Fermat’s Last Theorem

- -
- 100%
- +
It was the most important mathematics lecture of the century. Two hundred mathematicians were transfixed. Only a quarter of them fully understood the dense mixture of Greek symbols and algebra that covered the blackboard. The rest were there merely to witness what they hoped would be a truly historic occasion.
The rumours had started the previous day. Electronic mail over the Internet had hinted that the lecture would culminate in a solution to Fermat’s Last Theorem, the world’s most famous mathematical problem. Such gossip was not uncommon. The subject of Fermat’s Last Theorem would often crop up over tea, and mathematicians would speculate as to who might be doing what. Sometimes mathematical mutterings in the senior common room would turn the speculation into rumours of a breakthrough, but nothing had ever materialised.
This time the rumour was different. One Cambridge research student was so convinced that it was true that he dashed to the bookies to bet £10 that Fermat’s Last Theorem would be solved within the week. However, the bookie smelt a rat and refused to accept his wager. This was the fifth student to have approached him that day, all of them asking to place the identical bet. Fermat’s Last Theorem had baffled the greatest minds on the planet for over three centuries, but now even bookmakers were beginning to suspect that it was on the verge of being proved.
The three blackboards became filled with calculations and the lecturer paused. The first board was erased and the algebra continued. Each line of mathematics appeared to be one tiny step closer to the solution, but after thirty minutes the lecturer had still not announced the proof. The professors crammed into the front rows waited eagerly for the conclusion. The students standing at the back looked to their seniors for hints of what the conclusion might be. Were they watching a complete proof to Fermat’s Last Theorem, or was the lecturer merely outlining an incomplete and anticlimactic argument?
The lecturer was Andrew Wiles, a reserved Englishman who had emigrated to America in the 1980s and taken up a professorship at Princeton University where he had earned a reputation as one of the most talented mathematicians of his generation. However, in recent years he had almost vanished from the annual round of conferences and seminars, and colleagues had begun to assume that Wiles was finished. It is not unusual for brilliant young minds to burn out, a point noted by the mathematician Alfred Adler: ‘The mathematical life of a mathematician is short. Work rarely improves after the age of twenty-five or thirty. If little has been accomplished by then, little will ever be accomplished.’
‘Young men should prove theorems, old men should write books,’ observed G.H. Hardy in his book A Mathematician’s Apology. ‘No mathematician should ever forget that mathematics, more than any other art or science, is a young man’s game. To take a simple illustration, the average age of election to the Royal Society is lowest in mathematics.’ His own most brilliant student Srinivasa Ramanujan was elected a Fellow of the Royal Society at the age of just thirty-one, having made a series of outstanding breakthroughs during his youth. Despite having received very little formal education in his home village of Kumbakonam in South India, Ramanujan was able to create theorems and solutions which had evaded mathematicians in the West. In mathematics the experience that comes with age seems less important than the intuition and daring of youth. When he posted his results to Hardy, the Cambridge professor was so impressed that he invited him to abandon his job as a lowly clerk in South India and attend Trinity College, where he could interact with some of the world’s foremost number theorists. Sadly the harsh East Anglian winters were too much for Ramanujan who contracted tuberculosis and died at the age of thirty-three.
Other mathematicians have had equally brilliant but short careers. The nineteenth-century Norwegian Niels Henrik Abel made his greatest contribution to mathematics at the age of nineteen and died in poverty, just eight years later, also of tuberculosis. Charles Hermite said of him, ‘He has left mathematicians something to keep them busy for five hundred years’, and it is certainly true that Abel’s discoveries still have a profound influence on today’s number theorists. Abel’s equally gifted contemporary Evariste Galois also made his breakthroughs while still a teenager and then died aged just twenty-one.
These examples are not intended to show that mathematicians die prematurely and tragically but rather that their most profound ideas are generally conceived while they are young, and as Hardy once said, ‘I do not know an instance of a major mathematical advance initiated by a man past fifty.’ Middle-aged mathematicians often fade into the background and occupy their remaining years teaching or administrating rather than researching. In the case of Andrew Wiles nothing could be further from the truth. Although he had reached the grand old age of forty he had spent the last seven years working in complete secrecy, attempting to solve the single greatest problem in mathematics. While others suspected he had dried up, Wiles was making fantastic progress, inventing new techniques and tools which he was now ready to reveal. His decision to work in absolute isolation was a high-risk strategy and one which was unheard of in the world of mathematics.
Without inventions to patent, the mathematics department of any university is the least secretive of all. The community prides itself in an open and free exchange of ideas and tea-time breaks have evolved into daily rituals during which concepts are shared and explored over biscuits and Earl Grey. As a result it is increasingly common to find papers being published by co-authors or teams of mathematicians and consequently the glory is shared out equally. However, if Professor Wiles had genuinely discovered a complete and accurate proof of Fermat’s Last Theorem, then the most wanted prize in mathematics was his and his alone. The price he had to pay for his secrecy was that he had not previously discussed or tested any of his ideas with the mathematics community and therefore there was a significant chance that he had made some fundamental error.
Ideally Wiles had wanted to spend more time going over his work to allow him to check fully his final manuscript. Then the unique opportunity arose to announce his discovery at the Isaac Newton Institute in Cambridge and he abandoned caution. The sole aim of the institute’s existence is to bring together the world’s greatest intellects for a few weeks in order to hold seminars on a cutting-edge research topic of their choice. Situated on the outskirts of the university, away from students and other distractions, the building is especially designed to encourage the academics to concentrate on collaboration and brainstorming. There are no dead-end corridors in which to hide and every office faces a central forum. The mathematicians are supposed to spend time in this open area, and are discouraged from keeping their office doors closed. Collaboration while moving around the institute is also encouraged – even the elevator, which only travels three floors, contains a blackboard. In fact every room in the building has at least one blackboard, including the bathrooms. On this occasion the seminars at the Newton Institute came under the heading of ‘L-functions and Arithmetic’. All the world’s top number theorists had been gathered together in order to discuss problems relating to this highly specialised area of pure mathematics, but only Wiles realised that L-functions might hold the key to solving Fermat’s Last Theorem.
Although he had been attracted by having the opportunity to reveal his work to such an eminent audience, the main reason for making the announcement at the Newton Institute was that it was in his home town, Cambridge. This was where Wiles had been born, it was here he grew up and developed his passion for numbers, and it was in Cambridge that he had alighted on the problem which was to dominate the rest of his life.
The Last Problem
In 1963, when he was ten years old, Andrew Wiles was already fascinated by mathematics. ‘I loved doing the problems in school, I’d take them home and make up new ones of my own. But the best problem I ever found I discovered in my local library.’
One day, while wandering home from school, young Wiles decided to visit the library in Milton Road. It was rather impoverished compared with the libraries of the colleges, but nonetheless it had a generous collection of puzzle books and this is what often caught Andrew’s attention. These books were packed with all sorts of scientific conundrums and mathematical riddles, and for each question the solution would be conveniently laid out somewhere in the final few pages. But this time Andrew was drawn to a book with only one problem, and no solution.
The book was The Last Problem by Eric Temple Bell, the history of a mathematical problem which has its roots in ancient Greece, but which only reached full maturity in the seventeenth century. It was then that the great French mathematician Pierre de Fermat inadvertently set it as a challenge for the rest of the world. One great mathematician after another had been humbled by Fermat’s legacy and for three hundred years nobody had been able to solve it. There are other unsolved questions in mathematics, but what makes Fermat’s problem so special is its deceptive simplicity. Thirty years after first reading Bell’s account, Wiles told me how he felt the moment he was introduced to Fermat’s Last Theorem: ‘It looked so simple, and yet all the great mathematicians in history couldn’t solve it. Here was a problem that I, a ten-year-old, could understand and I knew from that moment that I would never let it go. I had to solve it.’
The problem looks so straightforward because it is based on the one piece of mathematics that everyone can remember – Pythagoras’ theorem:
In a right-angled triangle the square on the hypotenuse is equal to the sum of the squares on the other two sides.
As a result of this Pythagorean ditty, the theorem has been scorched into millions if not billions of human brains. It is the fundamental theorem that every innocent schoolchild is forced to learn. But despite the fact that it can be understood by a ten-year-old, Pythagoras’ creation was the inspiration for a problem which had thwarted the greatest mathematical minds of history.
Pythagoras of Samos was one of the most influential and yet mysterious figures in mathematics. Because there are no first-hand accounts of his life and work, he is shrouded in myth and legend, making it difficult for historians to separate fact from fiction. What seems certain is that Pythagoras developed the idea of numerical logic and was responsible for the first golden age of mathematics. Thanks to his genius numbers were no longer merely used to count and calculate, but were appreciated in their own right. He studied the properties of particular numbers, the relationships between them and the patterns they formed. He realised that numbers exist independently of the tangible world and therefore their study was untainted by the inaccuracies of perception. This meant he could discover truths which were independent of opinion or prejudice and which were more absolute than any previous knowledge.
Living in the sixth century BC, Pythagoras gained his mathematical skills on his travels throughout the ancient world. Some tales would have us believe that he travelled as far as India and Britain, but what is more certain is that he gathered many mathematical techniques and tools from the Egyptians and Babylonians. Both these ancient peoples had gone beyond the limits of simple counting and were capable of performing complex calculations which enabled them to create sophisticated accounting systems and construct elaborate buildings. Indeed they saw mathematics as merely a tool for solving practical problems; the motivation behind discovering some of the basic rules of geometry was to allow reconstruction of field boundaries which were lost in the annual flooding of the Nile. The word itself, geometry, means ‘to measure the earth’.
Pythagoras observed that the Egyptians and Babylonians conducted each calculation in the form of a recipe which could be followed blindly. The recipes, which would have been passed down through the generations, always gave the correct answer and so nobody bothered to question them or explore the logic underlying the equations. What was important for these civilisations was that a calculation worked – why it worked was irrelevant.
After twenty years of travel Pythagoras had assimilated all the mathematical rules in the known world. He set sail for his home island of Samos in the Aegean Sea with the intention of founding a school devoted to the study of philosophy and in particular concerned with research into his newly acquired mathematical rules. He wanted to understand numbers, not merely exploit them. He hoped to find a plentiful supply of free-thinking students who could help him develop radical new philosophies, but during his absence the tyrant Polycrates had turned the once liberal Samos into an intolerant and conservative society. Polycrates invited Pythagoras to join his court, but the philosopher realised that this was only a manoeuvre aimed at silencing him and therefore declined the honour. Instead he left the city in favour of a cave in a remote part of the island, where he could contemplate without fear of persecution.
Pythagoras did not relish his isolation and eventually resorted to bribing a young boy to be his first pupil. The identity of the young boy is uncertain but some historians have suggested that his name was also Pythagoras, and that the student would later gain fame as the first person to suggest that athletes should eat meat to improve their physique. Pythagoras, the teacher, paid his student three oboli for each lesson he attended and noticed that as the weeks passed the boy’s initial reluctance to learn was transformed into an enthusiasm for knowledge. To test his pupil Pythagoras pretended that he could no longer afford to pay the student and that the lessons would have to stop, at which point the boy offered to pay for his education rather than have it ended. The pupil had become a disciple. Unfortunately this was Pythagoras’ only conversion on Samos. He did temporarily establish a school, known as the Semicircle of Pythagoras, but his views on social reform were unacceptable and the philosopher was forced to flee the colony with his mother and his one and only disciple.
Pythagoras departed for southern Italy, which was then a part of Magna Graecia, and settled in Croton where he was fortunate in finding the ideal patron in Milo, the wealthiest man in Croton and one of the strongest men in history. Although Pythagoras’ reputation as the sage of Samos was already spreading across Greece, Milo’s fame was even greater. Milo was a man of Herculean proportions who had been champion of the Olympic and Pythian Games a record twelve times. In addition to his athleticism Milo also appreciated and studied philosophy and mathematics. He set aside part of his house and provided Pythagoras with enough room to establish a school. So it was that the most creative mind and the most powerful body formed a partnership.
Secure in his new home Pythagoras founded the Pythagorean Brotherhood – a band of six hundred followers who were capable not only of understanding his teachings, but who could add to them by creating new ideas and proofs. Upon entering the Brotherhood each follower had to donate all their worldly possessions to a common fund and should anybody ever leave they would receive twice the amount they had originally donated and a tombstone would be erected in their memory. The Brotherhood was an egalitarian school and included several sisters. Pythagoras’ favourite student was Milo’s own daughter, the beautiful Theano, and, despite the difference in their ages, they eventually married.
Soon after founding the Brotherhood, Pythagoras coined the word philosopher, and in so doing defined the aims of his school. While attending the Olympic Games, Leon, Prince of Phlius, asked Pythagoras how he would describe himself. Pythagoras replied, ‘I am a philosopher,’ but Leon had not heard the word before and asked him to explain.
Life, Prince Leon, may well be compared with these public Games for in the vast crowd assembled here some are attracted by the acquisition of gain, others are led on by the hopes and ambitions of fame and glory. But among them there are a few who have come to observe and to understand all that passes here.
It is the same with life. Some are influenced by the love of wealth while others are blindly led on by the mad fever for power and domination, but the finest type of man gives himself up to discovering the meaning and purpose of life itself. He seeks to uncover the secrets of nature. This is the man I call a philosopher for although no man is completely wise in all respects, he can love wisdom as the key to nature’s secrets.
Although many were aware of Pythagoras’ aspirations nobody outside of the Brotherhood knew the details or extent of his success. Each member of the school was forced to swear an oath never to reveal to the outside world any of their mathematical discoveries. Even after Pythagoras’ death a member of the Brotherhood was drowned for breaking his oath – he publicly announced the discovery of a new regular solid, the dodecahedron, constructed from twelve regular pentagons. The highly secretive nature of the Pythagorean Brotherhood is part of the reason that myths have developed surrounding the strange rituals which they might have practised, and similarly this is why there are so few reliable accounts of their mathematical achievements.
What is known for certain is that Pythagoras established an ethos which changed the course of mathematics. The Brotherhood was effectively a religious community and one of the idols they worshipped was Number. By understanding the relationships between numbers, they believed that they could uncover the spiritual secrets of the universe and bring themselves closer to the gods. In particular the Brotherhood focused its attention on the study of counting numbers (1, 2, 3, …) and fractions. Counting numbers are sometimes called whole numbers, and together with fractions (ratios between whole numbers) are technically referred to as rational numbers. Among the infinity of numbers, the Brotherhood looked for those with special significance, and some of the most special were the so-called ‘perfect’ numbers.
According to Pythagoras numerical perfection depended on a number’s divisors (numbers which will divide perfectly into the original one). For instance, the divisors of 12 are 1, 2, 3, 4 and 6. When the sum of a number’s divisors is greater than the number itself, it is called an ‘excessive’ number. Therefore 12 is an excessive number because its divisors add up to 16. On the other hand, when the sum of a number’s divisors is less than the number itself, it is called ‘defective’. So 10 is a defective number because its divisors (1, 2 and 5) add up to only 8.
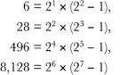
The most significant and rarest numbers are those whose divisors add up exactly to the number itself and these are the perfect numbers. The number 6 has the divisors 1, 2 and 3, and consequently it is a perfect number because 1 + 2 + 3 = 6. The next perfect number is 28, because 1 + 2 + 4 + 7 + 14 = 28.
As well as having mathematical significance for the Brotherhood, the perfection of 6 and 28 was acknowledged by other cultures who observed that the moon orbits the earth every 28 days and who declared that God created the world in 6 days. In The City of God, St Augustine argues that although God could have created the world in an instant he decided to take six days in order to reflect the universe’s perfection. St Augustine observed that 6 was not perfect because God chose it, but rather that the perfection was inherent in the nature of the number: ‘6 is a number perfect in itself, and not because God created all things in six days; rather the inverse is true; God created all things in six days because this number is perfect. And it would remain perfect even if the work of the six days did not exist.’
As the counting numbers get bigger the perfect numbers become harder to find. The third perfect number is 496, the fourth is 8,128, the fifth is 33,550,336 and the sixth is 8,589,869,056. As well as being the sum of their divisors, Pythagoras noted that all perfect numbers exhibit several other elegant properties. For example, perfect numbers are always the sum of a series of consecutive counting numbers. So we have

Pythagoras was entertained by perfect numbers but he was not satisfied with merely collecting these special numbers; instead he desired to discover their deeper significance. One of his insights was that perfection was closely linked to ‘twoness’. The numbers 4 (2 × 2), 8 (2 × 2 × 2), 16 (2 × 2 × 2 × 2), etc., are known as powers of 2, and can be written as 2n, where the n represents the number of 2’s multiplied together. All these powers of 2 only just fail to be perfect, because the sum of their divisors always adds up to one less than the number itself. This makes them only slightly defective:

Two centuries later Euclid would refine Pythagoras’ link between twoness and perfection. Euclid discovered that perfect numbers are always the multiple of two numbers, one of which is a power of 2 and the other being the next power of 2 minus 1. That is to say,

Today’s computers have continued the search for perfect numbers and find such enormously large examples as 2216’090 × (2216’091 – 1), a number with over 130,000 digits, which obeys Euclid’s rule.
Pythagoras was fascinated by the rich patterns and properties possessed by perfect numbers and respected their subtlety and cunning. At first sight perfection is a relatively simple concept to grasp and yet the ancient Greeks were unable to fathom some of the fundamental points of the subject. For example, although there are plenty of numbers whose divisors add up to one less than the number itself, that is to say only slightly defective, there appear to be no numbers which are slightly excessive. The Greeks were unable to find any numbers whose divisors added up to one more than the number itself, but they could not explain why this was the case. Frustratingly, although they failed to discover slightly excessive numbers, they could not prove that no such numbers existed. Understanding the apparent lack of slightly excessive numbers was of no practical value whatsoever; nonetheless it was a problem which might illuminate the nature of numbers and therefore it was worthy of study. Such riddles intrigued the Pythagorean Brotherhood, and two and a half thousand years later, mathematicians are still unable to prove that no slightly excessive numbers exist.
Everything is Number
In addition to studying the relationships within numbers Pythagoras was also intrigued by the link between numbers and nature. He realised that natural phenomena are governed by laws, and that these laws could be described by mathematical equations. One of the first links he discovered was the fundamental relationship between the harmony of music and the harmony of numbers.
The most important instrument in early Hellenic music was the tetrachord or four-stringed lyre. Prior to Pythagoras, musicians appreciated that particular notes when sounded together created a pleasant effect, and tuned their lyres so that plucking two strings would generate such a harmony. However, the early musicians had no understanding of why particular notes were harmonious and had no objective system for tuning their instruments. Instead they tuned their lyres purely by ear until a state of harmony was established – a process which Plato called torturing the tuning pegs.



