Психология интеллекта и одаренности

- -
- 100%
- +
Таким образом, мы «избавились» от коэффициента сдвига в степенной функции. Заметим, что коэффициент масштаба для наших целей также не является существенным, поскольку нас будут интересовать не абсолютные значения, а относительные.
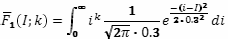
Итак, мы можем представить аппроксимирующую функцию в виде:
F1(I) = I2.
Будем искать вклад в экономические достижения также в виде f1(i) = ik. Это объясняется двумя причинами. Во-первых, зависимость экономических достижений стран от интеллекта не зависит от численности населения той или иной страны, во-вторых, вклад отдельного человека в экономику в целом не ограничивается его личными достижениями, а в совокупности влияет на многие сферы, напрямую не связанные с его деятельностью.
В пересчете на используемую шкалу дисперсия интеллекта, составляющая по определению 15 баллов шкалы IQ, равна 0,3. Для значений меньше 0, что соответствуют данным Линна для интеллекта меньше 60, будем полагать, что вклад в экономические достижения равен нулю. На значения интеллекта, больше 1, продолжим естественным образом нашу функцию.
Тогда для отдельной страны со средним интеллектом можем рассчитать экономические достижения по формуле:

Нам требуется, чтобы общие экономические достижения страны были представимы функцией F1(I) = I2.
Значит, должно выполняться условие:

где 2 соответствует максимальному интеллекту.
Получим, что k = 2. Итак, f1() = i2.
Оценка асимметрии распределения достижений среди населения
На основании произведенных выкладок можно оценить вклад в экономику, который вносят наиболее и наименее одаренные группы населения, что позволяет сравнить количественные оценки модели с упоминавшимися выше распределением Парето и законом Прайса. Еще раз необходимо подчеркнуть, что эта оценка условна, поскольку экономический эффект в современном мире достигается в результате совместных действий множества людей и результат отдельного действия можно оценить лишь в абстракции. Изложенное выше представление о деятельности как включающей решение совокупности задач различной сложности ведет к оценке вклада в решение отдельной задачи в терминах повышения общего уровня результата деятельности.
Для России I= 0,74, i~N(0,74, 0,32).
Плотность распределения равна:

Мы можем посчитать вклад в экономику 20 % наиболее одаренного населения России.
Найдя 80 % квантиль нашего распределения

получим продуктивность для нижних 80 % населения

и продуктивность для 20 % наиболее способного населения

Таким образом, вклад 20 % наиболее одаренного населения в экономические достижения России составляет 43 %. Поскольку в излагаемой модели заложено, что способности людей не выражаются однозначно в их продуктивности, то естественно, что продуктивность 20 % наиболее способных людей существенно ниже, чем продуктивность 20 % наиболее продуктивных. Рассогласование между этими двумя цифрами показывает запас нереализованных возможностей, который заложен в интеллектуальном потенциале страны, но не востребован ею.
Формализация экономического эффекта образовательных программ для наиболее одаренной части населения
Теперь заложены необходимые основания, чтобы оценить экономическую эффективность программ, направленных на образование наиболее одаренной части населения. Теоретически можно допустить два пути действия этих программ.
Во-первых, можно пытаться достичь повышения способностей участников, т. е. условно сдвинуть на графике вправо наиболее способную часть населения. Хотя повышение способностей очень заманчиво, и многие программы декларируют его в качестве своей цели, все же сегодня не существует убедительных данных о том, что эта цель реально достижима. Независимая оценка так называемых программ когнитивного обучения (cognitive education), направленных на повышение когнитивного уровня людей, не выявляет того эффекта, на который рассчитывают их разработчики (Loarer et al., 1995; Shayer, 1987).
Сказанное не означает, что интеллект в принципе не поддается развитию. Психогенетические исследования показывают, что, хотя интеллект и является в значительной степени генетически обусловленным свойством, все же от 20 до 50 % его дисперсии определяет окружающая среда (Егорова, 1995; Bouchard, 1997). Однако сегодня психологи еще недостаточно владеют средствами целенаправленного воздействия на интеллект, поэтому такой вариант в модели рассматриваться не будет. Понятно, что принятие этого варианта повысило бы итоговые оценки эффективности программ.
Во-вторых, программы работы с одаренными могут быть нацелены на увеличение возможностей реализации их потенциала при неизменном уровне интеллекта. В модели это может быть представлено в виде смещения в сторону более высоких значений продуктивности наиболее способной части населения.
Этот вариант является более реалистичным, поскольку хорошо поставленное образование одаренных, даже не повышая их способности, тем не менее позволяет вступить на путь устойчивой профессионализации и добиться на нем успехов.
Если увеличить эффективность 5 % наиболее одаренного населения на 50 %, то увеличение экономических достижений может быть посчитано следующим образом.
Найдем 95 % квантиль нашего распределения

Тогда:

Таким образом, можем сказать, что если увеличить эффективность 5 % наиболее одаренного населения на 50 %, то увеличение экономических достижений составит 7,4 % для всей страны в целом.
Количественная оценка экономического эффекта программ развития одаренных детей произведена для различных сценариев по охвату населения и по эффективности программ в плане реализации потенциала одаренных людей. Расчеты осуществлены для охвата от 0 до 5 % населения и для трех вариантов образовательной эффективности. Результаты приведены на рисунке 1.4.
Насколько велики полученные численные значения эффекта? Эти цифры представляются очень существенными и безусловно превышают все разумные расходы на программы образования одаренных детей и даже на все образование страны в целом. Конечно, они не настолько велики, чтобы ликвидировать отставание России от ведущих стран в плане экономического развития, однако в абсолютном выражении составляют десятки миллиардов рублей в год.
Очевидно, что вторая производная функции прироста ВВП при увеличении охвата населения является отрицательной, т. е. при увеличении охвата отдача от программ в пересчете на душу населения снижается. Это означает, что наибольшего экономического эффекта следует ожидать от работы с достаточно узкой прослойкой интеллектуальной элиты. Тем не менее при пятипроцентном охвате экономическая эффективность программ продолжает оставаться очень высокой.

Рис. 1.4. Количественная оценка экономической эффективности образовательных программ для наиболее одаренной части населения
Модель на основе степенной функции
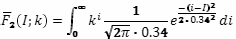
Коэффициент сдвига для показательной функции есть коэффициент масштаба, поэтому аппроксимирующую функцию мы можем представить в виде:
F2(I) = 11I.
Будем искать вклад в экономические достижения также в виде f2(i) = ki. Будем исходить из условия нормальности распределения интеллекта внутри страны с одинаковой дисперсией внутри всех стран равной 15. На приведенной шкале это будет равно 0,34.
Для отдельной страны со средним интеллектом I можем рассчитать экономические достижения:

Нам требуется, чтобы общие экономические достижения страны бы ли представимы функцией F2(I) = 11I.
Значит, должно выполняться условие:

Получим, что k = 10. Итак, f2(i) = 10i.
Проведя оценку асимметрии распределения достижений населения, получим, что вклад 20 % наиболее одаренного населения в экономические достижения России составляет 47 %. Модель на основе квадратичной функции, как было показано выше, дает оценку этого параметра в 43 %, поэтому можно констатировать совпадение двух моделей с погрешностью менее 10 %.
Проведя оценку экономической эффективности программ, получим, что если увеличить эффективность 5 % наиболее одаренного населения на 50 %, то увеличение экономических достижений составит 9 % для всей страны в целом. Результат также достаточно близок к оценкам, получаемым на основе квадратичной модели.
Следует, однако, напомнить, что в основе полученных оценок лежит допущение пропорциональности вклада групп с различным уровнем интеллекта в экономику различных стран. Это допущение заслуживает в дальнейшем эмпирической проверки.
Интеллект и экономика как решение задач
Парадигма экономики как обмена показала себя очень продуктивной в отношении анализа различных сторон экономической жизни общества. Понимание экономики как решения задач имеет локальную применимость. Возможно, однако, что с ее помощью можно будет подойти к другим сферам действительности, и тогда аппарат психологической теории способностей получит более широкое экономическое применение. Уже сейчас можно наметить поле применения разработанной модели.
Прежде всего модель может стать основой для эмпирических исследований. Одно из направлений этих исследований связано с проверкой предсказаний модели. Выше уже приводился пример такой возможности: проверить предсказание модели об увеличении асимметричности распределения достижений при повышении сложности («творческости») деятельности. Другое направление заключается в оценке реального положения дел с использованием интеллектуального потенциала в экономике различных стран и степени его реализации в образовательной системе. Так, практически важным было бы оценить то, в какой степени различные образовательные формы и структуры (специальные школы для одаренных, летние лагеря, дополнительное образование и пр.) увеличивают вероятность того, что одаренные люди в большей степени реализуют себя в творческих профессиональных достижениях. В сочетании с разработанной моделью такое исследование позволит оценить экономический эффект этих мероприятий и сопоставить его с затратами.
Модель также может расширяться и усложняться путем включения дополнительных переменных, в том числе психологических. Интеллект не является единственным психологическим конструктом, имеющим экономическое значение. Еще в середине прошлого века Мак-Клелландом была показана роль мотивации достижения для развития экономики. Основываясь на идеях М. Вебера о связи духа протестантизма с капиталистическим производством и промышленной революцией, Мак-Клелланд выдвинул предположение, что высокая мотивация достижения у населения побуждает к активной предпринимательской деятельности, которая через реинвестирование прибылей и стимуляцию технических достижений способствует экономическому росту (McClelland, 1961). Для проверки этого предположения он произвел оценку выраженности мотива достижения в различных странах, используя контент-анализ книг для чтения младших школьников. Построенная таким образом оценка мотивации достижения на 1925 г. коррелировала на уровне r = 0,53 с коэффициентом, выявляющим прирост энергопотребления в соответствующих странах в 1950 г.
Более поздние исследования подтвердили экономическое значение мотивации достижения. Было показано, что высокая мотивация достижения, устанавливаемая контент-анализом литературных произведений ушедших эпох (например, греческой лирики и эпиграмм, испанских стихов и романов, английских драм, путевых дневников и баллад), предшествует эпохам экономического подъема, отражающегося в экспорте и импорте товаров (Хекхаузен, 2003). Аналогичные по смыслу результаты были получены в исследовании изменений мотивации достижения в США (выявленной на основе контент-анализа) и числа патентов в этой стране (de Charms, Moeller, 1962).
Данные о влиянии мотивации достижения на экономические успехи находят свое логическое место в представлении экономики как решения задач. Высокая мотивация достижения увеличивает успешность в решении задач. Можно предположить, что для определенного уровня интеллекта мотивация достижения улучшает приобретение компетентностей, а также увеличивает степень реализованности компетентностей в экономически ценных результатах. Эти феномены могут быть эмпирически оценены, а затем соотнесены в рамках разработанной модели с приростом, наблюдаемым в экономике государств в связи с мотивацией достижения.
Более новые работы показали экономическую роль культурных ценностей. Так, Ш. Шварц выделяет три измерения культурных ценностей: независимость/принадлежность, иерархия/равноправие и гармония/мастерство (Schwartz, 2007). Межкультурные сравнения позволили выявить значимые связи выраженности этих ценностей в различных странах с их экономическими, политическими и социальными показателями. Например, независимость коррелирует на уровне r = 0,74–0,76 с валовым национальным продуктом на душу населения, на уровне r = –0,74 (r = –0,61 при контроле валового национального продукта) – с уровнем коррупции. Возможно, эти данные выводят на включение в модель взаимодействия людей, которое определяется такими ценностями, как независимость, и в то же время в свою очередь влияет на успешность решения экономических задач.
Наконец, модель может применяться не только на уровне анализа экономик целых стран, но и на более низком уровне – уровне отдельных предприятий. Очевидно, что работа предприятия также может быть представлена в виде решения задач, компетентность сотрудников в котором влияет на общие показатели эффективности. Таким образом, открывается возможность моделирование и оптимизация деятельности предприятий, имеющих различную структуру сложности задач.
Глава 3. Структура и генеральный фактор интеллекта
В предыдущих главах было показано высокое значение интеллекта для достижений как на индивидуальном, так и на коллективном уровне. В этой и двух последующих главах будет обсуждаться вопрос о внутреннем строении интеллекта, т. е. его структуре, и о механизмах, стоящих за этой структурой. Предварительно, однако, необходимо дать определение интеллекта.
При определении интеллекта его необходимо соотнести с близким понятием – мышлением. Родство этих терминов становится еще яснее, если их перевести словами из обыденного русского языка. В этом случае интеллекту будет соответствовать слово «ум». Мы говорим «умный человек», обозначая этим индивидуальное свойство интеллекта. Мы можем также сказать, что ум ребенка с возрастом развивается – здесь отражается проблематика развития интеллекта.
Термину «мышление» мы можем поставить в соответствие слово «обдумывание» или (менее нормативно, но, возможно, более точно) «думание». Слово «ум» выражает свойство, способность; обдумывание – процесс. Решая задачу, мы думаем, а не «умничаем» – здесь сфера психологии мышления, а не интеллекта.
Таким образом, оба термина выражают различные стороны одного и того же явления. Интеллектуальный человек – это тот, кто способен к осуществлению процессов мышления. Интеллект – это способность к мышлению. Мышление – процесс, в котором реализуется интеллект.
В паре терминов, где один выражает процесс, а другой – способность к нему, и где возникает необходимость определить один через другой, базовым должен быть термин, обозначающий процесс. Поэтому оптимальным является определение интеллекта через мышление.
Основные определения мышления сводятся к двум типам. В первом случае мышление определяется как решение задач. При этом, однако, решение задач (понимаемых как цель, данная в условиях) шире, чем мышление. Например, занести шкаф на пятый этаж означает решить задачу, которая все же далеко не полностью относится к мышлению. Возникает, следовательно, достаточно сложная проблема сужения и уточнения этого определения.
В связи со сказанным более оптимальным представляется определение мышления как специфического вида познания. Например: «Мышление – это опосредованное <…> и обобщенное познание объективной реальности» (Рубинштейн, 1989, с. 361).
Структура интеллекта. Математико-статистический уровень анализа
Для интеллекта как индивидуально-психологического свойства центральным является понятие структуры, т. е. сетки координат, в которой может быть наиболее точно и информативно охарактеризован интеллект любого человека[8]. Другими словами, если существует множество ситуаций, в которых человек проявляет интеллектуальные способности, то проблема заключается в том, чтобы наиболее точно предсказать его поведение в любой данной ситуации, исходя из минимального набора испытаний.
Проблема структуры интеллекта важна с практической точки зрения, поскольку ее выявление позволяет решать задачи в сфере отбора кадров, развития одаренности и т. д. Однако она важна и с теоретической точки зрения, поскольку, анализируя структуру интеллекта, можно надеяться подобрать ключи к пониманию его механизмов.
Проблема структуры интеллекта может быть проанализирована на нескольких уровнях. На математико-статистическом уровне строятся факторные модели, которые затем интерпретируются на уровне анализа психологических механизмов. В свою очередь, для психологических механизмов можно искать психофизиологическое обоснование.
Ч. Спирмен, положивший начало разработке факторного анализа, показал, что между большинством мер интеллекта существуют положительные корреляции. Он обозначил это термином «положительная множественность» (positive manifold). Это означает, что если субъект А существенно превосходит субъекта В по ряду субтестов интеллекта, то с большой вероятностью А будет превосходить В и по другим субтестам. Спирмен высказал также утверждение, что существует единый фактор, определяющий успешность решения задач от наиболее сложных математических до сенсомоторных проб.
Главным оппонентом Спирмена стал американский ученый Л. Терстон, который обосновывал мнение, что существует не единый интеллектуальный фактор, а набор независимых способностей, которые определяют успешность интеллектуальной деятельности.
Очень скоро, однако, стало выясняться, что обе позиции представляют собой упрощение, а истина лежит посередине.
Эволюцию претерпели уже взгляды основателя подхода Спирмена, который согласился, что добавление дополнительных более локальных факторов улучшает модель. Однако при этом сохраняется особый статус первого, генерального фактора (Спирмен назвал его фактором G, от general – общий). Критериев для признания первого фактора генеральным два, и они должны одновременно выполняться: во-первых, по этому фактору должны быть положительно нагружены все задания (или подавляющее их большинство); во-вторых, процент объясняемой дисперсии должен быть велик – как правило, не менее 40. Результаты решения сотен интеллектуальных задач тысячами испытуемых при факторизации дают каждый раз сходную картину. Факторная структура, получаемая без вращения, образует выраженный генеральный фактор. Такая структура изображена на рисунке 1.5 слева и носит в англоязычной литературе название «гнездовой» (nested).
Таким образом, решение любой конкретной задачи человеком, согласно Спирмену, зависит от развития у него как способности, связанной с фактором G, так и от одной или нескольких из набора специфических способностей, необходимых для решения узкого класса задач. Эти специальные способности носят у Спирмена название S-факторов (от special – специальный). Роль фактора G наиболее велика при решении математических задач и задач на понятийное мышление. Для сенсомоторных задач роль общего фактора уменьшается при увеличении влияния специальных факторов.
Другая картина, однако, складывается при применении факторного анализа с вращением. Факторный анализ приводит к распределению в многомерном пространстве точек, соответствующих факторизуемым объектам. Однако выбор системы координат, ортогональных или косоугольных, в этом пространстве произволен. В то же время именно система координат позволяет дать факторам ту или иную содержательную интерпретацию. Вращение системы координат, представляющее собой математически корректную процедуру, приводит к изменению интерпретации всех данных.
При проведении вращения проценты дисперсии, объясняемые несколькими первыми факторами, в значительной степени выравниваются, в результате чего первый фактор становится невозможно трактовать как генеральный: падает процент объясняемой им дисперсии, и не все задания оказываются нагруженными по нему. Решение, полученное после вращения, таким образом, не имеет генерального фактора. Однако при факторизации полученных факторов возникает один фактор более высокого порядка, который может интерпретироваться как генеральный. Получаемая факторная структура, которая носит название иерархической, изображена на рисунке 1.5 справа.
Итак, справа изображена иерархическая модель, которая возникает из результатов факторного анализа с вращением и вторичной факторизацией. Факторы первого уровня в ней нагружены по генеральному фактору, который располагается на следующем уровне.
Слева – гнездовая модель, которая вытекает из традиции факторизации без вращения. Генеральный фактор в ней непосредственно связан со всеми задачами, которые нагружены и по специальным факторам.
Таким образом, на одних и тех же данных, получаемых в большинстве исследований, возможны две альтернативные интерпретации. Какая из этих интерпретаций оптимальна? Ответ на этот вопрос тем более сложен, что при вращении процент дисперсии, определяемой выделенными факторами, не меняется, так что объяснительная сила обоих вариантов решения одинакова.
В современной психологии интеллекта эксплораторный факторный анализ, который обсуждался до сих пор, не только дополнен, но и фактически вытеснен конфирматорным, позволяющим сравнивать соответствие данным различных априорно заданных моделей. Применение конфирматорного анализа, безусловно, позволяет существенно продвинуться в плане проверки гипотез. В принципе можно сопоставить гнездовую и иерархическую модели в плане их соответствия данным. Однако применительно к структуре интеллекта конфирматорный анализ показывает фактически одинаковую применимость двух принципиально разных типов моделей, которые изображены на рисунке 1.5. Хотя иерархическая и гнездовая модель не тождественны, однако разница между их предсказаниями весьма невелика, что на практике часто делает невозможным окончательное предпочтение одной из них.

Рис. 1.5. Гнездовая и иерархическая модели интеллекта
Любое исследование интеллекта на практике имеет дело с ограниченным кругом задач, предъявляемых выборке. Тесты интеллекта заставляют испытуемых работать с максимальными усилиями и оказываются достаточно утомительными. Набрать большое количество испытуемых, чтобы провести батарею из 40–60 субтестов, непростая задача для экспериментатора. В то же время число различных типов заданий, применяемых при тестировании интеллекта, измеряется сотнями. Оптимальным для оценки факторной структуры интеллекта было бы проведение всех возможных субтестов на одной и той же выборке (не следует забывать, что для проведения факторного анализа число испытуемых должно существенно превышать число субтестов) с последующей факторизацией. Однако по приведенным выше практическим соображениям это трудноосуществимо[9]. Наиболее частыми являются исследования с относительно ограниченным числом субтестов. Соответственно, в зависимости от набора субтестов в конкретном исследовании оптимальной может оказаться либо иерархическая, либо гнездовая модель, однако удовлетворительность обеих часто бывает на примерно одинаковом уровне.
Для анализа общей структуры интеллекта, однако, интерес представляют именно исследования, выполненные на большом тестовом материале, а не анализ факторной структуры теста Векслера или Амтауера.








