Системная психотерапия супружеских пар

- -
- 100%
- +
2. Супружеская подсистема – подмножество семейной системы, правила поведения в котором определяются транзакциями типа супруг – супруг. Взаимодействие между двумя людьми, связанное с выполнением супружеских ролей, с проявлением чувств друг к другу, удовлетворением потребностей друг друга, есть содержание взаимодействия в этой подсистеме.
3. Сиблинговая подсистема – подмножество семейной системы, правила поведения в котором определяются транзакциями типа брат – сестра (брат – брат, сестра – сестра). Подсистема включает детей и описывает возможные паттерны взаимодействия между ними.
4. Родительская подсистема – подмножество семейной системы, правила поведения в котором определяются транзакциями типа родитель – ребенок. Родительская подсистема описывает взаимодействия людей, выполняющих родительские функции, т. е. воспитывающих детей. Эта подсистема может включать отца и мать, а также других значимых людей, вовлеченных в воспитание детей. (Браун, Кристенсен, 2001).
Интересно, что, несмотря на то, что состав супружеской и родительской подсистем одинаков, эти подсистемы кардинально отличаются друг от друга, ибо различаются их функции. Супружеская подсистема характеризуется тем, как диада муж и жена чувствуют себя как супруги, как удовлетворяют совместные потребности и ожидания. Родительская же подсистема характеризуется тем, как они же – отец и мать – функционируют как родители. Минухин описал некоторые черты семейных подсистем в своей книге «Семьи и семейная терапия» (Мinuchin, 1974). Семьи рождаются, когда двое людей объединяются, чтобы образовать супружескую подсистему. Двое любящих людей договариваются объединить свои жизни, будущее и ожидания; но требуется период сложного приспособления, чтобы они смогли закончить процесс ухаживания и создать функциональную супружескую подсистему. Они должны научиться аккомодироваться к потребностям друг друга и предпочтительным стилям интеракций. В нормальной паре каждый партнер что-то дает и что-то получает взамен. Он приучается выполнять ее желание получать поцелуй при встрече и прощании. Она приучается оставлять его в одиночестве за чтением газеты или утренним кофе. Выполнение этих маленьких соглашений, повторяющееся тысячи раз, может быть либо легким и безболезненным, либо же – результатом напряженной борьбы. В любом случае этот процесс аккомодации скрепляет пару в отдельную единицу.
Супружеская пара должна также развить комплементарные модели взаимной поддержки. Некоторые из них временные и позже могут быть полностью изменены – например, один работает, а другой заканчивает учебу.
Например, достичь комплементарности в паре вполне могут помочь традиционные стереотипы половых ролей. В этом случае женщине не придется самой открывать двери, зарабатывать деньги и выполнять всю тяжелую домашнюю работу; с другой стороны, возможно, ей придется ущемить собственный интеллект, пожертвовать своей независимостью и жить в тени мужа. Муж может взять на себя принятие всех решений, он не будет менять пеленки, и все его распоряжения будут выполняться. Однако такие «мужские» прерогативы могут привести к тому, что он не позволит себе плакать, никогда не испытает удовольствия от приготовления особенного блюда и не разделит с женой радость заботы о детях.
Развитие индивидуальности может уменьшить преувеличенно комплементарные роли; умеренная комплементарность позволяет парам разделять функции, поддерживать и обогащать друг друга. Когда один супруг плохо себя чувствует, ведение дел принимает на себя другой. Вседозволенность в отношении с детьми одного родителя может быть уравновешена строгостью другого. Страстное отношение одного супруга может помочь растопить ледяную сдержанность другого. Комплементарными мы также назовем следующие паттерны: преследующий – дистанцирующийся, активный – пассивный, доминирующий – подчиненный. Подобные паттерны можно наблюдать время от времени у большинства пар. Когда они преувеличены, то создают дисфункциональную супружескую или родительскую подсистему. Терапевты должны научиться поддерживать действенные структурные паттерны и отвергать неэффективные.
Подсистема супругов также должна иметь границу, которая отделяет ее от родителей, от детей и от внешнего мира. Слишком часто, когда рождаются дети, муж и жена отказываются от того пространства, которое им нужно для поддержки друг друга. Жесткая граница, существующая вокруг пары, лишает детей необходимой им поддержки. Однако в нашей сосредоточенной вокруг детей культуре граница, разделяющая родителей и детей, часто в лучшем случае является неопределенной. И тогда супругам не хватает интимности, им трудно выразить любовь и поддержку друг другу.
Рождение ребенка немедленно преобразует семейную структуру, поэтому необходимо разработать модель взаимоотношений между подсистемами родителей и ребенка, а затем видоизменять ее в соответствии с изменяющимися обстоятельствами. Четкая граница позволяет детям взаимодействовать с родителями, но не включает их в подсистему супругов. Родители и дети едят вместе, играют вместе, и большая часть их жизни проходит вместе. Но существуют некоторые супружеские функции, которые нет необходимости делить с детьми. Муж и жена остаются любящей парой и развиваются как родители, только если у них достаточно времени, чтобы быть вместе – разговаривать, иногда обедать в ресторане, получать совместные удовольствия, разделять интересы друг друга, ссориться и заниматься любовью. К несчастью, настоятельные требования маленьких детей часто приводят к тому, что родители упускают из виду потребность в сохранении границы вокруг своих взаимоотношений.
Наличие четкой границы не только обеспечивает супружеской паре определенную частную жизнь, но и образует иерархическую структуру, в которой родители проявляют свое положение лидеров. Слишком часто эта иерархия нарушается сосредоточением на ребенке, и это оказывает влияние как на психотерапевта, так и на самих родителей. В семье с перевернутой иерархией родители как бы меняются местами с ребенком, они склонны спорить с ним о том, кто в семье главный, и необоснованно передают ему часть ответственности за принятие родительских решений или же совсем уклоняются от нее. Предоставлять ребенку выбор одежды или друзей – знак уважения и гибкости; спрашивать же ребенка, хочет ли он идти в школу, или пытаться убедить годовалого малыша, что играть на улице опасно, – это просто стирание линии авторитарности.
Хорошо сбалансированная семейная система способна удовлетворить потребности всех входящих в нее подсистем.
Альянсы, коалиции
В любой семейной системе существуют альянсы между членами семьи для выполнения какой-либо функции или для достижения определенной цели. В принципе, функционирование каждой из подсистем (индивидуальная, супружеская, родительская, детская) подразумевает заключение альянса между членами подсистемы. Отношения между супругами будут отличаться от их отношений с детьми, а отношения между сиблингами будут носить совершенно иной характер, нежели отношения между детьми и родителями. Альянсы позволяют членам семьи почувствовать особую близость. В нормально функционирующих семьях эти альянсы непостоянны и зависят от конкретной ситуации.
Однако существуют ситуации, когда альянсы носят дезадаптивный характер. Это касается ситуаций, когда двое объединяются против третьего. Тогда альянсы принимают форму коалиций. Коалиции предполагают сплочение одних членов семьи, направленное против других, и помогает тем, кто чувствует себя слабым, справиться с тем, кто кажется им сильнее. «Они позволяют членам семьи совладать с низким самоуважением, уменьшить тревогу и контролировать третью сторону» (Черников, 2001). Как правило, коалиции складываются между представителями разных поколений.
Например:
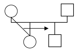
1. Один родитель создает коалицию с ребенком против другого родителя. Так, коалиция матери с дочерью против отца ослабляет его родительскую власть над дочерью (рисунок 4).
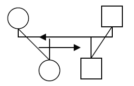
2. Один родитель создает коалицию с ребенком против коалиции другого родителя с ребенком. В этом случае между детьми вероятны конфликты, в которые неизменно будут вмешиваться родители – каждый на стороне «своего» ребенка. Между супругами тоже, скорее всего, будут происходить конфликты по поводу поведения детей. Причем каждый из супругов будет оправдывать поведение одного ребенка и осуждать другого (рисунок 5).
3. Один родитель создает коалицию с ребенком против других детей. В этом случае именно избранному ребенку будет позволяться больше, чем другим детям (рисунок 6).
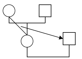
4. Один из супругов объединяется со своим родителем против другого супруга. Пресловутый конфликт между тещей и зятем, про который создано столько анекдотов – из их числа (рисунок 7).
5. Старшее поколение (бабушка и дедушка) объединяются с младшим поколением (детьми) против среднего (родителей). В этом случае старшее поколение может скрывать от родителей школьные неуспехи детей или их поздние приходы домой (рисунок 8).
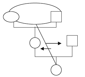
6. Кто-либо из старшего поколения (бабушка или дедушка) объединяется с ребенком против одного из родителей. Такой вариант часто встречается в разведенных семьях, когда мать с ребенком живет в доме своих родителей (рисунок 9).
Хейли (Haley, 1976) пишет о том, что «если существует фундаментальное правило социальной организации, то оно гласит: организация попадает в беду, когда коалиции складываются поперек уровней иерархии, особенно когда эти коалиции секретные». В этом случае коалиция будет возникать на основе совместного секрета, связанного с попыткой определенных членов семьи скрыть некоторую информацию от других.

Рис. 4. Коалиция: родитель и ребенок против другого родителя

Рис. 5. Коалиция: один ребенок и родитель против коалиции: другой ребенок и родитель

Рис. 6. Коалиция: родитель и ребенок против других детей

Рис. 7. Коалиция: один из супругов объединяется со своим родителем против другого супруга

Рис. 8. Коалиция: старшее и младшее поколение против среднего

Рис. 9. Коалиция: кто-либо из старшего поколения объединяется с ребенком против одного из родителей
Вертикальные коалиции дисфункциональны, горизонтальные альянсы – функциональны.
Пример. Вместе живут муж, жена и мать жены. Отношения между супругами дистантные, но ссор не наблюдается. Однако практически каждый день – бурные конфликты между зятем и тещей. Муж недоволен, что теща живет вместе с ними, хотя у нее есть собственная квартира. Жена говорит, что не оставит маму одну, так как та ее вырастила. Понятно, что муж недоволен скорее тем, что жена допускает подобную ситуацию, однако выяснение этого вопроса с ней вывело бы систему из равновесия. Поэтому, безопасней и надежней конфликтовать с тещей, фактически вызывающей огонь на себя. В свою очередь, у жены тоже существуют претензии к мужу. Однако, пока ее мама живет с ними, прояснять недовольства просто «не доходят руки». В результате система стабильна, а конфликты между зятем и тещей обслуживают семейный гомеостаз.
На приеме у семейного психотерапевта коалиции обычно можно вычленить по вариантам рассаживания при условии, что в кабинете достаточное количество посадочных мест. Очень важно дать семье возможность выбрать расположение в пространстве. Поэтому в кабинете семейного психотерапевта всегда должно быть больше стульев и кресел, чем членов семьи. Взаимное расположение – быстрый и надежный способ диагностики семейной структуры (Минухин, Фишман, 1998).
Иерархия
Термин иерархия охватывает несколько фундаментальных теоретических предположений. Как правило, ее определяют как авторитет, доминирование, власть, право принимать решения или степень влияния одного члена семьи на других, контроля над ними. Контроль означает не только контроль над другими, например, над детьми, но также над принятием решений в семье. Понятие иерархии также может использоваться в изучении изменений в структуре ролей и правил внутри семьи. Тем не менее иерархия является необходимым атрибутом существования системы, ибо все живые существа, способные к обучению, организовываются и выстраивают иерархию. Иерархия заложена в природе организации и поддерживается всеми ее участниками. Иерархии могут быть слабыми и неэффективными, с одной стороны, и жесткими и деспотичными – с другой. В первом случае молодые члены семьи могут оказаться незащищенными из-за отсутствия руководства; во втором их рост как автономных независимых индивидов может быть нарушен, или может начаться борьба за власть. Если функциональная иерархия необходима для сохранения стабильности здоровой семьи, то для ее приспособляемости к изменениям необходима гибкость. Наиболее общим выражением боязни изменений является избегание конфликтов, когда члены семьи уклоняются от обсуждения своих несогласий, чтобы защитить себя от причиняющей боль суровой правды. В этом случае скрытые проблемы могут носить хронический характер. В большинстве семей родители несут ответственность за детей, а следовательно обладают всей полнотой власти в нуклеарной семье. В нормально функционирующей семье члены придерживаются общепринятых норм разделения власти. Однако, если в семье существуют недостаточно четкие границы между родительскими и детскими подсистемами, то возможен вариант, когда родители делают детей партнерами. Этот вариант называется перевернутой иерархией. Отличительной чертой таких семей является то, что статус ребенка в них выше статуса родителя. Это семьи, где родитель может даже гордиться тем, что ребенок ему «лучший друг». Например, мама может обсуждать с дочерью свои измены мужу, делая дочь соучастницей. В данном случае уже не совсем понятно, кто является матерью, а кто дочерью.
Другой пример: когда кто-то из родителей заболевает, и ребенок начинает выступать в роли «родителя» по отношению к нему. Подобными примерами изобилуют «алкогольные» семьи, когда сын (или дочь) может заменять для матери пьющего супруга. Такое явление называется парентификацией (от англ. parents – родители). Обычно в подобных семьях мы видим инфантильных родителей и детей, исполняющих родительские функции.
Еще один вариант перевернутой иерархии складывается, если в семье нарушены границы поколений. Этот термин используется, чтобы показать различия в межпоколенных правилах, близости и иерархии. В целом решающий голос в принятии жизненно важных для семьи решений – у членов нуклеарной семьи, а у членов расширенной семьи – совещательный. Бывают же случаи, когда ни одно решение супруги не могут принять, не посоветовавшись со своими родителями по причине наличия у них опыта, ответственности и материальных ресурсов. Часто в таких семьях будут присутствовать коалиции через поколение, где сплоченность или преданность друг другу между родителем и ребенком больше, чем между самими родителями (Haley, 1973). Во всех вышеперечисленных случаях нарушенной иерархии нарушенными оказываются и отношения в супружеской диаде.
Еще один вариант нарушенной иерархии может быть связан с несбалансированностью иерархии в детской подсистеме. Здесь возможны два варианта: либо чрезмерная иерархизированность, когда один ребенок несет непосильное бремя родительских функций, отвечая за всех остальных детей, либо отсутствие иерархии – в этом случае существует некто, часто мать, которая регулирует все взаимодействия между детьми и в ответе за все, что с ними происходит.
Сплоченность
Сплоченность – степень эмоциональной близости между членами семьи. В отношении семейных систем это понятие используется для описания степени, до которой члены семьи видят себя как связанное целое. Для диагностики семейной сплоченности используются следующие показатели: эмоциональная связь между членами семьи, организация семейных границ, лояльность семейным правилам, зависимость членов семьи друг от друга, стиль принятия решений по семейным вопросам, совместно проводимое членами семьи время, отношения с друзьями, общие интересы и отдых. Можно выделить четыре уровня сплоченности (от экстремально высокого до экстремально низкого) и, соответственно, четыре типа семей.
Запутанная система (enmeshed) характеризуется слишком высоким уровнем сплоченности. В семье чрезмерно много центростремительных сил. Отдельные члены семьи не могут действовать независимо друг от друга, ибо существуют крайности в требовании эмоциональной близости и лояльности. В семье слишком много согласия, различия в точках зрения не поощряются. Личного пространства в таких семьях почти нет. Подобные семьи М. Боуэн (Bowen, 1960, 1978) определял как слабо дифференцированные (см. ст. автора «Работа с парой в рамках теории семейных систем Мюррея Боуэна» в настоящем сборнике). Семья как система имеет жесткие внешние границы с окружением и диффузные внутренние границы между подсистемами и членами семьи. Энергия людей сфокусирована в основном внутри семьи или отдельной ее подсистемы, и у каждого ее члена существует мало не разделенных с другими интересов.
Разобщенная система (disengaged) – другая крайность – характеризуется низким уровнем сплоченности и лояльности семье. В такой семье существует слишком много центробежных сил. Члены семьи эмоционально крайне разделены, мало привязаны друг к другу и ведут себя несогласованно. Они часто проводят время раздельно, имеют каждый свои, не связанные между собой интересы. Друзья у таких супругов тоже у каждого свои. Им бывает трудно оказывать поддержку друг другу и совместно решать жизненные проблемы. Однако нельзя сказать, что члены такой семьи являются хорошо дифференцированными личностями в понимании Боуэна (Bowen, 1960, 1978). Изолируясь друг от друга, подчеркивая свою независимость, они часто скрывают свою неспособность устанавливать близкие взаимоотношения. Описывая этот процесс, Боуэн отмечал, что при сближении с другими у таких людей отмечается возрастание тревоги (см.: «Работа с парой в рамках теории семейных систем Мюррея Боуэна»). «Полюса данной шкалы (близость – раздельность) отражают два фундаментальных человеческих страха – страх одиночества и страх быть поглощенным другими» (Черников, 2001).
Раздельная система (separated) характеризуется умеренной сплоченностью. В эмоциональных отношениях в семье присутствует некоторая раздельность, однако она не является такой крайней, как в разобщенной системе. Несмотря на то, что время, проводимое отдельно, для членов семьи более важно, семья способна собираться вместе, обсуждать проблемы, оказывать поддержку друг другу и принимать совместные решения. Интересы и друзья являются обычно разными, но существует и область, разделяемая с другими членами семьи.
Связанная система (connected) характеризуется высокой степенью эмоциональной близости, лояльностью во взаимоотношениях и определенной зависимостью членов семьи друг от друга. Члены семьи часто проводят время вместе. Это время для членов семьи более важно, чем время, посвященное индивидуальным друзьям и интересам. Однако сплоченность в таких семьях не достигает степени запутанности, когда пресекаются всякие различия.
Как видно из вышесказанного, члены связанных и раздельных систем способны сочетать собственную независимость с эмоциональными связями со своими семьями. Эти два типа систем являются сбалансированными. Разобщенные и запутанные системы являются несбалансированными, они обычно рассматриваются как проблематичные, ведущие к нарушениям функционирования семейной системы.
Чтобы определить уровень сплоченности семьи, на приеме у психотерапевта бывает полезно обсудить следующие темы:
1. Эмоциональная связь:
• Обращаются ли члены семьи за помощью друг к другу?
• Чувствуют ли себя члены семьи близкими друг другу?
• Важно ли для членов семьи чувство единства?
2. Семейные границы:
• Предпочитают ли члены семьи общество друзей обществу друг друга?
• Близки ли члены семьи с посторонними в большей степени, нежели друг с другом?
• Приветствуют ли члены семьи нежданные визиты к ним домой?
3. Принятие решений:
• Советуются ли члены семьи друг с другом по поводу принятия решений?
• Существует ли способ повлиять на уже принятые решения?
4. Время:
• Любят ли члены семьи проводить время вместе?
• Трудно ли им долгое время находиться вместе?
5. Друзья:
• Существуют ли у членов семьи близкие друзья (отдельные от других членов семьи)?
• Как принимаются друзья других членов семьи?
6. Интересы и отдых:
• Часто ли семья собирается вместе?
• Устраивают ли члены семьи совместные мероприятия, приносящие удовольствие всем участникам?
Гибкость
Семейная гибкость – характеристика того, насколько гибко или, наоборот, ригидно семейная система может приспосабливаться, изменяться при воздействии на нее стрессоров. Для диагностики гибкости используются следующие параметры: лидерство, контроль, дисциплина, правила и роли в семье. Здесь также выделяются четыре уровня гибкости. Ригидная (rigid) система обладает очень низкой гибкостью и адаптивностью. Такая система не способна решать жизненные задачи, возникающие перед семьей в ее продвижении по стадиям жизненного цикла. Семья отказывается меняться и приспосабливаться к изменившейся ситуации (рождение, смерть членов семьи, взросление детей и отделение их от семьи, изменения в карьере, месте жительства и т. д.). Система часто становится ригидной, когда она чрезмерно иерархизирована, т. е. существует член семьи, который всем заведует и все контролирует. Переговоры по важным вопросам в такой семье ограниченны, а большинство решений принимается лидером. В ригидной системе роли, как правило, строго распределены и правила взаимодействия остаются неизменными. Слишком малое количество изменений в системе ведет к высокой предсказуемости и ригидности поведения ее членов. Хаотическая (chaotic) система характеризуется очень высокой степенью непредсказуемости. Такое состояние система часто приобретает в момент кризиса, например, при рождении ребенка, разводе, потере источников дохода и т. д. Проблемным оно становится, если система застревает в нем надолго. Такой тип системы имеет неустойчивое или ограниченное руководство и испытывает недостаток лидерства. Решения являются импульсивными и непродуманными. Роли неясны и часто смещаются от одного члена семьи к другому. Большое количество изменений приводит к непредсказуемости происходящего в системе. Структурированная
Конец ознакомительного фрагмента.
Текст предоставлен ООО «ЛитРес».
Прочитайте эту книгу целиком, купив полную легальную версию на ЛитРес.
Безопасно оплатить книгу можно банковской картой Visa, MasterCard, Maestro, со счета мобильного телефона, с платежного терминала, в салоне МТС или Связной, через PayPal, WebMoney, Яндекс.Деньги, QIWI Кошелек, бонусными картами или другим удобным Вам способом.
Примечания
1
Советское общество характеризовалось в этом отношении известным своеобразием – с одной стороны, в нем присутствовала чувствительность ко всем переменам, произошедшим в начале XX в., с другой – ханжество и консерватизм, возобладавшие уже в 1930-е годы. Перемены – эмансипация женщин (сначала так вообще свободная любовь – «совершить сексуальный акт просто, как выпить стакан воды»), возобладание идеи, что женщина должна работать, легитимизация разводов, «аутсорсинг» многих семейных функций, который был поставлен на поток: ясли, детские сады, пионерлагеря, общественные кухни, «комбинаты готового питания» – были очевидны… Однако очень скоро многое изменилось: надо было состоять в браке, чтобы выехать за границу; на неверного мужа можно было донести в партком; развод мог разрушить карьеру. Женщина, как правило, работала, при этом все домашние обязанности лежали на ней и были очень трудоемкими в условиях тотального дефицита.
2
См., например: А. Арутюнян. Стеклянный занавес Америки. Новый мир. 2003. № 6.
3
В России и в этом аспекте также наблюдалось «кентаврическое» совмещение урбанизации с сохранением признаков патриархального способа жизни. См., например: Особенности урбанизации в России. URL: http://www.vselektsii.ru/index.php/Osobennosti-urbanizacii-v-Rossii. html.








