Сахара и сахарозаменители

- -
- 100%
- +
Исходя из этих данных, можно сделать вывод, что постоянное избыточное воздействие на анализатор, который является важной частью нервной системы, может приводить к нарушению функционирования других систем организма. Привычка получать определенные вкусовые ощущения, удовлетворение этой привычки, могущей превратиться в потребность, является началом, первоисточником, ведущим к поступлению в организм тех пищевых продуктов, которые вызывают в последующем заболевание. Поэтому лечение подобных заболеваний и их профилактику необходимо проводить на уровне вкусового анализатора. Основная цель любого живого существа, предначертанная природой, – это продление вида, размножение. Осуществляют эту цель три основных рефлекса – пищевой, половой и самосохранения. Основой для пищевого рефлекса, его формирования и развития являются вкусовые ощущения.
Если мы выделяем заболевания, связанные с нарушением питания, если пищевой рефлекс – один из основных стимулов, определяющих жизнедеятельность организма, то в основе этих явлений лежат вкусовые ощущения, которые влекут живой организм к осуществлению соответствующих действий, определяют его поведение и, часто, возникновение болезней питания.
Глава 2. Сахара – их структура и свойства
Сахара широко распространены в животном и растительном мире. В химическом отношении эти вещества объединяет общая суммарная формула CnH2nOn(H2nO)n. Первый относительно успешный элементный анализ сахаров был проведен Ж. Л. Гей-Люссаком и Л. Ж. Тенаром. В 1810 г. они провели органические анализы 19 веществ, среди которых были пищевой сахар и белки. В 1814–1815 гг. Й. Я. Берцелиус, улучшив методику элементного анализа, сравнивал состав молочного сахара и «слизевой кислоты». Дальнейшее уточнение формул было связано с деятельностью Ю. Либиха и его учеников, много сделавших для развития органического анализа и получивших данные, еще более приближенные к точным.
В 1840–1841 гг. Ю. Либих определил сахара как сочетания радикалов этила и ацетила, но отнес их к ряду веществ, которые не поддаются дальнейшей классификации. Одновременно было обращено внимание на то, что в сахарах кислород и водород содержатся в таких же соотношениях, в каких эти элементы входят в состав воды. Это явилось причиной введения нового термина «углевод» для обозначения сахаров. Термин был предложен профессором Дерптского (Тартуского) университета Карлом Шмидтом (1822–1894 гг.) в 1844 г. в статье «О растительных слизях и бассорине». Название возникло в связи с тем, что сначала были известны лишь те представители этого класса веществ, которые по составу как бы являются соединениями углерода с водой. Однако оно не полностью отражает сущность этих соединений, так как атомы водорода и кислорода не входят в состав молекул в качестве воды, а представлены главным образом в виде гидроксильных, альдегидных и кетоновых групп. Поэтому были предложены другие названия: глюциды, сахариды, сахара. Эти термины основаны на том факте, что большинство сахаров (за исключением полисахаридов) имеют сладкий вкус.
Сахара, или углеводы, разделяются на три группы:
1. Моносахариды (монозы) – это сахара, неспособные к гидролитическому расщеплению. По числу углеродных атомов моносахариды делятся на: тетрозы, содержащие 4 углеродных атома; пентозы, содержащие 5 углеродных атомов; гексозы, содержащие 6 углеродных атомов; гептозы, содержащие 7 углеродных атомов, и т. д.
2. Олигосахариды – вещества, гидролизующиеся на небольшое количество молекул (2–6) моносахаридов. Олигосахариды разделяются на:
1) голозиды – соединения, состоящие исключительно из моносахаридов;
2) гетерозиды – вещества, которые при гидролизе, кроме моносахаридов, образуют также другие молекулы – агликоны.
3. Полисахариды – состоят из значительного количества молекул моносахаридов, связанных между собой.
М. Рубнер определил среднюю величину теплоты сгорания сахаров – 4,1 ккал/г. Величины теплоты сгорания отдельных сахаров составляют (ккал/г): глюкоза – 3,75, фруктоза – 3,76, лактоза – 3,95, сахароза – 3,96, гликоген – 4,19, крахмал – 4,20. У. Этуотер обнаружил, что в организме сахара усваиваются не полностью, и предложил поправки, позволяющие вычислить так называемую метаболизируемую энергию. При гидролизе гликозидных связей полисахаридов в процессе пищеварения теряется около 0,6 % энергии, заключенной в этих углеводах; в форме макроэргических связей АТФ аккумулируется только около 39 % энергии глюкозы.
Молекулы моносахаридов содержат атомы асимметрического углерода. Это атомы углерода, четыре валентности которых насыщены разными радикалами (атомами или группами атомов). Наличие таких атомов в молекуле создает возможность существования двух видов изомеров каждого соединения, причем одно является зеркальным отражением другого. Символы D и L указывают на положение групп Н и ОН при предпоследнем углероде, независимо от того, в какую сторону раствор данного вещества вращает плоскость поляризации. Растворы веществ, содержащих в молекуле асимметрический углерод, обладают свойством вращать плоскость поляризованного света, они оптически активны. Поляризованным светом называется свет, в котором колебания, перпендикулярные ходу светового луча, происходят в одной плоскости. Изомеры, вращающие плоскость поляризации вправо, называются правовращающими (символ +), поворачивающие влево – левовращающими (-). Направление поворота определяется наблюдателем, на которого падает луч. Смесь изомеров L и D равной концентрации растворов дает оптически пассивный раствор (рацемат). Если в молекуле находятся два асимметрических углерода (один правовращающий, а другой левовращающий), связанные с одинаковыми радикалами, соединение будет оптически пассивно. При наличии нескольких асимметрических атомов в молекуле знак вращения плоскости поляризованного света может не совпадать с названием ряда; например, природная β-фруктоза принадлежит к D-ряду, но ей присуще левое вращение, поэтому ее называют еще левулезой (А. Т. Пилипенко и соавт., 1985).
Кроме того, переход альдегидной формы глюкозы в циклическую полуацетальную сопровождается появлением пятого асимметрического атома углерода и двух оптических изомеров: (полуацетальный, гликозидный, гидроксил справа, а атом водорода слева) и (гликозидный гидроксил слева, а атом водорода справа):

Н. Хоуорс предложил новую номенклатуру углеводов, в которой полуацетальные формы моносахаридов с шестичленным кольцом назывались пиранозными формами (пиранозами), а с пятичленным – фуранозными (фуранозами). Эти названия были образованы от соответствующих кислородсодержащих гетероциклических соединений – фурана и пирана. Согласно этой номенклатуре, полуацетальная форма глюкозы с шестичленным кольцом называется глюкопиранозой, а полуацетальная форма фруктозы с пятичленным кольцом – фруктофуранозой.
Установлено, что в кристаллическом состоянии моносахариды находятся в полуацетальной форме, а в растворах образуют равновесную смесь полуацетальной и альдегидной форм.
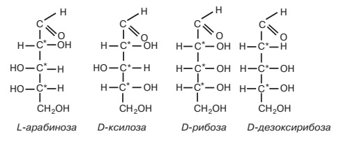
Моносахариды в природе представлены преимущественно пентозами и гексозами. Четырехатомные сахара встречаются реже. Пентозы существуют в природных условиях главным образом как составные части молекул более сложно построенных веществ, например, сложных полисахаридов, носящих название пентозанов (С5Н8О4)n, а также растительных камедей. Пентозы в значительном количестве (10–25 %) содержатся в древесине и соломе. Одним из представителей пентоз является L-арабиноза, которая входит в состав гуммиарабика, или аравийской камеди, из которой ее обычно и получают.
Наиболее распространены в природе пентозы D-ксилоза, Dрибоза и D-дезоксирибоза: D-ксилоза образуется при гидролизе ксиланов, входящих в состав древесины, соломы, мякины или подсолнечной лузги. Остатки D-рибозы и D-дезоксирибозы входят в состав нуклеиновых кислот ядерных белков – нуклеопротеидов и некоторых других веществ, играющих огромную биологическую роль.
Наиболее распространенной гексозой является глюкоза, или виноградный сахар. Пространственный изомер глюкозы – гексоза галактоза, которая (одновременно с глюкозой) входит с пентозами и другими веществами в состав некоторых гликозидов, полисахаридов, а также в состав некоторых сложно построенных веществ мозга.

Производными моносахаридов, также обладающими сладким вкусом, являются четырех-, пятии шестиатомные спирты. Как и сахара, они существуют в виде нескольких пространственных изомеров. Наиболее известны пятиатомные спирты арабит и ксилит, а также шестиатомные – сорбит, маннит и дульцит. Среди природных сахароспиртов в заметном количестве встречается глицерин, являющийся важным компонентом липидов, и инозит, существующий в нескольких стереоизомерных формах (наиболее распространенной является миоинозит). Инозит обнаружен не только в составе липида фосфатидилинозита, но и в составе фитиновой кислоты.
Следует указать, что некоторые моносахариды образуют сахарные кислоты, имеющие важное значение в жизнедеятельности организма. Наиболее известны уроновые кислоты – продукты окисления моносахаридов путем превращения первичной спиртовой группы в карбоксил (при сохранении альдегидной группы). Названия уроновых кислот производятся от названий моносахаридов с прибавлением слова уроновая, например: глюкуроновая, галактуроновая и т. д.

Уроновые кислоты, подобно моносахаридам, существуют в растворах в виде нескольких таутомерных форм: циклической и ациклической. Глюкуроновая кислота принимает участие в обезвреживании токсических продуктов путем образования глюкуронидов. Одной из наиболее важных сахарных кислот является аскорбиновая кислота (витамин С), которая существует в природе в двух формах. В растениях до 70–80 % сухой массы приходится на углеводы. В органах и тканях человека и животных содержится не более 2 % углеводов на сухую массу ткани, в основном это гликоген печени и мышц. В крови человека наряду с глюкозой выявлены фруктоза (0,5–5 мг/100 мл), пентозы (1,8–3,3 мг/100 мл), следы галактозы, маннозы, лактозы, мальтозы, сахарозы и гликоген в концентрации 7-15 мг/100 мл. У детей содержание гликогена в крови достигает 20 мг/100 мл. Схема строения углеводов представлен на рис. 2.
Углеводы – основные поставщики энергии в питании человека. Как правило, на их долю приходится более 50 % калорийности и почти 3/4 массы суточного рациона. Углеводы пищи – сахароза, лактоза, крахмал, декстрин – подвергаются в организме различным превращениям с образованием глюкозы, являющейся основным сахаром крови и участвующей в образовании гликогена тканей и, наряду с галактозой, глюкозамином и галактозамином, входит в состав гликоконъюгантов.
В природе роль углеводов не ограничивается резервными функциями, заключающимися в покрытии непрерывного расхода энергии в процессе жизнедеятельности, или структурноопорной функцией, характерной, например, для целлюлозы или хитина. Глюкоза также необходима в организме как предшественник пентоз, уроновых кислот и фосфорных эфиров гексоз. В процессах обмена углеводов возникают промежуточные продукты, которые используются для синтеза различных неуглеводных соединений. У растений таким путем синтезируются фенолы, органические кислоты, дубильные вещества, аминокислоты, белки, жиры и др.; у человека и животных при гликолизе образуются биосинтетические предшественники липидов, а в пентозофосфатном пути – предшественники нуклеиновых кислот. Было доказано, что фотосинтез, обеспечивающий синтез органических веществ на Земле, является в основном процессом превращения фосфорилированных сахаров.
При исключении углеводов из диеты возникает тенденция к алиментарной гипогликемии, которая компенсируется усилением глюконеогенеза. Это может приводить к кетозу и ускоренному расходованию белка. При этом ослабляется образование печенью парных соединений с участием глюкуроновой кислоты, что снижает антитоксическую резистентность. В тоже время, введение углеводов в организм неспецифически улучшает детоксикационную функцию печени. Стресс как процесс, обеспечивающий повышение устойчивости жизненно важных органов и тканей к острой гипоксии, в значительной мере основан на мобилизации и ускоренном транспорте в эти ткани и органы глюкозы.

Рис. 2. Схема строения углеводов (H. Andersson, N. G. Asp, S. Hallman, 1986)

Таблица 1. Сладость различных сахаров относительно сладости сахарозы, принятой за 1
Известно, что сладким вкусом обладают моносахариды, дисахариды и многоатомные спирты. Полисахариды не имеют сладкого вкуса. Наибольшей сладостью, по сравнению с тростниковым сахаром, обладает фруктоза. Сладость в основном определяется путем органолептического сравнения различных моносахаридов со сладостью сахарозы; при этом определяется наименьшая концентрация вещества, способная вызвать ощущение сладости. Ниже приводятся сведения о сравнительной сладости различных сахаров (табл. 1).
В следующих главах мы остановимся более подробно на свойствах некоторых из перечисленных выше веществ.
Глава 3. Дисахариды
3.1. Пищевой сахар – его вред и польза
Сахар в Европе известен с IV в. до н. э., когда воины Александра Македонского пришли в Индию и увидели белое сладкое вещество, которое местные жители называли «саккара». Это слово сохранилось во многих языках, конечно, трансформировавшись. В Индии сахар производили из сахарного тростника, который отсюда и вывезли в Африку, Европу и Америку. С давних времен жители Азии умели не только культивировать сахарный тростник, но очищать и отбеливать извлеченный из тростника продукт. Сахарный тростник относится к крупным злаковым растениям, близким к бамбуку и камышу. Его суставчатые стебли с обхватывающими листьями могут достигать от 2 до 4 м в высоту; они содержат сердцевину белого цвета, заполненную сахарным сиропом, который выжимается из тростника. Сбор урожая тростника производится через три месяца после цветения.
Арабам рафинированный сахар был известен задолго до средневековой Европы, куда он попал в эпоху крестовых походов. Этот сладкий продукт следовал из Индии через Александрию, а затем транспортировался венецианцами и португальцами, которым принадлежала монополия, отвоеванная позже благодаря открытию морского пути в Восточную Индию. Сахар долгие годы оставался редким и дорогим продуктом. В конце ХIII в. культура сахарного тростника распространилась из Индии в Аравию, а оттуда – в Египет; в ХIV в. она достигла Сицилии; в XV в. португальцы начали выращивать сахарный тростник в принадлежавшей им Мадере, а испанцы стали культивировать его не только на Канарских островах, но и на юге собственной страны, что дало прекрасные результаты. В Провансе, напротив, попытки акклиматизации не удались.
Новый этап был преодолен, когда наследники Христофора Колумба в 1506 г. ввезли сахарный тростник в Сан-Доминго, откуда он распространился на Кубу, в Мексику и Бразилию.
В 1596 г. Андреа Чезальпино впервые описал кристаллизацию сахара, что укрепило представление о нем как об опреде-ленном веществе, а не смеси. Большой вклад в очистку сахаров внес А. Сала (1576–1637), автор «Сахарологии» – первого трактата, полностью посвященного тростниковому сахару, его производству, очистке и применению. Первую попытку получить свекловичный сахар предпринял Оливье де Серр в 1590 г., однако он получил неочищенный продукт. В 1747 г. Андрес Сигизмунд Маргроф также выделил сахар из свеклы, а в 1786 г. немецкий физик-химик Франц Карл Ахард изобрел метод, дающий возможность извлекать сахар из отличавшихся сахаристостью сортов свеклы. С начала ХIХ в. стало постепенно развиваться свекловодство. Открытие производства сахара из свеклы явилось важнейшим средством решения проблемы импорта сахарного тростника, приобретя особую актуальность в период правления Наполеона. Во время континентальной блокады и прекращения торговли морским путем французская Империя неожиданно оказалась лишенной американского сахара. Наполеон принудил химиков усовершенствовать методы выделения сахара из сахарной свеклы, которую к тому времени начали уже серьезно культивировать.
Первый в России сахарный завод был построен в начале XVIII в. по приказу Петра I в Петербурге. «Сахарную палату» открыли и в Московском Кремле. Но сахар вырабатывался из сырья, привозимого из-за границы. С конца XVIII в. соперницей сахарного тростника в России стала сахарная свекла, оказавшаяся менее прихотливым растением. В 1802 г. в селе Алябьево под Тулой было впервые налажено производство сахара из отечественного сырья. С этого времени в центральной России, в Украине и других регионах начинается строительство сахарных заводов.
В настоящее время сахар производится из сахарной свеклы (содержит 16–20 % сахарозы) или сахарного тростника (содержит 14–26 % сахарозы). В процессе их переработки образуются кристаллы сахарозы, имеющие температуру плавления 184–185 0С. По химическому составу сахароза классифицируется как углеводдисахарид, состоящий из глюкозы и фруктозы. Она легко растворима в воде (при 20 0С – 67 %) и легко дает перенасыщенные растворы (сиропы). При нагревании выше температуры плавления сахароза буреет, разлагается (с выделением воды) и превращается в карамель – сложную смесь продуктов разложения.

В 1818 г. Жаном Био было открыто явление оптического вращения тростникового и свекловичного сахаров в водных растворах. Он же определил величину этого вращения. В «Приложении» к своему «мемуару» Био говорил и об инверсии тростникового сахара под действием кислот. Дюбранфо принадлежит факт открытия самих индивидуальных сахаров, образующихся при гидролизе. При этом правовращающий сахар оказался виноградным сахаром, а вновь открытый сахар (левулоза) впоследствии был назван плодовым сахаром, или фруктозой.
Кроме сахарного тростника и свеклы сахароза также содержится в сахарном клене (Acer saccharum Marsh), который растет в лесах на востоке Канады и главным образом в США. Пробуравливая весной стволы сахарного клена, добывают сок, содержащий 3–5% сахарозы, который используют для получения сахара и сахарного сиропа. Его продают в виде «кленового сиропа» или в высушенном виде. Одно дерево дает в год от 2 до 15 кг сахара. Годны к засечке только 25-40-летние деревья.
В южных странах используется сладкий продукт, который получают из «винной пальмы». Автору этих строк довелось увидеть, как его продают торговцы в бутылках на дорогах Цейлона. Он имеет темно-коричневый цвет и густую консистенцию. Местные жители называют его медом (хани), в отличие от пчелиного меда (бихани).
Сегодня всемирное производство сахара распределяется приблизительно в равных долях между сахарным тростникоми сахарной свеклой с незначительным преимуществом в пользу сахарного тростника, который ценится, как правило, несколько выше.
Несомненно, что открытие свекольного сахара значительно ухудшило привычки питания нашего общества. В истории человечества еще не было такого радикального изменения привычек за столь короткий период времени. Хотя белый сахар и занимает немногим больше трети в общем объеме потребляемых углеводов, но именно он служит причиной различных заболеваний.
R. Atkins (1972) считал, что ничто в истории не вызывало больше болезней, чем открытие способа очищать сок сахарного тростника до белого сахара.
Научно доказано, что организму достаточно малого количества сахара для удовлетворения насущной потребности в нем, в то же время сегодня многие люди едят сахара больше, чем это необходимо для их энергетических затрат. Интересный статистический анализ провела ВОЗ, изучавшая потребление сахара на душу населения в 10 странах с самой низкой смертностью от сердечно-сосудистых заболеваний и в 10 странах с самой высокой смертностью от них. В первых потребление рафинированного сахара колебалось от 25 до 81 г. в день (в среднем 56 г), во вторых – от 87 до 136 г. (в среднем 118 г. в день). В то же время потребление нерафинированного сахара (сахарозы, входящей в состав овощей и фруктов) в странах с самой низкой смертностью от сердечно-сосудистых заболеваний составило в среднем 31 г. в день, а в странах с высокой смертностью было минимальным. Жизнь поставила на большей части человечества продолжительный эксперимент с белым сахаром, который настолько вошел в быт, что противодействовать ему весьма трудно. Уменьшить потребление белого сахара, видимо, далеко не просто: велика сила привычки и неуклонно растут объемы промышленного производства кондитерских изделий, безалкогольных напитков и множества других сахаросодержащих продуктов. Все зависит, конечно, от самого человека. Справедливо считают, что ни один из пищевых продуктов не далек от натурального так, как белый сахар. Но, несмотря на столь нелестные суждения о белом сахаре, его продолжают употреблять все новые поколения людей.
Конфеты, пирожные, мороженое и другие лакомства доставляют удовольствие и детям и взрослым. Вот почему во многих странах стало традицией заканчивать трапезу сладким. Мужчины от 20 до 70 лет съедают в среднем 65–70 г. рафинированного сахара в день, а женщины того же возраста – 75 г. Отмечено, что люди в возрасте 30–39 лет едят наибольшее количество сахара – 90 г. в сутки. После 40 лет мужчины и женщины сокращают употребление сахара (на 24–29 и 17–37 % соответственно). В это количество входит не только сахар в чистом виде, но и тот, который добавляют в сладкие продукты и блюда.
Согласно подсчетам J. Yudkin (1974), общее количество сахара в продуктах промышленного производства составляет: в Австрии – 55 %, во Франции – 40 %, в Южной Африке – 20 %. Более трети (35 %) всего количества потребляемых углеводов находится в сахаре, около 50 % приходится на крахмал, 7 % – на лактозу, 8 % – на смесь сахаров (главным образом глюкозы, фруктозы и сахарозы) во фруктах и овощах.

Сахароза – наиболее известный и широко применяемый сахар, используемый в питании и кондитерской промышленности. При консервировании продуктов растворы с 60 % содержанием сахара защищают среду от действия бактерий. Однако известно, что и на кристаллическом сахаре размножаются термофильные бактерии и существуют дрожжи, вызывающие брожение сиропов с содержанием сахара более 70 %. В медицине тростниковый сахар под названием Saccharum album применя-ется для приготовления порошков, а также сиропов, микстур (для детей) и т. д. В древние и средневековые времена сахар использовали не только для подслащивания лекарств, но и с прямыми лечебными целями.
Многие столетия сахара производили мало, он был дорог, и в качестве пищевого продукта его употребляли в небольших количествах. Однако за последние полтора столетия положение существенно изменилось в направлении его чистоты и потребления людьми. В США среднее годовое потребление сахара на одного человека с 1900 г. по 2000 г. увеличилось с 2,5 кг до 63 кг (G. Vettorazzi, J. Macdonald, 1988).
Статистика потребления сахара на душу населения в год во Франции следующая:
1800 г. – 0,6 кг;
1880 г. – 8 кг;
1900 г. – 17 кг;
1930 г. – 30 кг;
1965 г. – 40 кг;
1990 г. – 35 кг.
Однако во Франции наиболее низкое потребление сахара, чем в других странах. Англичане, например, употребляют 49 кг на душу населения в год, немцы – 52 кг, а мировой рекорд принадлежит американцам – 63 кг на душу населения в год (Х. Стюард и соавт., 1999).
В нашей стране сахарозу получают из сахарной свеклы, которая содержит приблизительно 75 % воды и 25 % сухого остатка: 15–17 % его – сахароза, а остальное – неорганические и органические вещества, которые при переработке необходимо удалить. Из измельченной свеклы сахарозу извлекают водой (при температуре 80 0С) в диффузорах; раствор сахарозы, загрязненный примесями, очищают, осаждая известью, а затем фильтрат обрабатывают СО2, осаждающей избыток извести и разлагающей образовавшиеся кальциевые сахараты; после повторной обработки Са(ОН)2 и СО2 раствор сахарозы сгущают в вакууме и кристаллизуют. Дальнейшая очистка (рафинирование) производится перекристаллизацией растворов после обработки их углем. Быстрорастворимый сахар получают при действии на порошок водяного пара. Затем образующиеся час-тицы сушат и измельчают. Такой сахар хорошо растворяется и не гигроскопичен.
В процессе производства сахара из свеклы как отходы образуется «кормовая патока», которую называют «меласса» (или «мелясса») от латинского слова mel – мед. Это сиропообразная жидкость темно-бурого цвета, представляющая собой сгущенный свекловичный сок после выделения из него кристаллов сахара. В умеренных количествах она служит хорошим кормом для сельскохозяйственных животных. В зависимости от степени очистки различают белую (29 % не сахаров), зеленую (33 %), бурую (47 %) и кормовую (55 %) патоку. Эти данные получены при исследовании различных видов патоки, образующихся при переработке тростникового сахара-сырца. Органические вещества мелассы распределяются следующим образом: смолистые вещества – 2,7 %, азотистые вещества – 1,06 %, органические кислоты – 3,2 %, карамели и другие вторичные продукты, образующиеся в процессе сахарного производства – 6,24 %. Кроме сахарозы, в мелассе содержатся моно-, дии олигосахариды, гетероциклические основания, аминои карбоновые кислоты, органические пигменты сложной природы и другие химические соединения. Большинство из них природного происхождения. Они сохранились в патоке в таком же виде, как и в сырье – сахарной свекле или сахарном тростнике. Кроме того, в патоке могут быть разнообразные примеси, внесенные на разных стадиях переработки сырья (И. И. Брехман, И. Ф. Нестеренко, 1988).





