Люминесценция органических, металл-органических и координационных соединений

- -
- 100%
- +

© Валентина Владимировна Уточникова, 2018
ISBN 978-5-4493-5022-0
Создано в интеллектуальной издательской системе Ridero


Введение
Люминесценция – это явление, которое находит все больше применений в современном мире: достаточно упомянуть только получающее все большее распространение OLED-дисплеи, в основе работы которых – электролюминесценция металл-органических соединений. С помощью люминесцентных соединений производят защиту ценных бумаг – в первую очередь денег, – а также проводят диагностические исследования, поскольку люминесцентная биовизуализация обладает очень высоким разрешением.
Поиск новых соединений для этих применений, как и поиск новых областей применения люминесцентных соединений, невозможен без понимания особенностей этого явления. Этому и посвящена данная книга.
1. Свет и источники света
Человеческое цветовосприятие
Пожалуй, с самого момента изобретения колеса и даже с того времени, когда человек научился добывать огонь трением, фундаментальная наука существует неразрывно от прикладной. Именно поэтому основной акцент при изучении люминесценции делается именно на излучении в видимом диапазоне спектра: говоря «видимый», мы негласно подразумеваем «видимый здоровым человеческим глазом». Более формально под видимым диапазоном разные источники подразумевают область от 400…700 нм до 380…800 нм. Именно в этой области интенсивность солнечного спектра максимальна, и это не случайно: за миллионы лет развития наш глаз эволюционировал так, чтобы детектировать свет именно тех длин волн, интенсивность которых в спектре основного источника естественного освещения – солнца – максимальна.
Прежде чем сравнивать различные источники света, рассмотрим механизм детектирования и обработки светового сигнала самым важным для нас оптическим прибором – человеческим глазом. Свет, падающий в глаз, вызывает фотохимические реакции в сетчатке, которая соответствует фотопленке. Нервный импульс, генерируемый в результате этой реакции, передается в мозг, генерируя зрительный сигнал. Сетчатка охватывает около двух третей внутреннего поверхность глазного яблока и представляет собой прозрачную пленку толщиной около 0,3 мм, со сложной структурой, включающей несколько типов клеток. Падающий свет попадает на сетчатку, как указано на рисунке, и достигает светочувствительного нейроэпителиального слоя. Оптический нерв, который расположен в передней части нейроэпителиального слоя, выполняет обработку сигнала.

За восприятие цвета у нас отвечает два типа светочувствительных клеток – фоторецепторов: высоко чувствительные палочки, отвечающие за ночное зрение, и менее чувствительные колбочки, отвечающие за цветное зрение. В отличие от большинства животных, у которых существует два типа колбочек, чувствительных к синему и красному цвету, у приматов из-за перехода к дневному образу жизни в результате мутации появился третий цвет колбочек, чувствительных к зеленому цвету. Нормализованные спектры светочувствительности этих трех типов колбочек показаны на а. При этом интересно, что максимум кривой чувствительности палочек смещен относительно максимума кривой суммарной чувствительности колбочек в синюю область – именно поэтому в темноте лучше видны синие предметы.

Рис. 1 а) Спектры чувствительности колбочек (С – синий, З – зеленый, К – красный) и б) кривая чувствительности палочек (фиолетовая кривая) и кривая суммарной чувствительности колбочек (синяя кривая)
Наличие трех типов фоторецепторов приводит к трехкомпонентой системе человеческого зрения, причем, поскольку кривые их чувствительности перекрываются, свет различного спектрального состава может ощущение одинакового цвета. Это явление называется метамерией. Еще одним важным свойством человеческого зрения является время сбора информации, которое у разных животных различно. У человека оно составляет 20 мс, что должно быть учтено при создании дисплеев, картинка на которых для появления эффекта непрерывного изображения должна сменяться не реже одного раза каждые 20 мс.

Рис. 2 Распределение палочек (сплошная линия) и колбочек (пунктирная линия)
Осталось отметить, что распределение нейроэпителиальных клеток в сетчатке неравномерно. Колбочки сосредоточены в окрестности оптической оси в центральной ямке. Центральная ямка – это узкая область сетчатки, около 1,5 мм в диаметре, в которой расположено примерно 100000—150000 колбочек, поэтому максимальное разрешение достигается именно в этой узкой области. В отличие в колбочек, палочки практически отсутствуют в непосредственной близости от центральной ямки и распределены в широкой области сетчатки. Поскольку в темноте за зрение отвечают палочки, а не колбочки, звезды ночью более четко видны, если слегка сощурить глаза. Кроме того, поскольку в той части сетчатки, где проходит зрительный нерв, светочувствительные клетки отсутствуют, эта часть не может воспринимать свет и называется слепым пятном. Слепое пятно находится под углом 15º от оптической оси и составляет около 5º в ширину.
1.1 Формирование цвета
Вернемся к системе формирования цвета человеческим глазом. Есть два способа формирования цвета: аддитивный, при котором происходит сложение цветов непосредственно излучающих объектов, и субстрактивный, при котором происходит вычитание определенных цветов из отраженного белого света. Субстрактивная система формирования цвета используется, например, при работе красных стоп-сигналов в автомобиле: красное стекло, за которым находится лампочка – источник белого света, является фильтром, который поглощает остальную часть спектр, пропуская только красный свет. Так же работают и жидкокристаллические мониторы: перед источником непрерывного спектра находится матрица жидкокристаллических фильтров, которые поглощают свет различных длин волн в зависимости от подаваемого напряжения. Формирование света с помощью аддитивной системы используется, например, в светодиодных лампах, которые будут более подробно обсуждены в следующем разделе. В таких лампах восприятие белого света обеспечивается смешением синего света люминесценции полупроводникового кристалла и желтого цвета широкого спектра люминесценции порошкового люминофора.
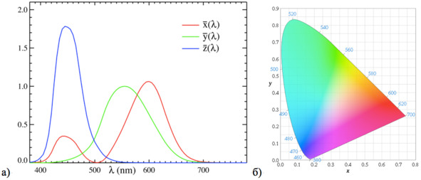
Математически это можно описать с помощью цветовой модели, основной целью которой является количественное сравнение различных цветов. В основу этой модели легло определение трех – по числу типов колбочек – функций цветового соответствия, с помощью которых путем умножения на них спектра источника света можно получить трехкомпонентный вектор, описывающий детектируемый глазом цвет. В колориметрии данные функции принято называть функциями цветового соответствия (англ. color matching functions). Эти функции были экспериментально определены на основе проведенных в конце 1920-х – начале 1930-х годов Дэвидом Райтом и Джоном Гилдом экспериментов.

Рис. 3 а) Функции цветового соответствия Стандартного колориметрического наблюдателя, определённые комитетом CIE в 1931 году на диапазоне длин волн от 380 до 780 нм (с 5 нм интервалом) и б) диаграмма CIE
Конец ознакомительного фрагмента.
Текст предоставлен ООО «ЛитРес».
Прочитайте эту книгу целиком, купив полную легальную версию на ЛитРес.
Безопасно оплатить книгу можно банковской картой Visa, MasterCard, Maestro, со счета мобильного телефона, с платежного терминала, в салоне МТС или Связной, через PayPal, WebMoney, Яндекс.Деньги, QIWI Кошелек, бонусными картами или другим удобным Вам способом.



