Натуральные числа. Этюды, вариации, упражнения

- -
- 100%
- +
Время покажет, приживется ли это предложение.
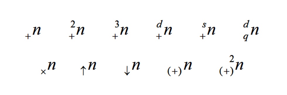
Среди унарных операций, которые можно провести с каждым натуральным числом есть одна, которая первоначально использовалась не в математических целях, а в целях околонаучных, типа гаданий, предсказаний и тому подобного. Операция называется вычисление цифрового корня числа. Цифровой корень натурального числа – это цифра, полученная в результате повторяющегося процесса суммирования цифр сначала данного числа, затем вновь полученного, повторяя процесс до тех пор, пока не будет получена одна цифра. Например, цифровой корень числа 1987652 это 2, потому что 1+9+8+7+6+5+2=38, далее 3+8=11 и, наконец, 1+1=2. Для этой операции встречается и другое название – конечная сумма цифр. В обоих случаях название многословное. Пользуясь сказанным выше, по аналогии, можно ввести обозначение для этой унарной операции: (+)n – тогда запись примет вид: (+)1987652=2. Объяснение вводимого знака следующее: + означает суммирование цифр, а круглые скобки показывают, что суммирование неоднократное, как в периодической дроби они показывают период цифры.
Очевидное свойство цифрового корня: n≤9(+)n=n, то есть цифровой корень однозначного числа равен этому числу, а точнее этой цифре. Имеет место следующее утверждение: Сумма цифр числа n имеет такой же остаток при делении на 9, как и число n.
Поскольку, если число больше 9, сумма цифр этого числа меньше самого числа, то справедливы следующие две формулировки:
а). Цифровой корень числа совпадает с остатком от деления исходного числа на 9, если только этот остаток отличен от 0.
б). Для чисел, сравнимых с 0 по модулю 9, цифровой корень равен не 0, а 9.
Цифровые корни часто используют для того, чтобы убедиться, что какое-нибудь очень большое число не является точным квадратом или кубом. Все квадраты имеют цифровые корни 1, 4, 7 или 9, а их последними цифрами могут быть 2, 3, 7 или 8. Кубы могут оканчиваться на любую цифру, но их цифровыми корнями могут быть только 1, 8 или 9.
Определившись с математическими операциями на множестве натуральных чисел, в том числе с операциями унарными, которые в этом множестве часто применяются, перейдем к изучению свойств натуральных чисел. Но прежде хочу поместить изображения вводимых унарных операций так, как они выглядят в редакторе формул, а не в клавиатурном наборе. Клавиатурный набор искажает эти знаки. Последний знак еще не введен, он встретится в дальнейшем изложении. Подчеркну, что введенные обозначения объединены одной идеей, легко запоминаются и допускают продолжение, то есть введение новых обозначений по аналогии при возникновении необходимости.

Вернемся к числам. При рассмотрении натуральных чисел имеют место несколько подходов к изучению их свойств. Рассматривая некое свойство, из множества всех натуральных чисел выделяется подмножество чисел, обладающих данным свойством, и этому подмножеству присваивается характеристический термин в виде прилагательного. Как оказалось, таких прилагательных потребуется много. Иногда в таком подмножестве будет конечное количество чисел, но это редко, чаще всего из бесконечности выделяется другая бесконечность. Мы получаем интереснейшее явление: в бесконечном множестве можно выделить бесконечно много бесконечных подмножеств.
С другой стороны выделенное подмножество можно рассматривать как числовую последовательность, обладающую определенным свойством и говорить не просто о подмножестве, а об упорядоченном подмножестве, в котором можно пронумеровать его члены, то есть превратить подмножество в последовательность.
Еще один подход в рассмотрении натуральных чисел – это извлечь из натурального ряда конкретное число, рассмотреть свойства этого числа, присущие именно ему и поставить вопрос, есть ли другие числа, обладающие подобным свойством. Иначе говоря, дать числу характеристику. Особенно интересен вопрос вариативного представления чисел с помощью математических действий и знаков. Например, 100=(1+2+3+4)2=13+23+33+43. В таких вариациях с числами своя, математическая красота. Этими процессами мы и займемся далее.
Натуральный ряд чисел напоминает мне клавиатуру фортепиано с чередованием черных и белых клавишей: нечетное, четное, нечетно, четное и так далее. Представьте себе, что каждому числу был бы присущ определенный звук. Если уж на 88 клавишах фортепиано много веков композиторы создают мелодии, исчерпать разнообразие которых кажется невозможно, то какую музыку услышали бы мы, если бы числа звучали! Подумав об этом, решил писать не главы книги, а этюды, вариации и упражнения. Как будто мы учимся играть на фортепиано.
Вариации на тему разнообразия натуральных чисел
Вариация – произведение, представляющее собой повторение и разработку одной темы в различных видоизменениях.
Эта книга о натуральных числах, следовательно, о математике, но написана она на русском языке, и при изложении материала невозможно обойтись без прилагательных. Поэтому поговорим о прилагательных, которыми могут характеризоваться различные числа. Уверяю вас, в этом направлении можно найти много интересного, возможно, ранее неизвестного вам. За основу берем узкую область математики – только натуральные числа (первое прилагательное). При этом мы должны отбросить такие прилагательные как: отрицательные, целые, противоположные, дробные, рациональные, иррациональные, трансцендентные, алгебраические, действительные, вещественные, комплексные и гиперкомплексные. Все эти слова относятся к последующим расширениям множества натуральных чисел, не входящим в область нашего рассмотрения. Думаете, после этого останется мало прилагательных, которые можно «приложить» к натуральным числам? Как бы ни так, их еще удивительно много. В первую очередь натуральные числа являются положительными числами (второе прилагательное), к которым относятся все числа большие нуля.
Это были два общих определения, относящиеся ко всем натуральным числам. Далее мы будем использовать некие характеристические свойства, позволяющие выделить определенные числа из общей массы натуральных чисел или разбить их на непересекающиеся, а может быть и пересекающиеся подмножества. Классификацию будем вести одновременно по двум уровням. В первый уровень выделим основополагающие классы чисел, а во второй производные от основных определений, менее значимые.
Первый уровень классификации
Критерий – количество цифр в числе
По количеству цифр в записи числа натуральные числа можно разделить на следующие непересекающиеся подмножества:
однозначные, состоящие из одной цифры: 1, 2, 3, 4, 5, 6, 8, 9 (их всего девять);
двузначные, состоящие из двух цифр: от 10 до 99 (их девяносто);
трехзначные, от 100 до 999 (их девятьсот) и так далее, с обобщающим прилагательным – многозначные.
Критерий – делимость чисел
Взяв в качестве инструмента для классификации деление чисел, получаем разбиение натуральных чисел на четные и нечетные, простые и составные, избыточные и недостаточные, наконец, совершенные и дружественные.
Поговорим о каждом виде чисел подробнее.
Начнем с четных и нечетных, с ними нет никаких затруднений, они изучаются в школе. Четными называются числа, которые делятся на 2 без остатка: 2, 4, 6, 8, 10, 12, 14, 16, 18, 20, 22, 24,…. Нечетными называются числа, которые не делятся на 2, а дают остаток 1 при делении на 2: 1, 3, 5, 7, 9, 11, 13, 15, 17, 19, 21, 23,….
В натуральном ряду чисел идут попеременно нечетное число, четное число, нечетное, четное. При сложении двух четных чисел, получается четное число, при сложении двух нечетных чисел тоже получается четное число: 8+18=26, 9+19=28. Если складывают четное число с нечетным, то получается нечетное число. Если умножаются нечетные числа, то получается число нечетное, а если хотя бы один сомножитель четный, то и всё произведение будет четным. Деление на четные и нечетные числа разбивает множество натуральных чисел на два равных, бесконечных и непересекающиеся подмножества.
По-другому произойдет разбиение натуральных чисел, если ввести более широкое понятие кратность. Натуральное число, которое делится на данное натуральное число без остатка, называется кратным данного числа. Про четные числа можно сказать, что они кратны числу 2.
Далее можно говорить о числах, которые кратны 3: 3, 6, 9, 12, 15, 18, …; кратны 4: 4, 8, 12, 16, 20, …; кратны 5: 5, 10, 15, 20, … и так далее. Получаются пересекающиеся подмножества, имеющие общие элементы. Так число 12 кратно 2, 3, 4, 6 и 12. Ему хоть разорвись, но нужно попасть в пять различных подмножеств. В них же попадут числа 24, 48 и другие. Любое натуральное число имеет бесконечно много чисел кратных ему. Наименьшим из кратных некоторого числа является само это число. Например, наименьшее число кратное 7 – это само число 7. Получили еще одно прилагательное для характеристики натуральных чисел – кратное.
Критерии – количество делителей и их суммы
Натуральное число, имеющее ровно два делителя (единицу и само себя), называется простым. Это одно из важнейших подмножеств натуральных чисел. Доказано, что простых чисел бесконечно много, и написано о них бесконечно много, так как они не так уж просты, как их назвали, поэтому о них поговорим чуть позже и отдельно.
Все натуральные числа, кроме единицы и простых, имеют более двух делителей. Натуральные числа, имеющие более двух делителей, называются составными. В связи с делимостью чисел рассматривают две операции: сумма всех делителей числа +dn, включает само это число, и сумма собственных делителей +sn, которая рассматривается без самого числа. Например, +d12=1+2+3+4+6+12=28; +s12=1+2+3+4+6=16.
С помощью суммы собственных делителей числа, все числа делятся на три класса:
если сумма собственных делителей меньше самого числа (+sn<n), то число называется недостаточным;
если сумма собственных делителей больше самого числа (+sn>n), то число называется избыточным;
если свершится чудо и сумма собственных делителей будет равна самому числу (+sn=n), то число называется совершенным!
Следует отметить, что древние греки, от которых идут основы теории чисел, не считали само число его делителем. Чтобы наглядно прочувствовать разбиение натуральных чисел на отдельные виды, нужно поработать с числами. Возьмем для примера первые 100 чисел натурального ряда. Вычислим делители каждого из чисел, найдем количество делителей, сумму всех делителей числа и сумму собственных делителей. После этого можно будет сделать некоторые выводы о количестве тех или иных чисел в первой сотне.





В первой сотне выявлено только два совершенных числа 6 и 28. Совершенные числа – это большая редкость.
Простых чисел в первой сотне 25. Исключаем единицу, как не относящуюся ни к простым числам, ни к составным, следовательно, в первой сотне 74 составных числа. Составных чисел больше и отношение количества составных чисел к количеству простых равно 74/25=2,96.
Избыточных чисел в первой сотне 22, недостаточных больше, их 75. Отношение количества недостаточных чисел к количеству избыточных равно 75/22=3,4(09). Как много бедных, как мало богатых…, среди чисел, разумеется. Эти соотношения меняются в зависимости от рассматриваемого отрезка натурального ряда чисел. В интернете можно найти таблицу делителей натуральных чисел от 1 до 1000 и даже до 10 000. Для множества в тысячу чисел результаты следующие: простых чисел 168, следовательно, составных 831 и соотношение равно 831/168=4,95.
Рассмотрим поближе избыточные числа: 12, 18, 20, 24, 30, 36, 40, 42, 48, 54, 56, 60, 66, 70, 72, 78, 80, 84, 88, 90, 96, 100 … .
Существует бесконечно много как чётных, так и нечётных избыточных чисел. Уверяю вас, это утверждение доказано, но посмотрите на перечисленные избыточные числа первой сотни! Не в пору ли усомниться в сказанном, где среди них нечетные числа? Их нет. Наименьшим избыточным числом является 12, это мы видим в приведенной таблице. Оказывается, избыточные нечетные числа более редкая вещь и чтобы найти наименьшее из них пришлось бы перебирать числа первой тысячи, так как наименьшим нечетным избыточным числом является 945, которое стоит на 386-ом месте среди избыточных чисел. В тексте будут попадаться задания для читателей отмеченные цифрой и знаком вопроса. На такие задания в конце книги даются ответы.
1?. Какое следующее по порядку нечетное избыточное число из бесконечного множества нечетных избыточных чисел?
Попробуйте найти сами. Подскажу только, что и во второй тысяче есть только одно нечетное избыточное число, в третьей тысяче их два и так далее. Довольно редкие создания. Если говорить о множестве всех натуральных чисел, то почти каждое четвёртое натуральное число является избыточным. Более точно установлено, что произвольно взятое натуральное число является избыточным с вероятностью, лежащей между 0,2474 и 0,2480.
Интересную закономерность доказал советский математик Лев Шнирельман: любое натуральное число, большее 28 123, может быть представлено в виде суммы двух избыточных чисел. Видите, работают люди с натуральными числами, находят новые закономерности. Нам и далее будут встречаться закономерности и проблемы, связанные со сложением чисел, их называют аддитивными, в отличие от вопросов, связанных с умножением, называемых мультипликативными. Почему-то аддитивных проблем в теории чисел больше, видимо, это заложено в аддитивном принципе получения множества натуральных чисел. Таким образом, Лев Шнирельман доказал одну из аддитивных теорем.
Нельзя обойти вниманием недостаточные числа. Их гораздо больше, чем избыточных, поэтому им всегда уделяли меньше внимания, никакой благотворительности, сами пусть разбираются, почему они недостаточные. Вот сколько недостаточных набралось среди первых пятидесяти чисел: 1, 2, 3, 4, 5, 7, 8, 9, 10, 11, 13, 14, 15, 16, 17, 19, 21, 22, 23, 25, 26, 27, 29, 31, 32, 33, 34, 35, 37, 38, 39, 41, 43, 44, 45, 46, 47, 49, 50. Существует бесконечно много как чётных, так и нечётных недостаточных чисел. Но обратите внимание, нечетные числа среди недостаточных чисел встречаются гораздо чаще четных в отличие от чисел избыточных. Тоже ведь интересно, почему образовалось такое распределение? Возможно потому, что к недостаточным числам относятся все простые числа (так как у них только один собственный делитель – это единица), а также степени простых чисел и собственные делители недостаточных и совершенных чисел.
Переходим в область редко встречающихся чисел и поговорим о редкостях, превосходящих в своей исключительности даже нечетные избыточные числа. Совершенные числа были известны как древним грекам, так и математикам древнего Востока. До Евклида были известны только два совершенных числа, которые находятся в первой сотне натуральных чисел: 6 и 28. Евклид вывел формулу для получения четных совершенных чисел, он доказал, что четное совершенное число имеет вид 2p-1·(2p-1), где p простое число и при этом 2p-1 также должно быть простым. Используя эту формулу, он нашел третье и четвертое совершенные числа при p=5 и p=7.
25-1·(25-1)=16·(32-1)=16·31=496;
27-1·(27-1)=64·(128-1)=64·127=8 128.
Формула Евклида позволяет без труда доказывать многочисленные свойства совершенных чисел. Все совершенные числа треугольные (об этом дальше). Это значит, что, взяв совершенные число шаров, мы всегда сможем сложить из них равносторонний треугольник. Все совершенные числа, кроме 6, можно представить в виде частичных сумм ряда кубов последовательных нечетных чисел: 13+33+53+ … . Впоследствии Леонард Эйлер строго доказал, что все чётные совершенные числа имеют вид, указанный Евклидом. В первой сотне их оказалось всего два, а далее они отстоят друг от друга все дальше и дальше. Почти полторы тысячи лет люди знали только четыре совершенных числа. Трудность состояла не в том, чтобы подставить в формулу очередное простое p, а в том, чтобы проверить простоту 2p-1. Требовались большие по объему вычисления, а вычислительной техники не существовало. Только в XV веке смогли обнаружить пятое совершенное число 33 550 336, соответствующее p=13 в формуле Евклида. Сделал это немецкий математик Региомонтан. В следующем веке немецкий учёный Шейбель нашел ещё два совершенных числа: 8 589 869 056 и 137 438 691 328. Они соответствуют p=17 и p=19. Независимо от него на совершенство этих чисел указывали итальянец Катальди и француз Марин Мерсенн.
Самое любопытное, что четные совершенные числа кроме 6 (а до сих пор не было найдено ни одного нечетного совершенного числа!) заканчиваются в десятичной записи на 16, 28, 36, 56, 76 или 96. Если отбросить наименьшее совершенное число 6, то у всех остальных совершенных чисел цифровой корень равен 1.
С появлением компьютеров стали возможными вычисления, превосходящие человеческие возможности. На январь 2018 года известно 50 чётных совершенных чисел. Но по-прежнему неизвестно, бесконечно ли множество всех совершенных чисел. Нечётных совершенных чисел до сих пор не обнаружено, однако не доказано и то, что их не существует. Неизвестно также конечно ли множество нечётных совершенных чисел, если они существуют.
Проверено, что нечётное совершенное число, если оно существует, превышает 101500; при этом число простых делителей такого числа с учётом кратности не меньше 101. Поэтому не бросайтесь сразу искать нечетное совершенное число, это уже дело компьютерных программ, а не человека.
В природе кроме редких драгоценных камней существуют более распространенные полудрагоценные камни. У нас кроме совершенных чисел будут рассмотрены не совсем совершенные, но их мы отнесем во второй уровень классификации, в виду ослабления характеристического критерия.
С древних времен пару чисел 220 и 284 считали символом дружбы. В средние века имели хождение талисманы с выгравированными на них числами 220 и 284, якобы способствующими укреплению любви. Чем же заинтересовали людей эти два с виду обыкновенных числа?
Список собственных делителей числа 220: 1, 2, 4, 5, 10, 11, 20, 22, 44, 55 и 110, сумма делителей равна 284.
Список собственных делителей числа 284: 1, 2, 4, 71 и 142, сумма делителей равна 220.
Последователи Пифагора дали этим числам название – дружественные числа. Однако пифагорейцы знали только одну пару дружественных чисел – 220 и 284. Если для двух натуральных чисел сумма собственных делителей первого числа равна второму из этих чисел и наоборот, то такие два числа называются дружественными.
То есть, пару натуральных чисел M, N называют дружественной, если: m1+m2+…+mk=N, n1+n2+…+ni=M, где m1, m2,…,mk собственные делители числа М, n1, n2,…,ni собственные делители числа N.
Многие математики занимались поисками дружественных чисел, хотя большого значения для теории чисел эти пары не имеют, но являются любопытным элементом занимательной математики. Формулу для нахождения некоторых пар дружественных чисел предложил примерно в 850 году арабский астроном и математик Абу-л-Хасан Сабит ибн Курра. Его формула позволила найти две новые пары дружественных чисел: 17 296 и 18 416; 9 363 584 и 9 437 056. Восток дело тонкое и в Европе об этом узнали гораздо позже того, как сами нашли эти числа. Первым из западных математиков новую пару дружественных чисел нашел француз Пьер Ферма (1601-1665), потом обнаружили, что их упоминал в своем трактате марокканский ученый Ибн аль-Банна аль-Гарани (1256-1321). Через два года после Ферма еще одну пару нашел Рене Декарт. После Декарта великий Леонард Эйлер нашел свой критерий, с помощью которого смог пополнить множество дружественных чисел на несколько десятков. Пишу так расплывчато, потому что в разных источниках упоминается разное количество пар дружественных чисел найденных Эйлером.
Указанные выше две пары дружественных чисел фактически не являются второй и третьей, по величине входящих в них чисел, так как многие гораздо меньшие пары дружественных чисел были пропущены и вторая пара по величине: 1184 и 1210, а пара 17 296 и 18 416 стоит в последовательности на восьмом месте. Пару дружественных чисел 1184 и 1210 пропустили Ферма, Декарт и Эйлер, а обнаружил ее в 1866 году 16-летний итальянский школьник – Никколо Паганини – полный тёзка великого скрипача. Школьник потряс математический мир сообщением о том, что числа 1184 и 1210 дружественные! Эту пару, ближайшую к 220 и 284, проглядели все знаменитые математики, изучавшие дружественные числа. Вот так делаются открытия во множестве натуральных чисел!
Дружественные числа продолжают скрывать множество тайн. Неизвестно, конечно или бесконечно количество пар дружественных чисел. В различных источниках называется разное количество найденных пар дружественных чисел, где-то называют 400, где-то 1100 пар, а в Википедии сказано, что на апрель 2016 года известно более миллиарда пар дружественных чисел. Среди них преобладают пары четных чисел, но встречаются и нечетные пары, например седьмая пара: 12 285 и 14 595. Пока не найдена четно-нечетная пара, и поэтому неизвестно, существует ли такая смешанная пара дружественных чисел. Неизвестно существует ли общая формула, позволяющая описать все пары дружественных чисел.
Критерий – разложение на множители
На стыке теории чисел и геометрии рассмотрим так называемые фигурные числа. Это понятие было введено последователями Пифагора. Они представляли собой некое философско-религиозное сообщество, занимавшееся многими науками, в частности они изучали свойства чисел. Со времён пифагорейцев традиционно различают следующие виды фигурных чисел.
Линейные числа – числа, не разлагающиеся на сомножители большие единицы, то есть их ряд совпадает с рядом простых чисел, дополненным единицей: 1, 2, 3, 5, 7, 11, 13, 17, 19, 23, 29, 31, 37, 41, … .
Плоские числа – числа, составные, представимые в виде произведения двух сомножителей больших единицы: 4, 6, 8, 9, 10, 12, 14, 15, 16, 18, 20, 21, … .
Телесные числа – числа, представимые произведением трёх сомножителей больших единицы: 8, 12, 16, 18, 20, 24, 27, 28, 30, 32, 36, 40, 42, … .
Эти определения приводятся в «Началах» Евклида. Мне не очень нравится, что при подобном подходе многие числа попадают одновременно в два различных вида. Например, 8=2·4=2·2·2, 12=2·6=3·4=2·2·3, 18=2·9=3·6=2·3·3 и так далее.
Критерии – геометрическая интерпретация
Многоугольные числа – числа, ассоциированные с определённым многоугольником, которые соответствовали количеству точек, расположенных в виде некоторой геометрической фигуры – треугольника, квадрата и так далее. Про точки может быть не совсем корректно говорить, так как в математике точка – это абстрактное понятие, не имеющее линейных размеров, поэтому будем подразумевать некие круглые фишки одинаковых размеров, из которых и выкладываются геометрические фигуры. Ряд фигур будем начинать с одной фишки, а затем достраиваем до равностороннего треугольника со стороной в две фишки, в три фишки и так далее.

Получаем треугольные числа: 1, 3, 6, 10, 15, 21, 28, 36, 45, … . Треугольные числа можно получить и без геометрической интерпретации посредством последовательного суммирования чисел натурального ряда: 1, 1+2=3, 1+2+3=6, 1+2+3+4=10, 1+2+3+4+5=15, … . Формула для получения n-го треугольного числа: Pn(3)=(n(n+1))/2. Сумма двух последовательных треугольных чисел дает полный квадрат: Pn(3)+Pn+1(3)=(n+1)2. Четность элементов последовательности меняется с периодом 4: нечетное, нечетное, четное, четное.





