- -
- 100%
- +
С самых ранних времён люди наблюдали движение во всех аспектах окружающего мира. От величественного вращения планет и звёзд на ночном небе до непрерывного течения рек и смены времён года – движение повсюду. Но что лежит в основе этого движения? Как оно связано с энергией?
Движение – это универсальный язык Вселенной. От молекул в чашке горячего чая до галактик, вращающихся в пустоте космоса, – всё во Вселенной движется. «Ѣ-теория» рассматривает движение как саму природу энергии, а энергию как основу существования.
Кинетическая энергия – самый прямой пример связи движения с энергией. Любое тело, обладающее массой и движущееся с определённой скоростью, имеет кинетическую энергию, которая вычисляется по формуле:

где m – масса тела, v – его скорость. Это означает, что чем быстрее движется объект или чем больше его масса, тем больше энергии он несёт. Представьте себе автомобиль, мчащийся по дороге: его кинетическая энергия пропорциональна квадрату скорости, поэтому даже небольшое увеличение скорости существенно повышает энергию движения.
Тепловая энергия – это движение на микроскопическом уровне. Вещества состоят из атомов и молекул, которые постоянно вибрируют и движутся. Температура – это мера средней кинетической энергии этих частиц. Даже в твёрдых телах при низких температурах атомы продолжают колебаться вокруг своих положений. Чем выше температура, тем интенсивнее это движение.
Электромагнитная энергия, такая как свет, радиоволны, рентгеновское излучение, – это тоже форма движения. В данном случае речь идёт о колебаниях электрического и магнитного полей, распространяющихся в пространстве со скоростью света. Эти волны переносят энергию и информацию без переноса материи.
Потенциальная энергия связана с положением объекта в силовом поле, например гравитационном или электрическом. Хотя объект может казаться неподвижным, он обладает способностью совершить работу при движении под действием силы. Поднятый на высоту камень имеет гравитационную потенциальную энергию, которая превращается в кинетическую, когда камень падает.
Ядерная энергия – результат движения и взаимодействия частиц внутри атомного ядра. Протон и нейтрон в ядре находятся в постоянном движении, удерживаемые сильными ядерными силами. При ядерных реакциях, таких как деление или синтез, происходит перераспределение энергии за счёт изменения движения этих частиц, что высвобождает огромные количества энергии.
Химическая энергия возникает из-за движения электронов и взаимодействий между атомами. Химические реакции, такие как горение или окисление, сопровождаются перераспределением электронов и изменением энергии системы. Эти процессы лежат в основе многих технологий, обеспечивающих наше повседневное существование.
Звуковые волны – это движение частиц среды (воздуха, воды, твёрдых тел) в виде продольных волн. Когда мы говорим или слушаем музыку, мы взаимодействуем с энергией, передаваемой через движение частиц воздуха.
Волны на воде – видимое проявление движения энергии через жидкость. Бросая камень в озеро, мы создаём волны, которые распространяются от точки удара, перенося энергию через движение молекул воды.
Биологические процессы также неразрывно связаны с движением. Кровь, циркулирующая по сосудам, дыхание, движение мышц – всё это примеры преобразования химической энергии пищи в механическую энергию движения. На клеточном уровне молекулярные моторы переносят вещества внутри клетки, ДНК раскручивается и копируется, обеспечивая жизнь и размножение.
Планетарное движение: Земля вращается вокруг своей оси и обращается вокруг Солнца, Луна вращается вокруг Земли. Это движение обусловлено гравитационным притяжением и инерцией, сохраняя кинетическую и потенциальную энергию системы.
Космические явления: звёзды рождаются, живут и умирают в процессе движения и преобразования энергии. Ядерные реакции в ядрах звёзд обеспечивают их сияние, передавая энергию в виде излучения и частиц.
Квантовые флуктуации: даже в вакууме, который мы считаем пустым пространством, согласно квантовой механике, происходят постоянные колебания энергии. Частицы и античастицы могут спонтанно возникать и аннигилировать, проявляя непрерывное движение даже на фундаментальном уровне.
Ничто не находится в абсолютном покое.
Идея абсолютного покоя противоречит основным принципам физики. Согласно третьему закону термодинамики, достижение абсолютного нуля температуры (0 К) недостижимо, и даже при приближении к нему остаются квантовые колебания. Это означает, что движение никогда не останавливается полностью.
Принцип неопределённости Гейзенберга утверждает, что невозможно точно определить одновременно положение и импульс частицы. Это фундаментальное свойство природы означает, что на квантовом уровне частицы всегда имеют некоторую неопределённость в движении.
Энергия как мера движения
Вся энергия в нашем мире связана с движением:
• Механическая энергия: сочетание кинетической и потенциальной энергии в движущихся и взаимодействующих телах.
• Тепловая энергия: суммарное движение огромного числа частиц в системе.
• Электромагнитная энергия: движение электрических зарядов и колебания полей.
• Химическая энергия: движение электронов и перестройка атомных связей.
• Ядерная энергия: движение и взаимодействие нуклонов в ядрах атомов.
Энергия не только является мерой движения, но и определяет возможность изменения состояния системы. Без энергии невозможно совершить работу, изменить скорость, положение или состояние объекта.
Примеры из повседневной жизни
• Электрический ток: движение электронов по проводнику обеспечивает работу бытовых приборов, освещение наших домов и функционирование техники.
• Транспорт: автомобили, поезда, самолёты – всё это системы, преобразующие химическую энергию топлива в кинетическую энергию движения.
• Зарождение ветра: различия в температуре и давлении атмосферы приводят к движению воздушных масс, формируя ветер, который мы ощущаем на улице.
• Растения и фотосинтез: энергия солнца, в виде фотонов, поглощается растениями, запускает химические реакции и обеспечивает рост и развитие.
• Море и приливы: гравитационное притяжение Луны и Солнца вызывает движение огромных масс воды, создавая приливы и отливы.
Понимание того, что энергия и движение неразрывно связаны, открывает глубокий взгляд на природу нашего мира. Это единство проявляется во всём – от грандиозных космических событий до тончайших процессов внутри атомов. Осознание этой связи позволяет нам не только объяснять наблюдаемые явления, но и прогнозировать новые, создавать технологии и использовать энергию для улучшения качества жизни.
Мы привыкли думать об энергии как о чём-то внешнем, но «Ѣ-теория» показывает, что энергия – это основа всего сущего, заложенная в самом пространстве. Раскрытие этой истины открывает путь к новой физике, где движение и энергия становятся основными принципами устройства Вселенной.
В дальнейшем мы будем опираться на этот фундаментальный принцип, исследуя природу энергии более глубоко и стремясь раскрыть скрытые механизмы, управляющие Вселенной.
Появление идеи «О» -частиц
В процессе разработки нашей «Ѣ-теории» мы стремились найти единое и фундаментальное объяснение природы энергии, материи и пространства. Мы понимали, что для придания теории внутренней согласованности необходимо ввести гипотетическую частицу, которая могла бы служить основой всех физических явлений. Так появилась идея «О» -частицы – мельчайшего элемента, из которого состоят и пространство, и материя.
Мы наделили «О» -частицу следующими ключевыми свойствами:
1. Фундаментальность и бесконечно малый размер: «О» -частица может быть сколь угодно малой, её размер более чем на 12 порядков меньше размера протона (пример попытки расчёта мы приведём далее). Это позволяет ей быть основным строительным блоком Вселенной, формируя как пространство, так и материю.
2. Непрерывное движение: «О» -частица не может существовать без движения. Движение является её сущностным свойством и источником энергии. Это движение лежит в основе всех энергетических процессов и взаимодействий.
3. Возможность объединения: «О» -частицы способны объединяться, образуя устойчивые конфигурации. Эти конфигурации соответствуют известным частицам материи, таким как протоны, нейтроны и электроны. Таким образом, материя возникает из специфических сочетаний «О» -частиц.
4. Создание полей через направленное движение: направленное движение «О» -частиц проявляется в виде полей. Это позволяет объяснить природу электромагнитных полей как результат коллективного движения «О» -частиц.
Введение «О» -частиц как единого фундамента для энергии, материи и полей предоставляет ряд существенных преимуществ:
• Унификация физических явлений: наша теория объединяет различные физические явления под единым принципом, устраняя необходимость множества отдельных сущностей и сил. Это способствует более целостному пониманию природы.
• Объяснение квантового характера взаимодействий: квантовые эффекты и дискретность энергетических уровней объясняются через специфические конфигурации и взаимодействия «О» -частиц. Это позволяет связать квантовую механику с фундаментальными свойствами пространства.
• Упрощение теоретической модели: использование единой частицы для объяснения разнообразия материи и энергии упрощает теорию и делает её более элегантной. Это также помогает избавиться от некоторых сложностей, присущих современным физическим моделям.
Мы осознаём, что наша теория сталкивается с двумя существенными вызовами:
1. Невозможность инструментальной проверки: из-за невероятно малого размера «О» -частиц современные технологии не позволяют напрямую обнаружить их существование или измерить их свойства. Это означает, что мы вынуждены опираться на косвенные признаки и теоретические построения.
2. Сложность математического моделирования: отсутствие полноты знаний о свойствах «О» -частиц делает разработку точных математических моделей сложной задачей. Мы вынуждены использовать упрощённые предположения и заимствовать формулы из различных областей физики, понимая, что они могут быть лишь приблизительными.
Несмотря на невозможность прямого наблюдения «О» -частиц, существует множество явлений, которые могут служить косвенными свидетельствами их существования:
• Квантовые флуктуации вакуума: наблюдаемые флуктуации энергии в вакууме могут быть интерпретированы как движение и взаимодействие «О» -частиц.
• Поляризация пространства: эффекты, связанные с поляризацией вакуума и возникающие в сильных полях, указывают на структурированность пространства, что соответствует нашей концепции наполненности его «О» -частицами.
• Единая природа фундаментальных сил: попытки современной физики объединить фундаментальные взаимодействия находят отклик в нашей теории, где все силы возникают из взаимодействий «О» -частиц.
Понимая, что наша теория может напоминать исторические эфирные концепции, мы подчёркиваем её принципиальные отличия:
• Динамическая природа пространства: в отличие от статичного эфира, в нашей теории пространство является динамической средой, где «О» -частицы постоянно движутся и взаимодействуют.
• Фундаментальный статус: «О» -частицы не являются наполнителем пространства – они и есть само пространство и основа всей материи.
• Совместимость с квантовой механикой: наша теория стремится интегрировать квантовые принципы, объясняя квантовые эффекты через фундаментальные свойства и взаимодействия «О» -частиц.
Мы признаём, что без возможности непосредственной экспериментальной проверки наша теория остаётся гипотетической. Однако история науки показывает, что многие фундаментальные открытия начинались со смелых идей, которые впоследствии находили подтверждение с развитием технологий и методов исследования.
Наша теория предлагает:
• Новый взгляд на природу энергии и материи: предоставляет концептуальную основу для переосмысления фундаментальных физических принципов.
• Потенциал для решения существующих проблем: может помочь устранить некоторые противоречия и сложности современной физики, связанные с тёмной материей, энергией вакуума и объединением взаимодействий.
• Стимул для междисциплинарного диалога: поощряет сотрудничество между различными областями науки для поиска новых подходов и методов исследования.
Идея «О» -частиц представляет собой смелый шаг в попытке глубже понять фундаментальные законы природы. Несмотря на текущие ограничения в проверке и моделировании, мы убеждены, что наша теория имеет право на существование и дальнейшее развитие.
Если энергия действительно связана с движением, как мы обсуждали ранее, то на фундаментальном уровне это движение должно быть чем-то вызвано. Именно здесь мы вводим концепцию «О» -частиц как основы этого движения и, следовательно, всей энергии.
В стремлении придать нашей теории большую определённость мы решили попробовать оценить параметры гипотетической «О» -частицы. Понимая всю спорность нашего подхода и осознавая, что без возможности практической проверки наши расчёты остаются теоретическими, мы всё же сочли полезным предпринять эту попытку. Для этого мы использовали формулы из различных областей науки: термодинамики, общей теории относительности, химии и космологии.
Наш метод основывался на предположении, что энергия вакуума может быть связана с некоторой формой движения на фундаментальном уровне. Мы предположили, что «О» -частицы, являясь мельчайшими носителями энергии, могут быть описаны с использованием аналогий из известных физических законов.
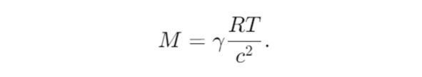
Мы обратились к формуле для скорости звука в идеальном газе:

где:
• c – скорость звука в среде,
• γ – показатель адиабаты,
• R – универсальная газовая постоянная,
• T – абсолютная температура,
• M – молярная масса газа.
Поскольку скорость света в вакууме является максимальной скоростью распространения взаимодействий, мы предположили, что она может быть аналогом скорости звука в нашем гипотетическом «газе» из «О» -частиц. Таким образом, мы приняли c=c0=299 792 458 м/с. В качестве температуры мы использовали температуру космического микроволнового фона T=2,725 К.
Переставив формулу для выражения молярной массы M:

Подставляя значения, мы получили:

Для сравнения: молярная масса водорода (протона) составляет примерно 1,00784 г/моль или 1,00784×10—3кг/моль. Это означает, что полученное нами значение M в более чем 12 порядков меньше массы одного моля протонов.
Чтобы представить, насколько мала эта величина, можно использовать следующую аналогию:
Если бы масса одного моля протонов была эквивалентна расстоянию в один миллион километров (что примерно соответствует расстоянию от Земли до Луны, умноженному на два с половиной), то полученное нами значение M было бы меньше толщины человеческого волоса.
Это сравнение помогает осознать, насколько мала масса «О» -частицы по сравнению с известными частицами, и подчёркивает её фундаментальный характер.
Хотя наш метод основан на упрощённых предположениях и использует формулы, применимые в других областях физики, полученный результат удивительно соответствует нашей гипотезе о том, что «О» -частицы являются мельчайшими носителями энергии.
Мы понимаем, что такой подход может вызвать вопросы и критику, поскольку:
• Формула для скорости звука применима к идеальным газам, а не к вакууму или гипотетическим частицам.
• Скорость света в физике определяется иначе и не связана с механическими свойствами среды в классическом смысле.
• Параметры вакуума и квантовых полей описываются более сложными моделями, чем идеальный газ.
Однако наша цель состояла не в том, чтобы представить строгий научный расчёт, а в том, чтобы проиллюстрировать возможность существования таких частиц и показать, что их гипотетические параметры могут вписываться в нашу теорию.
Этот расчёт служит иллюстрацией нашей идеи и помогает придать дополнительную глубину «Ѣ-теории». В дальнейшем мы надеемся, что развитие науки и появление новых методов исследования позволят проверить нашу гипотезу более точно.
Идея «О» -частиц представляет собой смелый шаг в попытке глубже понять фундаментальные законы природы. Несмотря на текущие ограничения в проверке и моделировании, мы убеждены, что наша теория имеет право на существование и дальнейшее развитие.
Хотя наша теория напоминает эфирные концепции прошлого, её уникальность заключается в том, что «О» -частицы не являются средой для взаимодействий, а сами являются основой пространства и материи, что согласуется с квантовыми представлениями о структуре вакуума.
Мы приглашаем научное сообщество к открытому обсуждению и критическому анализу нашей концепции. Возможно, объединение усилий и идей поможет приблизиться к разгадке глубинных тайн Вселенной.
Глава 3. Скорость света в «Ѣ-теории»
Скорость света является одной из фундаментальных констант природы, играющей ключевую роль в современной физике. В специальной теории относительности она обозначается как c и считается постоянной величиной, одинаковой во всех инерциальных системах отсчёта. Это положение подтверждено многочисленными экспериментами и лежит в основе многих физических законов.
Однако в рамках нашей «Ѣ-теории» мы предлагаем иной взгляд на природу скорости света. В нашей концепции пространство не является пустым вакуумом, а наполнено мельчайшими фундаментальными частицами – «О» -частицами, которые находятся в непрерывном движении. Эти частицы формируют структуру пространства и определяют его свойства, включая способность проводить электромагнитные волны.
В традиционной физике вакуум рассматривается как состояние с наименьшей энергией, в котором отсутствуют частицы и поля. Однако квантовая теория поля показывает, что вакуум не является абсолютно пустым, а наполнен квантовыми флуктуациями. Мы развиваем эту идею и рассматриваем пространство как среду, заполненную «О» -частицами. Их непрерывное движение и взаимодействие создают энергетическую основу пространства и влияют на физические процессы, происходящие в нём.
В нашей теории скорость света зависит от свойств пространства, определяемых параметрами «О» -частиц:
Плотность «О» -частиц: количество частиц в единице объёма пространства.
Взаимодействие между «О» -частицами: арактер и сила взаимодействий влияют на передачу электромагнитных волн.
Мы предполагаем, что скорость света c может быть функцией плотности и свойств «О» -частиц. Это означает, что скорость света является не абсолютной константой, а свойством пространства, которое может изменяться при изменении его параметров.
Чтобы лучше понять эту концепцию, можно провести аналогию с распространением звука в различных средах:
• Скорость звука зависит от свойств среды, таких как плотность и модуль упругости. Например, звук распространяется быстрее в твёрдых телах, чем в газах.
• Электромагнитные волны в нашей теории распространяются через пространство, заполненное «О» -частицами, и их скорость зависит от параметров этой среды.
Это означает, что при изменении свойств пространства скорость света может изменяться, подобно тому как скорость звука зависит от свойств материальной среды.
Скорость света c в нашей теории может быть выражена как функция свойств пространства:
c = f (ρ, ε, μ),где:
• ρ – плотность «О» -частиц в пространстве,
• ε – электрическая проницаемость пространства, зависящая от взаимодействий между «О» -частицами,
• μ – магнитная проницаемость пространства, также зависящая от свойств «О» -частиц.
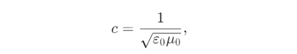
Согласно уравнениям Максвелла, скорость света в вакууме определяется как:

где ε0 и μ0 – электрическая и магнитная постоянные. В традиционной физике эти постоянные считаются универсальными. Однако мы предлагаем рассматривать их как локальные параметры, отражающие свойства пространства, заполненного «О» -частицами.
Поскольку свойства пространства могут изменяться в различных областях Вселенной, это может приводить к незначительным изменениям скорости света. Однако важно отметить, что:
• В большинстве областей Вселенной свойства пространства однородны, и скорость света остаётся постоянной.
• Изменения скорости света в нашей теории предполагаются крайне малыми и могут проявляться только в особых условиях, которые будут предметом дальнейших исследований.
Представление о скорости света как о свойстве пространства, наполненного «О» -частицами, открывает новые возможности для объяснения некоторых физических явлений:
• Переосмысление константности скорости света: возможно, что скорость света не является абсолютно постоянной, а может незначительно варьироваться в зависимости от свойств пространства.
• Новые подходы к проблемам космологии: изменение скорости света в ранней Вселенной может дать альтернативные объяснения некоторым космологическим наблюдениям.
Проверка гипотезы о зависимости скорости света от свойств пространства представляет значительный интерес:
• Точные измерения скорости света в различных условиях могут помочь обнаружить возможные вариации.
• Астрономические наблюдения позволяют исследовать распространение света на больших космических масштабах и проверить предсказания теории.
Преимущества нашего подхода:
• Унификация представлений: рассмотрение скорости света как свойства пространства, наполненного «О» -частицами, способствует более целостному пониманию природы электромагнитных явлений.
• Гибкость теории: возможность изменения скорости света предоставляет дополнительные инструменты для объяснения сложных физических процессов.
В нашей «Ѣ-теории» скорость света не является неизменной универсальной константой, а рассматривается как свойство пространства, определяемое параметрами «О» -частиц. Это открывает новые перспективы в понимании фундаментальных законов природы и стимулирует дальнейшие исследования в области теоретической и экспериментальной физики. Это, однако, не заставляет нас отказываться от расчётов из современной физики, где скорость света используется как константа из ОТО. И связано это с тем, что в нашей теории эта величина также является практически неизменной для существующей Вселенной, и вариации становятся заметны, так же как и в ОТО и СТО, только в местах экстремального гравитационного воздействия массивных тел. Хотя и трактуются несколько иначе.
Скорость света в пределах Солнечной системы
Для более глубокого понимания нашей гипотезы о плотности пространства и её влиянии на скорость света мы провели расчёты относительных изменений скорости света в пределах Солнечной системы. Эти расчёты помогают оценить, насколько значимы такие изменения вблизи планет. Чтобы избежать излишней перегруженности книги математическими выкладками, здесь мы представляем только итоговые результаты.
Результаты расчётов
Относительные изменения скорости света для планет Солнечной системы оказались чрезвычайно малыми. Вот их значения:
• Меркурий: 2,474 × 10—34
• Венера: 1,323 × 10—34
• Земля: 9,575 × 10—35
• Марс: 6,284 × 10—35
• Юпитер: 1,838 × 10—35
• Сатурн: 1,000 × 10—35
• Уран: 4,987 × 10—36
• Нептун: 3,185 × 10—36
• Плутон: 2,424 × 10—36
Анализ данных
1. Чрезвычайно малые изменения:
На Меркурии, ближайшей к Солнцу планете, относительное изменение скорости света составляет порядка 2,474 × 10—34, а абсолютное изменение скорости – около 7,422 × 10—26 м/с. Это значение настолько мало, что его невозможно измерить современными инструментами.
2. Уменьшение на внешних планетах:
На более отдалённых от Солнца планетах изменения становятся ещё меньше, достигая порядка 10—36 на Плутоне.
3. Соответствие наблюдениям:
Эти результаты подтверждают, что в пределах Солнечной системы мы не наблюдаем значительных отклонений скорости света, что согласуется с экспериментальными данными современной физики.




