Атмосфера должна быть чистой. Применение статистических методов при аттестации источников эмиссии и оценке качества атмосферного воздуха

- -
- 100%
- +
Следуя сказанному выше, формальное определение одного (разового) измерения концентрации


Если контрольным периодом является промежуток





То есть, среднее арифметическое обладает выборочной неустойчивостью, а соответствующая дисперсия зависит от объема выборки n. Очевидно, что максимальное число измерений


Следуя терминологии математической статистики число (N) можно назвать объемом генеральной совокупности [ 16 ].
Дисперсия среднего арифметического может зависеть от степени связности соответствующих экспериментальных значений


Каждое загрязняющее атмосферу вещество требует вполне определенного времени экспозиции для того, чтобы проявился определенный эффект воздействия. Например, концентрация порога запаха может быть определена органолептически (organoleptical) человеком в течение 1 – 2 сек [ 34 ]. С другой стороны требуется гораздо большее время экспозиции для окиси углерода (СО), чтобы вызвать определенные эффекты в расстройстве здоровья людей. Растения могут быть повреждены при времени экспозиции менее 1 часа, если концентрация (SO2) или (NO2) достаточно высока. Таким образом, для того, чтобы связать эффекты воздействия загрязнителей атмосферы с их концентрациями, последние должны быть проанализированы как функции времени экспозиции. Это может быть сделано осреднением концентрации за некоторые периоды времени. В работе [35] приводятся зависимости между 8-часовыми уровнями концентрации (СО) в воздухе и уровнями (СО) в крови. Отмечена очень хорошая корреляция процессов. В то же время, отмечено, что 1 – часовые уровни концентрации (СО) являются плохими индикаторами содержания (СО) в крови, так как последние регулируются достаточно медленными процессами сорбции и десорбции.
Частота, с которой данная концентрация ингредиента может быть превышена, определяет частоту с которой может ожидаться определенный эффект воздействия. Таким образом, для того чтобы связать концентрации с их воздействием, данные о качестве воздуха должны быть проанализированы как функции времени осреднения и частоты.

Долгое время господствовало убеждение, что вполне случайное распределение должно быть строго симметричным и всякую асимметрию считали признаком тенденции к преимущественному появлению односторонних значений и, следовательно, признаком наличия каких-то связей, исключающих случайность. На самом деле это не так. Нетрудно показать, что любая функция случайной переменной, и любая функция распределения может быть преобразована в функцию распределения заданной формы. Нет никаких специальных оснований полагать, что именно тот, а не другой аргумент целиком управляет явлением.

Так как значения ПДК для многих ЗВ весьма малы и находятся на границе чувствительности многих методов и приборов, ошибки измерений резко возрастают. Возможность появления больших средних квадратичных отклонений данных измерений, не зависимо от причин их генерирующих, и как следствие появление больших ошибок вычисления средних (больших 100%) приводит к необходимости использования несимметричных доверительных интервалов и несимметричных функций распределения вероятности.
В частности, такие функции должны быть ограничены слева значением



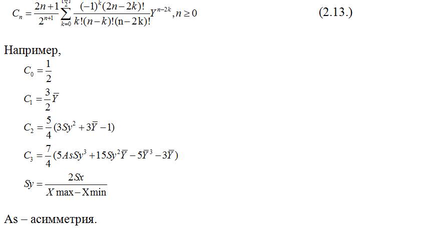
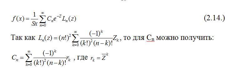
Для аппроксимации функции распределения случайных величин Х, изменяющихся на конечном интервале



Аналогично, предлагалось использовать разложение по полиномам Лагерра.

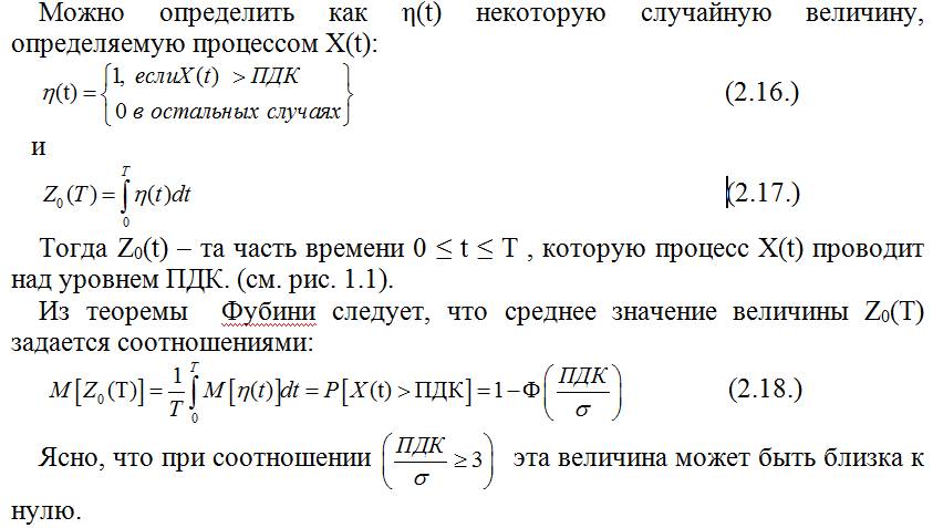
Данный подход универсален и позволяет получить достаточную

К недостаткам этих представлений следует отнести относительную сложность расчетных процедур и необходимость вычисления лишних моментов и семиинвариантов, так как не учет моментов 5-го и 6-го порядка приводил к генерации отрицательных частот [5].
К недостаткам таких аппроксимаций можно отнести и существенное влияние ошибок в определении параметров реальных распределений.
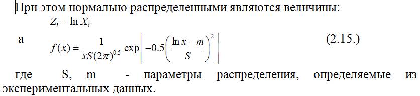
В последнее время появился ряд убедительных свидетельств в пользу возможности использования логарифмически нормального распределения для выравнивания распределения частот данных о загрязнении воздуха [22,23,39,51].

Характерной особенностью логнормального распределения является зависимость дисперсии от математического ожидания, таким образом, что коэффициент вариации остается близким к единице (рис. 2.4.).

Правомерность использования распределения (2.15.) для аппроксимации распределения частот эмпирических данных о загрязнении воздуха и воды отмечалась во многих экспериментальных работах [22, 23, 29, 31,51], подобные выводы делались и из некоторых общих соображений [31], известны и попытки строгого математического доказательства этих факторов с использованием (распространением) центральной предельной теоремы на случай, когда отдельные измерения случайной величины (Х) не являются независимыми [ 5 ]. Аргументом в пользу применения логнормального распределения является его простая функциональная связь с распределением Гаусса, что позволяет использовать в готовом виде классические решения теории оценок и критериев значимости.
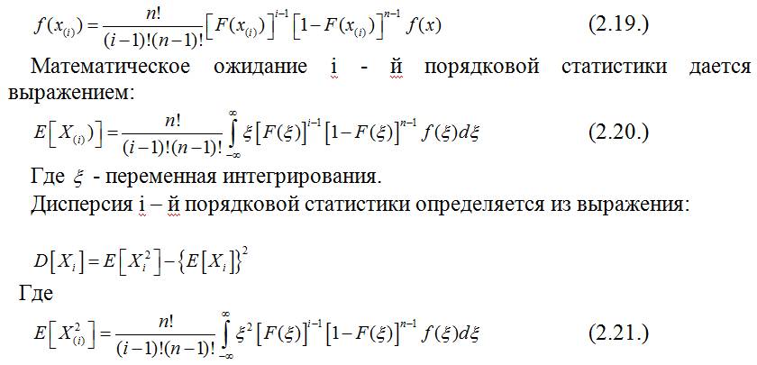
Использование функций от случайных величин вместо самих случайных величин может оказаться весьма плодотворным и в оценках параметров порядковых статистик [13, 14, 15]. Изучение вопроса о значениях порядковых статистик, играет принципиальную роль в возможности оценки экстремальных значений временных рядов. Смысл необходимости достоверных оценок экстремумов заключается в том, что основной задачей управления качеством окружающей среды является поддержание максимальных значений концентрации ЗВ ниже установленных границ допуска.
Стандарты качества воздуха качества воздуха характеризуются значениями предельно допустимых концентраций ПДК.

В других странах, например, США стандарты включают и другие интервалы осреднения – 1 час, 3 часа, 8 часов и некоторые другие. Из цитируемых работ можно заключить, что максимальная концентрация для каждого периода может быть превышена раз в году.

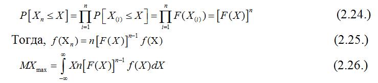
Формально данный вопрос можно исследовать с позиции теории пересечения некоторым случайным процессом Х(t) фиксированного уровня – границы допуска.
Теория проблем, связанных с пересечениями рассмотрена, например, в книге Крамера Г. и Лидбеттера М. [ 5 ].

Таким образом, следуя требованиям стандарта, значения функции Х(t) могут сколько угодно раз касаться уровня ПДК, но не должны пересекать его на всем интервале



Таким образом, четко определяется задача оценки санитарно-гигиенической обстановки. Это – оценка возможных экстремальных значений концентрации за отчетный период

Оценки экстремальных значений могут быть сделаны разными способами, в том числе и простым и естественным перебором всех (n) экспериментальных значений, что обычно и делается в производственной практике. На самом деле, это может привести к учету заведомо ошибочных данных, кроме того не дает возможности объективно оценить частоты и вероятности.

Если же промежуток времени между отдельными измерениями ∆t = 0, то метод перебора оправдан, но не позволяет, все-таки, исключить ошибочные и «выскакивающие», то есть не принадлежащие данной статистической совокупности значения. Кроме того, в этом случае, возможно наличие корреляционной связи между членами временного ряда, что ведет к необходимости обработки лишней информации.
Таким образом, во всех случаях целесообразно находить экстремальные значения при помощи какого-либо алгоритма.
У одномерной выборки, состоящей из (n) значений, всегда имеются, по крайней мере, два конечных и однозначно определяемых экстремальных значения и также конечная широта, являющаяся разностью между этими значениями. На первый взгляд кажется, что нахождение экстремума совсем простая задача, достаточно лишь расположить (n) выборочных значений в порядке возрастания их величины и рассмотреть значения, стоящие на i – ом месте от начала или конца (в дальнейшем нас будет интересовать i – е верхнее значение), тогда при

Как известно [40], порядковые статистики представляют собой зависимые случайные величины (даже если исходная совокупность независимая) и поэтому описывается некоторым совместным распределением.


Ковариация между i-й и j-й порядковыми статистиками


Следовательно,

Последнее выражение позволяет оценить Xmax если есть информация о распределении генеральной совокупности. Для нормальной или логнормальной функции распределения, оценки математических ожиданий i – х порядковых статистик могут быть выполнены только численным интегрированием на ЭВМ.
Если известны распределение и плотность генеральной совокупности F(X) и f(X), то можно находить любой контрольный уровень (Xmax) с любой вероятностью его не превышения (превышения) из уравнения:

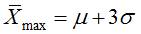
Из последнего выражения видно, что оценки вида

Аналогичные оценки можно получить и для логнормального распределения. Какую же величину вероятности следует задавать для оценки экстремального значения? Однозначных рекомендаций нет. Используют уровень 2σ, то есть 95% и 3σ, то есть 99,7%. Задают и более жесткие границы, например, для частоты экстремального значения в работе [35] рекомендуется уровень 0,01%.
Конечно, одни нормы более «мягкие», другие более «жесткие», но на практике можно было бы ограничиться любыми уровнями, обеспечивающими вероятность не превышения 95%, главным является понимание того, что любая граница допуска может быть задана с определенной вероятностью ее не превышения. В данной работе предполагается детально исследовать этот вопрос и выдать конкретные рекомендации для практического использования.
Существует еще один аспект проблемы оценки санитарно-гигиенической обстановки, который связан со стационарностью рассматриваемых случайных функций (случайных процессов).
Этот вопрос имеет принципиальное значение, прежде всего для возможности применения эргодической гипотезы (общей эргодической теоремы – предельной теоремы для среднего значения случайных функций) [42]. В общем случае математическое ожидание и дисперсия случайной функции сами являются функциями времени. Если эти функции представляют собой долгопериодные регулярные колебания (как в случае метеорологических рядов), то они могут быть выявлены методами гармонического анализа и использованы для прогноза. В случае же нерегулярных колебаний, как возможность диагностики, так и прогноза становится проблематичной.
Конец ознакомительного фрагмента.
Текст предоставлен ООО «ЛитРес».
Прочитайте эту книгу целиком, купив полную легальную версию на ЛитРес.
Безопасно оплатить книгу можно банковской картой Visa, MasterCard, Maestro, со счета мобильного телефона, с платежного терминала, в салоне МТС или Связной, через PayPal, WebMoney, Яндекс.Деньги, QIWI Кошелек, бонусными картами или другим удобным Вам способом.


