчитать высоту дамбы. Оползание склона или сель тоже входят в группу климатически детерминированных опасностей, так как хотя они в целом и не поддаются прогнозированию (так же, как извержения вулкана), однако между их частотой и статистикой осадков прослеживается четкая связь.
3) Статистические данные о климате и особенно об экстремальных значениях его переменных крайне важны не только для человека и общества, но и для мира растений. Климатические ограничения возможностей сельского хозяйства зачастую определяются не столько средней температурой летом и зимой, сколько минимальным значением температуры или первыми и последними заморозками в данной местности. Если температура резко падает хотя бы однажды, то, как правило, потом уже для растений не так важно, будет ли это значение температуры повторяться через равные промежутки времени или, несмотря на данный экстремум, оставшийся период в сообщениях всех метеослужб будет фигурировать как «нормальный». (Во Флориде, например, решающими являются заморозки или их отсутствие, так как именно заморозки губят урожай цитрусовых). В других случаях температурные экстремумы в целом не имеют большого значения: так, например, время цветения подснежников зависит главным образом от средней температуры в январе и феврале.
4) Другой важной сферой применения статистической информации о климате является оценка актуальных процессов и явлений и возможность понять, объясняются ли они аномальными климатическими условиями или какими-то другими, не климатическими процессами. Сюда относится, например, вопрос о причинах цветения водорослей, которое могло быть вызвано эвтрофированием Северного моря, или о «гибели лесов».
Тщательный учет бесчисленного множества климатических наблюдений, которые на протяжении вот уже 100 лет ведутся на торговых судах и результаты которых в обобщенном и переработанном виде представлены в знаменитых базах данных, таких как COADS (Comrehensive Ocean-Atmosphere Data Set), также является источником важной рабочей информации для современных фундаментальных исследований климата. Здесь следует упомянуть исследования удаленного воздействия климатических аномалий, прежде всего в связи с феноменом Южного колебания – Эль-Ниньо (ENSO), описанным еще в конце XIX века шведским ученым Гильдебрандсоном. Другая масштабная климатическая аномалия – Североатлантическое колебание – представляет собой противоположные по фазе колебания атмосферного давления и температуры в северном Атлантическом океане. Если температура в Гренландии выше нормы, то в Северной Европе в это время температура, как правило, понижается, и наоборот. С этим связаны и колебания атмосферного давления: если на территории Исландии давление повышенное, то над Азорскими островами – пониженное, и наоборот. Этот механизм, безусловно, имеет большое значение для европейского климата. Впервые он был описан датским миссионером Гансом Эгеде (1668–1758) в книге «Dagbog holden i Grönland i Aarene» (1770–1778).





