Сопротивление материалов. Шпаргалка для студентов

- -
- 100%
- +

1. Задачи сопротивления материалов
Твердые тела при воздействии на них с какой-либо силой могут изменять свою форму и размеры, т. е. деформироваться. Если после снятия нагрузки тело возвращает свое первоначальное состояние, то деформацию называют упругой. Если после снятия нагрузки тело остается деформированным, то говорят о пластической (остаточной) деформации.
На практике остаточные деформации, возникающие в элементах, говорят о нарушении нормальной работы конструкции. При создании машин и сооружений необходимо выбрать материал и размеры деталей таким образом, чтобы при воздействии внешних сил сооружения не подвергались разрушению и остаточной деформации, т. е. были достаточно прочными. Прочностью называют способность тел выдерживать воздействие внешних сил без разрушения и возникновения опасных последствий.
На практике все конструкции и сооружения испытывают на себе упругие деформации. Если при достижении некоторого критического значения внешних воздействий конструкция перестает нормально функционировать, хоть и обладает необходимой прочностью, то говорят о недостаточной жесткости такой конструкции. Следовательно, жесткость – это способность тела сопротивляться влиянию упругой деформации.
Также под воздействием внешних воздействий тела могут изменять свою форму и оставаться в таком положении. При проектировании необходимо подбирать размеры так, чтобы возникающие в элементах упругие перемещения не нарушали общей работы конструкции или сооружения. Способность тел сохранять устойчивое равновесие называют упругостью. Поэтому можно сказать, что основной задачей предмета «Сопротивление материалов» является расчет элементов конструкций и сооружений, обеспечивающий им прочность, жесткость и устойчивость.
Сопротивление материалов – расчетно-теоретическая дисциплина. Для определения внешних сил, действующих на элементы конструкций и детали машин в эксплуатации, используют методы теоретической механики, в основном статики, в которых рассматривается равновесие абсолютно твердого тела. Составляя уравнения равновесия, допустимо заменять одну систему сил другой, эквивалентной ей, переносить силы вдоль линии их действия или заменять силы их равнодействующими, но в некоторых случаях такие упрощения могут быть причиной ошибочных расчетов. Поэтому все основные положения сопротивления материалов подвергаются многократным экспериментальным исследованиям и дополнениям.
В некоторых случаях теоретический расчет оказывается настолько сложным, что приходится изготавливать модель проектируемой конструкции и подвергать ее испытаниям, чтобы получить данные о характере и величине деформаций.
2. Классификация сил
Любой элемент конструкции можно рассматривать как самостоятельный, если воздействие остальных элементов считать силами внешнего воздействия. К внешним силам относят как силы, действующие со стороны других элементов, так и реакции связей (опор). Действующую на тело систему сил принято называть нагрузкой.
Внешние силы принято делить на объемные, т. е. распределенные по всему объему, и поверхностные, действующие только на поверхность рассматриваемого элемента. Поверхностные силы в свою очередь подразделяются на сосредоточенные и распределенные по поверхности элемента или по длине элемента. Если сила передается на деталь по площадке, размеры которой пренебрежимо малы в сравнении с площадью всего элемента конструкции, силу считают сосредоточенной. Это упрощение служит для облегчения расчетов. Распределенные по поверхности нагрузки характеризуются давлением, т. е. отношением силы, действующей на элемент нормально к нему, к площади данного элемента. Распределенная по длине нагрузка характеризуется интенсивностью, выражаемой единицей силы, отнесенной к единице длины.
Сосредоточенные силы измеряются в ньютонах (H), распределенные по поверхности (давление) – в паскалях, распределенные по длине (интенсивность нагрузки q) – в ньютонах на метр (Н/м).
Также нагрузки подразделяются по характеру изменения во времени.
Статические нагрузки характеризуются постоянством во времени.
Динамические нагрузки, абсолютное значение, направление и место приложения которых изменяются во времени. Такие нагрузки могут быть кратковременными или действующими продолжительно и изменяющимися по какому-либо закону.
Укажем самые распространенные типы связи.
Односвязная опора (шарнирно-подвижная) изображена на Рис. 1.1. Реакция такой опоры всегда перпендикулярна опорной поверхности.
Двухсвязная опора (шарнирно-неподвижная) схематически изображена на Рис. 1.2.
Реакция этой опоры проходит через центр шарнира, ее направление зависит от действующих сил. Вместо отыскания числового значения и направления этой реакции удобнее найти две ее составляющие.
В трехсвязной опоре (жесткой заделке), изображенной на Рис. 1.3 возникают реактивная пара сил (момент) и реактивная сила, последнюю удобнее представлять в виде двух ее составляющих.

Рис. 1.1

Рис. 1.2

Рис. 1.3
3. Понятие о деформациях и напряжениях
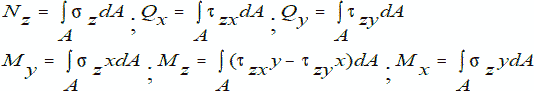
Воздействие на тело внешних сил изменяет его внутренние силы. Деформация тела вызывает изменение расстояний между атомами, при этом возникающие дополнительные внутренние силы стремятся вернуть тело в первоначальное положение. Если неограниченно увеличивать действие внешних сил, то при определенном возрастании внутренних сил происходит разрушение тела. Чтобы произвести расчет на прочность, надо уметь определять внутренние силы, зная внешние. Для определения внутренних сил (или внутренних силовых факторов) используют метод сечения. Мысленно рассекаем твердое тело и отбрасываем одну из частей. Оставшаяся часть тела находится в положении равновесия под действием приложенных внешних сил и сил, приложенных к сечению (заменяющих воздействие отброшенной части тела). Теперь при помощи теоретической физики можно определить главный вектор действия внутренних сил по сечению (закон распределения этих сил установить сложно). Совмещая плоскость сечения с системой координат, имеем в сечении шесть силовых факторов: продольная сила Nz, пара поперечных сил Qx,Qy, изгибающие моменты Mx,My, крутящий момент Mz.
Соответственно видам внутренних силовых факторов различают четыре вида деформаций тела:
– если в сечении имеется только продольная сила – растяжение или сжатие;
– если в сечении возникают только поперечные силы – сдвиг;
– если в сечении возникают только изгибающие моменты – чистый изгиб, если кроме изгибающих моментов возникают поперечные силы – поперечный изгиб;
– если в сечении возникает крутящий момент – кручение.
Если в сечении действуют несколько силовых факторов, то возникает сложный вид деформации.
Как уже было сказано, при определении внутренних сил методом сечения считаем эти силы приложенными к центру тяжести сечения. На самом деле они распределены по всей поверхности сечения, и интенсивность внутренних силовых факторов может быть различной. Увеличение внешней нагрузки приводит к увеличению внутренней, заставляет возрастать интенсивность во всех точках сечения и может привести к разрушению элемента или возникновению остаточных деформаций. Таким образом, говоря о прочности тела, рассматривать надо не значение внутренних сил, а их интенсивность. Меру интенсивности внутренних сил характеризует напряжение. Для удобства математического и физического анализа напряжение рассматривают как совокупность двух компонент: вектора нормального напряжения и вектора касательно напряжения, являющихся соответственно его составляющими по нормали к сечению и касательно к его плоскости.
4. Вычисление напряжений по площадкам, перпендикулярным к оси стержня
Рассмотрим небольшую площадку сечения некоторого тела, действующую на нее; внутреннюю силу обозначим ΔF. Отношение внутренней силы к единице площадки определяет среднее значение интенсивности на площадке ΔA.

Если бесконечно уменьшать площадку ΔA, напряжение стремится к своему предельному значению и называется истинным напряжением.

Разложим вектор полного напряжения p на две составляющие: нормальное напряжение σ, направленное по нормали к сечению, и касательное напряжением τ, направленное по касательной к сечению. Между величинами p, τ, σ существует зависимость, которая выражается формулой:

Нормальные напряжения возникают, когда под действием внешних сил частицы стремятся приблизиться или отдалиться. Когда частицы стремятся сдвинуться относительно друг друга в плоскости сечения. Касательное напряжение можно разложить на две составляющие: τzx и τzy. Первый индекс показывает, какая ось перпендикулярна сечению, второй – параллельно какой оси действует напряжение.

Напряжения в поперечных сечениях связаны с внутренними силовыми факторами, определенными зависимостями.
dNz = σzdA; dQx = τzxdA; dQy = τzydA
Соответствующие элементарные моменты относительно координатных осей имеют вид:
dMz = (τzxdA)y – (τzydA)x; dMx = (σzdA)y;dMy =(σzdA)x
Просуммировав бесконечно малые силы и моменты, действующие в сечении, получим выражения, связывающие внутренние силовые факторы с напряжениями.

Полученные выражения можно рассматривать как определения, выражающие физическую сущность внутренних силовых факторов. Также, при определенных методах сечения внутренних факторов, эти формулы могут использоваться для вычисления напряжений, если известны законы, по которым эти напряжения распределяются по сечению.
5. Деформации при растяжении и сжатии. Закон Гука. Коэффициент поперечной деформации
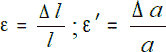
Некоторые элементы конструкций и элементов подвергаются только продольным нагрузкам, что вызывает в них деформацию растяжения или сжатия. Длина стержня, подвергнутого растяжению, увеличивается, а площадь его поперечного сечения уменьшается. При сжатии наоборот – длина уменьшается, а площадь сечения увеличивается. При этом изменение длины называют линейной продольной деформацией, а изменение площади поперечного сечения – поперечной линейной деформацией. Для оценки интенсивности деформации применяют такие понятия, как относительная продольная ε и относительная поперечная ε' – деформации, приходящиеся на единицу длины или пощади сечения стержня.

где Δl – изменение длины стержня;
Δa – изменение площади сечения.
Продольную деформацию растяжения обычно считают положительной, деформацию сжатия – отрицательной. Продольная и поперечная деформации связаны соотношением

μ – коэффициент поперечной деформации, который имеет свое значение для разных тел (в пределах упругого деформирования). Этот коэффициент называют коэффициентом Пуассона.
В пределах упругого деформирования экспериментально была установлена прямая зависимость между нормальным напряжением σ и относительной деформацией ε.
σ = Eε
Это соотношение носит название закона Гука, а коэффициент пропорциональности E называется модулем упругости первого рода. Модуль упругости – это величина, постоянная для каждого материала. Из соотношения видно, что при постоянном напряжении деформация меньше при большем модуле упругости.
Если рассматривать участок длиной l, на котором продольная сила и площадь поперечного сечения постоянны, закон Гука можно представить в виде:

Произведение EA называется жесткостью сечения.
При растяжении или сжатии стержня его сечения перемещаются. Осевое перемещение сечений друг относительно друга равно изменению длины стержня между этими сечениями. График, на котором изображены перемещения всех сечений относительно одного, принятого за неподвижное, называется эпюром перемещений.
6. Механические характеристики свойств материала
Для правильного побора материала при расчетах машин и сооружений надо знать механические свойства подбираемых материалов, к которым относятся:
– прочность – способность материала выдерживать воздействие внешних сил без разрушения и возникновения опасных последствий;
– пластичность – способность материала накапливать пластические деформации до разрушения;
– упругость – способность материала восстанавливать свою форму и размеры после удаления нагрузки;
– жесткость – способность тела противостоять упругой деформации и разрушению при воздействии.
Все детали перед введением в эксплуатацию подвергаются механическим испытаниям, что позволяет определить характеристики свойств материалов. Наиболее распространенным испытанием является растяжение. На начальном этапе растяжения абсолютные деформации пропорциональны нагрузке, а относительные деформации пропорциональны напряжению, т. е. справедлив закон Гука. Пределом пропорциональности σпц называется максимальное напряжение, при котором выполняется закон Гука. При достижении нагрузкой некоторой величины в образце появляются остаточные деформации. Пределом упругости σ0,05 называют максимальное напряжение, при котором не возникают остаточные деформации. Принято считать за максимальное то напряжение, при котором в испытуемом образце появляются деформации 0,05 %. Предел пропорциональности, предел упругости, модуль упругости и коэффициент поперечной деформации характеризуют упругие свойства материала. Предел текучести материала σm – это наименьшее напряжение, при котором деформация увеличивается без заметного увеличения нагрузки. Если после возникновения текучести продолжать увеличивать действие нагрузки, наступает разрушение. Пределом прочности (временным сопротивлением) σв называют напряжение, соответствующее максимальной нагрузке, предшествующей разрушению образца. Пределы текучести и прочности характеризуют прочность материала. Также существуют две величины, характеризующие пластичность материала: относительное остаточное удлинение δ (отношение изменения длины к начальной длине образца) и относительное остаточное сужение ψ (отношение изменения сечения к первоначальной площади сечения).
Испытания на сжатие для пластичных тел в начале дают результаты, похожие на растяжение, но при нарастании нагрузки пластичные тела не разрушаются, а сплющиваются. Поэтому целесообразнее таким испытаниям подвергать хрупкие тела с малым относительным остаточным удлинением при разрыве. Как правило, в таких испытаниях определяется предел прочности σсв – максимальное напряжение, соответствующее максимальной нагрузке.
7. Статически неопределимые задачи при растяжении и сжатии
Статистически неопределимые задачи – это задачи, в которых число неизвестных превышает число уравнений статистики. Недостающие уравнения составляются исходя из условия совместности деформаций. Для примера рассмотрим систему, представленную на Рис. 2.1.

Рис. 2.1
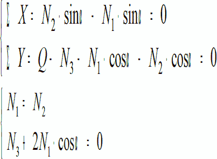
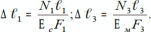
Пусть крайние стержни, имеющие равные площади поперечных сечений (F1 = F2) – стальные, средний стержень площадью F3 – медный. Длина среднего стержня – ℓ3, крайних – ℓ1 = ℓ2; допускаемые напряжения для стали – [σc], для меди – [σм]. Определить размеры поперечных сечений стержней под действием подвешенного груза Q. Установим силы, действующие на каждый из трех стержней. Считаем их растягивающими. Для их определения рассмотрим равновесие точки А. Схема действия сил на рисунке 2.2.

Рис. 2.2

Точка А в результате деформации переместится в точку А1. Отрезок АА1 – удлинение среднего стержня Δℓ3. Отрезки АВ2 и АС2 – удлинения первого стержня ∆ℓ1 и второго – ∆ℓ2 соответственно. Определим удлинения стержней ∆ℓ1, ∆ℓ 2, ∆ℓ3 по закону Гука

Найдя из чертежа зависимость между этими удлинениями, получим дополнительное уравнение совместности деформаций. Из треугольника А1АВ2 имеем:
АВ2 = АА1cosα или ∆ℓ1 = ∆ℓ3cosα
Подставляя значения ∆ℓ1 и ∆ℓ3 в это уравнение, получим:

Из треугольника АВД получаем ℓ3 = ℓ1cosα, тогда

Подставляем значение N1 в уравнение равновесия и получаем:

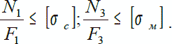
По величинам этих усилий и допускаемым напряжениям определим F1 и F3 из условий:

8. Напряжения, возникающие при изменении температуры
В статически неопределимых системах возникают напряжения при отсутствии внешних нагрузок не только от неточности изготовления и сборки, но и от изменения температуры. Возьмем стержень, защемленный неподвижно концами при температуре t1. Длина стержня ℓ, площадь поперечного сечения F, модуль упругости Е. Определить напряжения при изменении температуры до t2. Выясним, какие силы будут действовать на стержень, если температура повысится от t1 до t2. Стержень стремится удлиниться и будет распирать опоры А и В. Со стороны этих опор будут действовать реакции, они и вызовут сжатие стержня. Их величины нельзя найти из уравнений статики, так как единственное условие равновесия дает нам, что реакции опор в точках А и В равны по величине и прямо противоположны. Задача статически неопределимая.
RA = RB
Для составления дополнительного уравнения мысленно отбросим одну из опор, например, опору В и дадим стержню деформироваться в зависимости от температуры на величину ∆ℓt. По законам физики
∆ℓt = αℓ(t2 – t1),
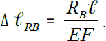
где α – коэффициент линейного расширения материала. Но так как длина стержня, закрепленного концами, остается и при нагревании неизменной, вернем опору В в первоначальное положение. Стержень укоротится на величину
∆ℓRB = ∆ℓt
Это и есть условие совместности деформаций; оно указывает на то, что при изменении температуры длина стержня не изменилась, он не оторвался от неподвижных опор. По закону Гука

Приравнивая обе деформации, получаем:

откуда RB = α×(t2-t1)×EF;

Напряжение, вызванное изменением температуры в стержне постоянного сечения с жестко защемленными концами, зависит лишь от материала, коэффициента линейного расширения, разности температур и не зависит от его длины и площади поперечного сечения.
9. Напряжения по наклонным сечениям при осевом растяжении и сжатии (линейное напряженное состояние)
Конец ознакомительного фрагмента.
Текст предоставлен ООО «ЛитРес».
Прочитайте эту книгу целиком, купив полную легальную версию на ЛитРес.
Безопасно оплатить книгу можно банковской картой Visa, MasterCard, Maestro, со счета мобильного телефона, с платежного терминала, в салоне МТС или Связной, через PayPal, WebMoney, Яндекс.Деньги, QIWI Кошелек, бонусными картами или другим удобным Вам способом.





