Математические модели в естественнонаучном образовании. Том I

- -
- 100%
- +
Вопросы для самопроверки:
– Можете ли вы представить себе обстоятельства, при которых игнорирование уменьшения числа профессионалов той или оной области было бы хорошей идеей?
Так что же такое разностное уравнение? Теперь, когда увидели разностное уравнение на примере, можно попытаться дать строгое определение: разностное уравнение – это формула, выражающая значения некоторой величины






Изучая разностные уравнения и их приложения, рассмотрим два основных вопроса: 1) Как найти подходящее разностное уравнение для моделирования ситуации? 2) Как понять поведение модели разностных уравнений после того, как её нашли?
Обе эти задачи бывают довольно трудны. Тем не менее, обязательно научитесь моделировать с помощью разностных уравнений, глядя на математические модели, используемые разными авторами в классической литературе, а затем создадите собственные модели. Однако, честно говоря, это не обязательно исключит столкновение с принципиально неразрешимой проблемой. Что касается понимания поведения, которое моделируется разностным уравнением, то обычно не представляется возможным найти явную формулу, как было сделано выше для

Конкретное разностное уравнение, обсуждаемое в этом разделе, иногда называют экспоненциальной или геометрической моделью, поскольку модель приводит к экспоненциальному росту и ассоциируется с именем Томаса Мальтуса. Математики, однако, склонны сосредотачиваться на форме уравнения

Задачи для самостоятельного решения:
1.1.1. Популяция изначально составляла 100 особей, но из-за комбинированного воздействия рождений и смертей она утраивается каждый час.
а. Составьте таблицу численности популяции для


б. Приведите два уравнения, моделирующих рост популяции, сначала путем выражения




в. Что можно сказать об уровнях рождаемости и смертности среди населения вашей страны? Земного шара?
1.1.2. На ранних стадиях развития в развивающихся странах открытие новых школ происходит с достаточно регулярной скоростью. Предположим, что количество школ удваивается примерно каждый месяц.
а. Запишите уравнение, моделирующее эту ситуацию. Уточнив, сколько реального времени представлено шагом 1 в параметре

б. Заполните таблицу и нарисуйте график числа школ в зависимости от

в. Сопоставьте полученные результаты с официальными данными Росстата. Это соответствует вашей модели? Какие выводы и/или вопросы это вызывает?
1.1.3. С помощью ручного калькулятора составьте таблицу значений численности населения выбирая

а.


б.


в.


1.1.4. Повторите решение задачи 1.1.3(а) с помощью MATLAB, введя последовательность команд, например:
p=1
x=p
p=1.3*p
x=[x p]
p=1.3*p
x=[x p]
…
Возврат к предыдущим командам для их повторения можно осуществлять нажатием клавиши "↑". Объясните, как это работает. Теперь повторите решение с использованием цикла, например:
p=1
x=1
for i=1:10
p=1.3*p
x=[x p]
end
Отступ не является обязательным, но помогает сделать цикл for-end понятнее для чтения. Объясните, как это работает. Визуализируйте полученные данные на графике с помощью команды:
plot([0:10],x)
1.1.5. Для модели, указанной в задаче 1.1.3 а), сколько времени должно пройти, прежде чем популяция превысит 10, превысит 100 и превысит 1 000? Используйте MATLAB, чтобы вычислить это экспериментальным путём, а затем вычислите аналитически, используя логарифмирование и тот факт, что

1.1.6. Если бы данные в таблице 1.2 о численности докторов физико-математических наук были собраны по десятилетиям с момента основания института математики, соответствовали бы они геометрической модели? Будет ли численность соответствовать геометрической модели хотя бы в некотором временном интервале? Объясните наблюдаемое явление.
Таблица 1.2. Численность учёных в стране (сотни)

0 1 2 3 4 5 6 7 8 9 10

1,94 3,04 4,62 6,72 9,26 11,88 14,08 15,52 16,26 16,60 16,72
1.1.7. Заполните пропуски:
а. Модели




б. Модели




в. Модели




1.1.8. Объясните, почему модель


1.1.9. Предположим, что популяция описывается моделью




1.1.10. Говорят, что модель имеет устойчивое состояние или точку равновесия при



а. Перефразируйте определение следующим образом: модель имеет устойчивое состояние при



б. Перефразируйте определение неформально: модель имеет устойчивое состояние

в. Может ли модель, описываемая равенством

1.1.11. Объясните, почему модель


1.1.12. Предположим, что на численность определенного населения влияют только рождение, смерть, иммиграция и эмиграция, каждая из которых происходит ежегодно в размере, прямо пропорциональном численности населения. То есть, если население составляет











1.1.13. Как хорошо известно лимнологам и океанографам, количество солнечного света, проникающего на различные глубины воды, может сильно повлиять на численность живущих там организмов. Предположим, что вода имеет равномерную мутность, а количество обитателей на каждом метре в глубину пропорционально количеству поступающего света.
а. Объясните, почему это приводит к модели вида



б. В каком диапазоне должны находиться параметры этой модели, чтобы иметь физический смысл?
в. При




г. Применима ли аналогичная модель к фильтрации света через полог леса? Применимо ли там предположение о «равномерной мутности»?
1.1.14. В таблице 1.3 приведены данные о численности обучающихся физмат школ.
а. Изобразите данные на графике. Соответствуют ли эти данные геометрической модели роста? Объясните почему да или почему нет, используя графические и численные методы оценки. Можете ли придумать факторы, которые приведут к отклонению от геометрической модели?
б. Используя данные только за 1980 и 1985 годы для оценки скорости роста геометрической модели, посмотрите, насколько хорошо результаты модели согласуются с данными последующих лет.
в. Вместо того, чтобы просто использовать данные 1980 и 1985 годов для оценки показателя роста числа школьников, найдите способ использовать все данные, чтобы получить то, что (предположительно) должно быть лучшей геометрической моделью. Проявите творчество. Есть несколько разумных подходов. Соответствует ли ваша новая модель данным лучше, чем модель из части (б)?
Таблица 1.3. Оценки числа школьников
Год Численность школьников (в 1 000 человек)
1980 213,260
1985 231,658
1990 245,976
1995 254,504
2000 263,368
2005 263,952
2010 302,690
2015 328,602
2020 359,980
1.1.15. Предположим, что популяция моделируется уравнением





1.1.16. В данной задаче исследуем, как изменится модель, если изменить количество времени, представленное приращением переменной

Пусть популяция моделируется уравнением



а. Предположим, что захотели создать новую модель для этой популяции, где каждое приращение






Таблица 1.4. Изменение временных шагов в модели

0 1 2 3

A 2А 4А 8А

0 1 2 3 4 5 6

A 2А 4А 8А
б. Задайте новую модель, которая описывает




в. Предложите модель, которая согласуется с




г. Обобщите части (а–в). Объясните, почему, если исходная модель использует приращение времени 1 год и задается уравнением



д. Если теперь изменить обозначение временного интервала с











.
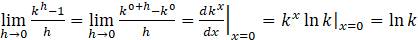
д. Докажите, что решением уравнения



Как это согласуется с формулой для выражения






1.2. Нелинейные модели
Мальтузианская модель предсказывает, что рост числа обучаемых математиков будет экспоненциальным. Однако такое предсказание не может быть оставаться точным продолжительное время. Ведь экспоненциальные функции растут быстро и без ограничений; и, согласно такой модели, рано или поздно математиков окажется больше, чем количество атомов во Вселенной. Модель, разработанная в данном разделе, должна дополнительно учитывать какой-то важный фактор. Чтобы быть более реалистичными в моделировании, нужно пересмотреть предположения, которые вошли в модель.
Главный недостаток заключается в предположении о том, что параметры







Вопросы для самопроверки:
– Какие факторы могут стать причиной изменения плотности? Почему большое значение численности



Для создания нелинейной модели, чтобы спроектировать более адекватную модель, проще всего сфокусироваться на относительной величине


При небольших значениях







