Как понять алгебру. Алгебраические уравнения с ответами и решениями

- -
- 100%
- +

© Джеймс Уэллс, 2022
ISBN 978-5-0059-3155-9
Создано в интеллектуальной издательской системе Ridero
ВВЕДЕНИЕ
Внутри вас есть голос, который всегда говорит: «Ты не можешь этого сделать. Оставь это на потом».
Это неправда, но вы верите этому голосу, потому что получаете пользу от принятия совета. Вы получаете хороший предлог, чтобы ускользнуть от вашей работы. Вы можете гулять с друзьями, смотреть телевизор или делать все, что захотите. Однако вы не можете испытывать подлинное удовольствие от своего развлечения, потому что есть часть вас, которая хочет гордиться своими достижениями. Этот голос говорит: «Продолжай пытаться! Ты можешь это сделать! Ты умница». Верьте тому, что говорит этот голос! Этот учебник покажет вам способ мышления, который поможет вам понять математику. Этот учебник предназначен для всех, кто хочет чувствовать себя комфортно, используя математическую формулу; кто хочет постичь красоту алгебраических выражений.
Испытывали ли вы когда-нибудь разочарование, глядя на свой учебник по математике? Забудьте это! Полюбите математику!
КАК РЕШАТЬ УРАВНЕНИЯ
Математика – восхитительная сфера деятельности. Имея только ручку и лист бумаги, можно придумывать все, что угодно. Можно бродить по бумаге с цифрами и символами, заботясь только об одном: равенство должно быть равенством, не более того. Представим, что вы первый великий математик. Люди знакомы только с арифметикой: как складывать, вычитать, умножать и делить. В школе изучают скучные вещи типа таких выражений:
2 +3 = 5 или 7 – 4 = 3
Вы первый, кто подозревает, что есть способ выразить общую идею уравнений, написанных выше.
Сначала вы пишете: a + b = c или c – a = b. Вы можете открыть общие правила, которые могут помочь людям решить любое уравнение. Чтобы проверить открытие, вы должны провести эксперименты с числами.
Напишем простое уравнение: 4 +8 = 12
Прибавим любое число к левой части уравнения.
4 +8 +3 = 12
Что мы получили?
15 = 12
Это неправильно! Как исправить уравнение? Попробуйте добавить к правой части уравнения такое же число, которое вы добавили к левой части уравнения.
4 +8 +3 = 12 +3. Что у вас получилось? 15 = 15
Вы открыли первое правило уравнений. Это правило гласит: «Если вы прибавите одно и то же число к левой и правой части уравнения, это уравнение все равно будет верным». Чтобы выразить это правило в общем виде, вы можете написать:
Если a + b = c, то a + b + n = C + n, где a, b, c, n равны любым числам.
Вы гений? Конечно! Давайте попробуем еще один эксперимент.
Что произойдет, если вычесть любое число из левой части уравнения?
5+2=7
5+2 – 5=7
Что мы получили? 2 = 7
Это неверно, но вы уже знаете, как исправить уравнение. Вы должны вычесть одно и то же число из левой и правой частей уравнения.
5 +2 – 5 = 7 – 5. Тогда 2 = 2.
Можете себя поздравить! Вы открыли второе правило уравнений. Это правило гласит: «Если вы вычтете одинаковые числа из левой и правой частей уравнения, это уравнение все равно будет верным».
Или вы можете написать:
если a + b = c, то a + b – n = c – n, где a, b, c, n равны любым числам.
Какие еще виды экспериментов вы можете провести? Вы можете умножить одну часть уравнения на некоторое число. Напишем уравнение:
5 – 1 = 4
Что будет, если левую часть уравнения умножить на 7?
(5 – 1) 7 = 4, тогда 28 = 4
Это неверно. Попробуйте умножить обе части уравнения на 7.
(5 -1) 7= 4 х 7. Тогда 28 = 28
Вы открыли еще одно правило для уравнений. Третье правило гласит:
«Если вы умножите левую и правую часть уравнения на одно и то же число, это уравнение все равно будет верным».
Если a – b = c, то (a – b) n = (c) n
Еще один эксперимент. Что произойдет, если разделить половину уравнения на любое число?
4 +6 = 10
(4 +6) /2 = 10, тогда 5 = 10.
Вы можете спросить себя: «Сколько раз я буду совершать одну и ту же ошибку?»
Но у вас есть знания, чтобы решить эту проблему.
Вы должны разделить обе части уравнения на одно и то же число.
(4 +6) / 2 = 10/ 2, тогда 5 = 5
Вы открыли четвертое правило уравнений. Это правило гласит:
«Если вы разделите левую и правую часть уравнения на одно и то же число, уравнение все равно будет верным».
Итак, вы можете написать:
Если a + b = c, то (a + b) /n = c/n
Где a, b, c – любые числа, но n не равно 0, потому что нельзя делить числа на 0.
Люди спросят вас: «Какую пользу вы можете извлечь из этих правил?»
Ваш ответ будет таким: «Вы можете использовать эти правила для решения любого уравнения».
Напишем уравнение, в котором одно число неизвестно.
Х – 3 = 11
Как мы можем решить это уравнение? Попробуйте применить первое правило:
Если вы прибавите одно и то же число к левой и правой части уравнения, это уравнение будет верным. Для нашего уравнения удобно добавить 3 к обеим частям уравнения.
Х – 3 +3 = 11 +3
Поскольку -3 +3 = 0
Тогда Х = 11 +3
Итак, Х=14
Давайте попробуем решить уравнение, где все числа представлены буквами.
Х – b = сПримените первое правило, чтобы решить это уравнение
Х – b + b = с + bТак как -b + b = 0, тоХ = с + b.Чтобы решить уравнение X + b = c, мы можем применить второе правило.
Если X + b = c, тоХ + b – b = с – b тогдаХ = с – b.Следующий пример: Х +7 = 15
Вычтите 7 из обеих частей уравнения:
Х +7 – 7 = 15 – 7 и Х = 8Не читайте дальше, пока не выполните упражнения из практики 1.
Практика 1. Решение уравнений
Решите для Х:
1. X – 5 = 02. X +11 = 33. X – ab = 44. X – Y = Z5. X – 2a = c6. X +3ab = bc7. X + k = 1 + k8. X – ab = a – ab9. X + c = c – b10. X – 2a = a – ab11. X + cb = 3cb – c12. X – 5 + a = 2a – 513. X +3 – k = 6 – 3k14. X – 1 – ab = ab – 115. X – a – b = a – b16. X +2a – 3c = 3a – 2cВы можете найти ответы в приложении 1. Если ваш ответ неверен, попробуйте решить еще раз.
Если вы не можете найти правильный ответ, прочитайте решение в приложении 2.
Давайте решим уравнение
4Х – 5 = 15Вы можете применить первое правило.
4Х – 5 +5 = 15 +5, тогда 4Х = 20.Как найти Х? Вы можете применить четвертое правило.
Если вы разделите обе части уравнения на одинаковые числа, это уравнение все равно будет верным.
4Х/4=20/4, тогда Х=5.Чтобы решить уравнение
аX – b = сПримените первое правило.
аХ – b + b = с + b,тогдааX = с + bТеперь применим четвертое правило.
Если aX = c + b, то aX/a = (c + b) /a
тогда X = (c + b) /a
Не читайте дальше, пока не выполните упражнения из практики 2.
Практика 2. Решение уравнений
Решите для Х:
1. 2X – 3 = 52. 3X – 5 = 43. 5X +6 = 364. 8X – 5 = 435. 7X – 2 = 196. 4X +8 = 207. 6X – a = 2a8. 2X + b = 13b9. 7X +3a = a + b10. 4X – 2a = 4 +2a11. 4X – 3a = a12. 3X – 2b = 6 – 14b13. 6X – 2a = 24b – 20a14. aX – 3a = ab – 2a15. 2aX + ab = 2a – ab16. 3aX – c = 3ac – 7cОтветы в приложении 1.
Решения в приложении 2.
Если у вас есть такое уравнение:
Х/а – 5 = 6Тогда примените первое правило:
Х/а – 5 +5 = 6 +5Х/а = 6 +5Х/а = 11Затем примените третье правило.
Х/а * а = 11 * аХ = 11аДавайте решим уравнение:
2X – 4b = 2bcПримените первое правило:
2Х – 4b +4b = 2bc +4b,тогда 2X = 2bc +4bРазделите обе части уравнения на 2:
2Х/ 2 = (2bc +4b) / 2Вы должны знать, как делить двучлен на одночлен.
Если вы забыли, вы можете найти правило самостоятельно.
Вы можете попробовать написать
(2bc+4b) /2 = 2bc/2 +4b/2Давайте проверим. Предположим, что c = 2 и b = 3.
Чтобы разделить двучлен на 2, попробуйте разделить каждый одночлен на 2
2*3*2/2 +4*3/2 = 12А теперь попробуйте сначала решить двучлен, а потом разделить на 2.
(2*3*2 +4*3) /2, тогда 24/2 = 12Мы получили тот же ответ. Это означает, что
(а + b) /2 = а/2 + b/2.Мы открыли правило: чтобы разделить двучлен на число, разделите каждый одночлен внутри двучлена на это число. Вернитесь к своему уравнению.
2Х = 2bс +4b. Тогда:2Х/2=2bс/2+4b/2Тогда: X = bc +2bВы можете вынести за скобки b и получить X = b (c +2)
Всякий раз, когда вы не знаете правило, вы можете поставить любые цифры вместо букв и проверить равенство. Откройте для себя правила самостоятельно.
Решим более сложное уравнение:

5X – 5 = 50X
Используйте 2-е правило, вычтите 5X с обеих сторон:
5X – 5 – 5X = 50X – 5X– 5 = 45Xor 45X = – 5Поделите обе части уравнения на 45.
45X/45 = -5/45
X = – 1/9
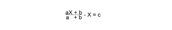
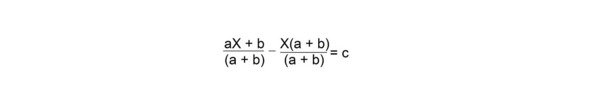
Следующие уравнение:

Для этого умножьте – Х на (а + в) и поделите его на (а + в). Мы можем это сделать, потому что
(а + в) / (а + в) = 1
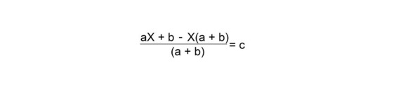
Тогда мы получим:

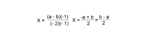
Или:

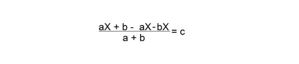
Умножаем -Х на а + b скобках и получаем:

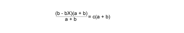
Умножьте обе части уравнения на (a + b)

Тогда b – bX = c (a + b)
Примените 2-е правило, вычтите b из обеих частей уравнения:
b – bX – b =c (a + b) – b
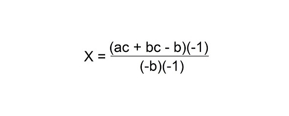
Тогда -bX =c (a + b) -b Разделим обе части на b:

Чтобы сделать это алгебраическое выражение более красивым, умножьте числитель и знаменатель на (-1).

Вы можете сделать это, потому что (-1) / (-1) = 1. Если вы умножите любое число на 1, число не изменится.
Тогда


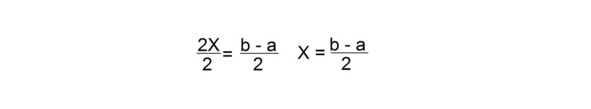
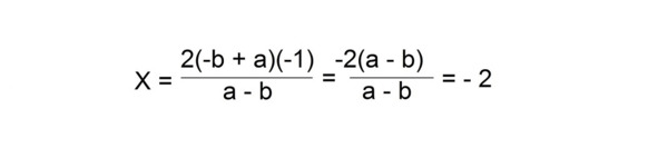
Следующее уравнение:
– 2Х = а – bВам не удобно иметь минус перед 2Х.
Вы можете преобразовать уравнение в более удобный вид.
Умножаем обе части уравнения на -1
(-2X) (-1) = (a – b) (-1), тогда вы получите2Х = – а + b или 2Х = b – аДелим обе части уравнения на 2.

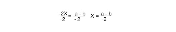
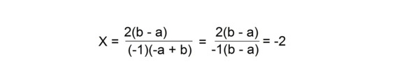
Есть и другой способ решить это уравнение:
– 2Х = а – bРазделим обе части уравнения на -2

Чтобы ваш результат был более красивым, вы можете умножить числитель и знаменатель на – 1

Следующее уравнение:
3а – 6Х = 6Х – 9аВы можете видеть, что в левой части уравнения у вас есть -6X
А с правой стороны у вас +6X. Вам удобнее иметь + перед X. Поэтому вы оставляете +6X в правой части и избавляетесь от -6X в левой части уравнения.
Прибавьте 6X к обеим частям уравнения:
3а – 6Х +6Х = 6Х – 9а +6Х, тогда получим 3а = 12Х – 9а
Прибавьте 9a к обеим частям уравнения:
3a +9a = 12X – 9a +9a тогда 12a = 12X
X = a
Не читайте дальше, пока не выполните упражнения из практики 3.
Практика 3. Решение уравнений
Решите для Х:
1. 1 – X = 5 – a2. 1 – 2X = X – 43. a – 3X = b – X4. 2a – 4X = 2X – 4a5. 4b – 2X = 2X – 4b6. ab + aX = 2aX + ac7. ab + aX = 2aX – acПродолжим и обсудим уравнение: aX – bX = a – b
Вынесите за скобки множитель X, который является общим множителем для бинома aX – bX,
тогда вы получите X (a – b) = a – b
Разделите каждую часть уравнения на a – b
X (a – b) / (a – b) = (a – b) / (a – b)X = 1Не читайте дальше, пока не выполните упражнения из практики 4.
Практика 4. Решение уравнений
Решите для Х:
1. bX – 2b = aX – 2a2. b – 2bX = a – 2aX3. aX – bX = 14. aX – bX – cX = 2a – 2b – 2c5. 3abX – 5a = 3acX +13a6. aX – bX = ac – bc7. 9a – 4X = 5a – 2X8. X – aX = 2 – 2a9. aX – bX = b – aПродолжим и решим уравнение: aX – bX = 2b – 2a
Вынесите за скобки X в левой части уравнения.
Х (а – b) = 2b – 2аВынесите за скобки 2 в правой части уравнения.
X (a – b) = 2 (b – a)Разделите обе части на (a – b).
Умножаем числитель на -1


Или вы можете упростить это алгебраическое выражение, вынеся за скобки (-1) в знаменателе

Практика 5. Решение уравнений
Решите для Х:
1. 5aX – 5bX = 10b – 10a2. aX – bX – cX = c + b – a3. 2X – 3aX = 6a – 44. 3aX – 9bX = 27b – 9a5. 4bX – cX = 8c – 32b6. abX – acX = ac – ab7. X/2 – aX = 1 – 2a8. aX/5 +2a = 5a – 4aXВы можете найти ответы в приложении 1 и решения в приложении 2.
СИСТЕМЫ УРАВНЕНИЙ
Посмотрите на уравнение X + Y = 3. X и Y неизвестны. Вы не можете найти ни X, ни Y из этого уравнения. Вам нужна дополнительная информация об «отношениях» между ними. Такая информация может быть включена в дополнительное уравнение. Например: X – Y = – 1. Теперь у вас есть система из 2-х уравнений:
1. X + Y = 3X – Y = -1Есть несколько способов ее решения. Первый способ: найти X в любом уравнении, например, первом.
Для этого вычтите Y из каждой части уравнения:
Х + У – У = 3 – У; Найти ХХ = 3 – УЗатем подставьте (3 – Y) вместо X во втором уравнении (X – Y = -1).
Вы получите: 3 – Y – Y = -1 или 3 – 2Y = -1
Теперь решите это уравнение относительно Y. Прибавьте 2Y к обеим частям уравнения.
3 – 2Y +2Y = -1 +2Y 3 = -1 +2YПрибавьте 1 к обеим частям уравнения.
3 +1 = -1 +1 +2Y4 = 2YПоменяем местами 4 и 2Y.
2Y = 4Разделите обе части уравнения на 2.
2Y/2 = 4/2Y = 2.Теперь подставьте 2 вместо Y в любом исходном уравнении, чтобы найти X.
Одно из исходных уравнений: X + Y = 3.
Х +2 = 3;Вычтите 2 из обеих частей уравнения.
Х+2 – 2=3 – 2;Х = 1Y = 2Второй способ решения:
1. Х + У = 3Х – У = -1Вы можете просуммировать левые части обоих уравнений и просуммировать правые части обоих уравнений.
X + Y = 3 и X – Y = -1 Тогда(Х + Y) + (Х – Y) = 3 + (-1)Или вы можете написать это так:

Если 2 Х = 2 то Х = 1
Поставьте 1 вместо X в любое уравнение.
1 + У = 3Вычтите 1 из обеих частей уравнения.
1 + Y – 1 = 3 – 1Y = 3 – 1Y=2Мы можем решать системные уравнения, используя их графики. Если мы построим каждое уравнение, мы получим две прямые линии. Точка пересечения линий будет иметь значения X и Y, соответствующие обоим уравнениям.
Чтобы нарисовать график для уравнения, мы должны привести его к общему виду:
Y = аХ + bНачнем с первого уравнения: X + Y =3
Вычтите X из обеих частей уравнения
Х – Х + У = 3 – ХY = 3 – ХНайдите две точки, чтобы нарисовать линию для первого уравнения. Присвойте любое значение X и вычислите значение Y.
Х = 3; Y (3) = 3 – 3 = 0Х = 6; У (6) = 3 – 6 = – 3Чтобы провести прямую линию достаточно двух точек.
Найдем две точки для второго уравнения.
Приведите уравнение к общему виду.
Х – У = -1Вычтите X из обеих частей уравнения.
Х – Х – У = – 1 – Х – У = – 1 – ХУмножьте обе части на -1
– Y (-1) = (-1) (-1) – X (-1)У = Х +1Найдите две точки, чтобы нарисовать линию для второго уравнения. Присвойте любое значение X и вычислите значение Y.
Х = 5; Y (5) = 5 +1 = 6Х = -5; Y (-5) = – 5 +1 = -4Теперь мы можем рисовать графики для обеих линий.
На графике 1 вы видите, что точка пересечения линий имеет X = 1
и Y =2.
Это те же самые значения, которые мы нашли ранее.

График 1. Точка пересечения линий: X=1, Y=2.
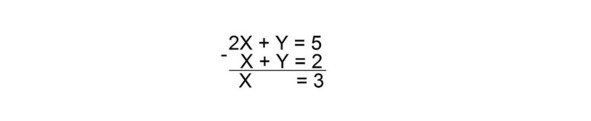
Следующая система уравнений:
2. 2Х + У = 5Х + У = 2В этом случае у нас есть + перед X и Y в обоих уравнениях.
Чтобы исключить один неизвестный член уравнения, вы можете вычесть второе уравнение из первого.
(2X + Y) – (X + Y) = 5 – 2=3 или:

Подставьте 3 вместо X в любое исходное уравнение.
3 + У = 2Вычтите 3 из обеих частей уравнения.
3 + Y – 3 = 2 – 3Y = 2 – 3 = – 1Y = -1Ответы: Х = 3; Y = -1;Решим эти уравнения с помощью графика.
Первое уравнение: 2X + Y = 5.
Приведите уравнение к общему виду: Y = aX + b
Вычтите 2X из обеих частей уравнения.
2X – 2X + Y = 5 – 2XY = 5 – 2XНайдите две точки, чтобы начертить первую линию. Присвойте любое значение X и вычислите значение Y.
Х = 0; Y (0) =5—2*0; Y (0) = 5Х = 4; Y (4) = 5 – 2 * 4 = 5 – 8 = – 3Найдем две точки для второго уравнения.
Х + У = 2Приведите уравнение к общему виду Y = aX + b.
Х – Х + У = 2 – Х;Y = 2 – ХНайдите две точки, чтобы начертить вторую линию. Присвойте любое значение X и вычислите значение Y.
Х = 4; У (4) = 2 – 4 = – 2Х = – 4; Y (-4) = 2 – (-4) = 2 +4 = 6На графике 2 мы видим, что точкой пересечения является (3, -1). Тот же ответ, который мы нашли раньше: X = 3, Y = -1.

График 2. Точка пересечения линий: X=3, Y=-1.
Следующая система уравнений:
Конец ознакомительного фрагмента.
Текст предоставлен ООО «ЛитРес».
Прочитайте эту книгу целиком, купив полную легальную версию на ЛитРес.
Безопасно оплатить книгу можно банковской картой Visa, MasterCard, Maestro, со счета мобильного телефона, с платежного терминала, в салоне МТС или Связной, через PayPal, WebMoney, Яндекс.Деньги, QIWI Кошелек, бонусными картами или другим удобным Вам способом.





