Аппараты с перемешивающими устройствами

- -
- 100%
- +

__
Форма эпюр подчиняется теореме об узлах собственных форм колебаний [4,с.120]. По этой теореме амплитуды для разных частот колебаний не имеют одинакового знака. То есть, если амплитуда первой формы положительная, то амплитуда остальных форм должна иметь минимально одну перемену знака. Число перемен знака или число узлов собственной формы колебаний m-го порядка равно m-1.
Бабаков [4,с.124] для балки с 3 точечными нагрузками приводит три возможные формы колебаний:

__
Решение приближенным методом Релея
По методу Релея допускается:
– масса системы не изменяет типа колебаний
– перемещение системы при колебании имеют ту же форму, что и при статической деформации (сходство формы не означает равенство величин деформации).
Ошибка по методу Релея не превышает 1,5 % [2,с.60].
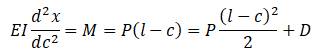
Метод Релея состоит в том, что в конкретный момент времени находится перемещение точек вала по формулам статической деформации. Для других моментов времени перемещения могут отличаться от выбранного момента времени. Так как действующая на вал сила Р, состоящая из веса груза и сил инерции

__
Рассмотрим по методу Релея колебания консольной балки (вала) с защемленным концом [2,с.73].

р – круговая частота собственных колебаний в этом примере и ниже.
Обобщенное перемещение:

Кинетическая энергия груза:

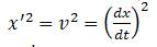
в этом уравнении квадрат скорости

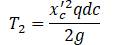
Кинетическая энергия элемента балки dc:

Уравнение упругой линии:

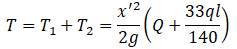
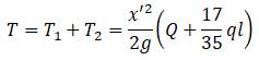
Минуя выкладки, полная кинетическая энергия системы:

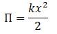
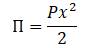
Потенциальная энергия системы:

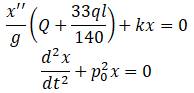
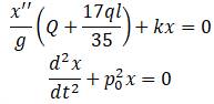
Уравнение Лагранжа:

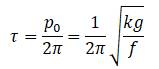
В этом уравнении круговая р0 частота:

Статический прогиб на консоли балки:

И

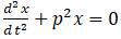
Решение уравнения

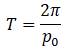
– период колебания

– частота

– круговая частота

__
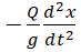
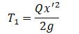
Рассмотрим по методу Релея колебания двухопорной однопролетной балки (вала), нагруженной сосредоточенной силой посередине [2,с.65].

Обобщенное перемещение:

Кинетическая энергия груза:

Уравнение упругой линии:

Интегрируя последовательно:

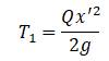
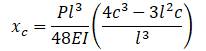
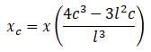
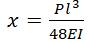
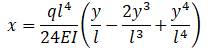
Прогиб:

Прогиб посередине пролета:

Следовательно,

Как видно, прогибы x и xc являются динамическими прогибами, а не статическими, и имеют переменное значение, зависящее от времени.
Так, формула прогиба


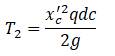
Кинетическая энергия стержня:

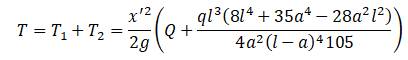
Полная кинетическая энергия системы:

Потенциальная энергия системы:

Уравнение Лагранжа:

Эта формула аналогична формуле


Используя этот интеграл находим:
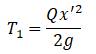
– период:

– частоту

– круговая частота

Если собственную массу балки не учитывать:

Т.е. к массе мешалки необходимо прибавить

__
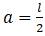
Рассмотрим по методу Релея колебания двухопорной однопролетной балки (вала), нагруженной сосредоточенной силой в произвольном положении [2,с.70].

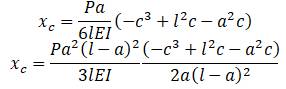
Обобщенное перемещение:

Кинетическая энергия груза:

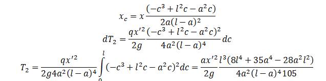
Кинетическая энергия элемента балки dc:

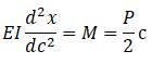
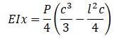
Уравнение изогнутой оси балки (вала):

В точке приложения груза:



При


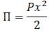
Потенциальная энергия системы:

Уравнение Лагранжа:

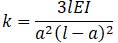
Для статического удлинения k необходим груз:

Находим:
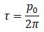
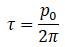
– период

– частоту

– круговая частота

__
Рассмотрим по методу Релея колебания двухопорного однопролетного вала, нагруженной двумя произвольно приложенными сосредоточенными силами [2,с.76].

Ограничения метода Релея приводят систему к системе с 1 степенью свободы. При точном рассмотрении системы, она имеет множество степеней свободы.
Перемещение каждого груза:

Наибольшие перемещения грузов являются амплитудой для


Скорости грузов:

Максимальная скорость при


Максимальная скорость соответсвует переходу точки через статическое равновесие, т. к. фаза pt равна 0° или 180° при положении точки с на оси балки.
Скорость колебаний переменная, так как колебание происходит по закону синусоиды, например,

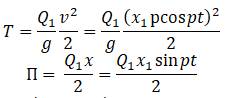
Сумма энергий постоянна и является полной энергией системы при рассмотрении идеального случая без потерь:

Для какого-либо конкретного положения системы:

При нахождении точки на оси абсцисс (оси вала), потенциальная энергия равна нулю, кинетическая максимальная:

Т.е. вся полная энергия системы является максимальной кинетической энергией.
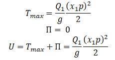
Для фазы pt равной 90° или 270° кинетическая энергия равна нулю, а потенциальная энергия максимальная:

Т.е. вся полная энергия системы является потенциальной энергией.
Можно записать:

Для случая рассматриваемого груза:

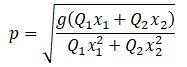
Из этой формулы находится круговая частота:

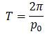
Период колебаний:

___
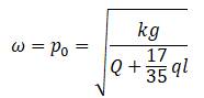
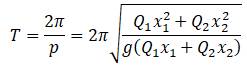
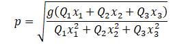
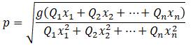
Для трех грузов на валу, круговая частота запишется по формуле:

__
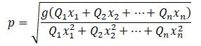
Для n грузов круговая частота запишется по формуле:

Как можно видеть, определение круговой частоты сводится к нахождению статических прогибов. Прогибы могут быть также найдены графоаналитически.
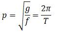
Для одного груза круговая частота запишется по формуле:

__
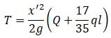
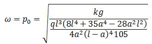
Рассмотрим по методу Релея колебания двухопорного однопролетного вала, нагруженной распределенной нагрузкой [2,с.81].
Мешалки являются сосредоточенной нагрузкой на валу и пример приводится для сведения.

Балка с распределенной нагрузкой условно разбивается на ряд участков с заменой распределенной нагрузки, приходящейся на каждый участок, сосредоточенной силой, приложенной по центру тяжести участка.
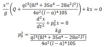
Колебания системы с распределенной нагрузкой находятся по приведенной выше формуле:

Точность решения зависит от числа n участков.
Прогибы находят по уравнению упругой линии с равномерно распределенной нагрузкой:

Для 8 участков (8 прогибов):

С учетом этого, уравнение упругой линии:
Конец ознакомительного фрагмента.
Текст предоставлен ООО «ЛитРес».
Прочитайте эту книгу целиком, купив полную легальную версию на ЛитРес.
Безопасно оплатить книгу можно банковской картой Visa, MasterCard, Maestro, со счета мобильного телефона, с платежного терминала, в салоне МТС или Связной, через PayPal, WebMoney, Яндекс.Деньги, QIWI Кошелек, бонусными картами или другим удобным Вам способом.



