- -
- 100%
- +
Instrucciones
1. Este test tiene 30 preguntas. Cada una con 5 opciones, señaladas con las letras A, B, C, D y E, de las cuales una sola es la respuesta correcta.
2. Dispones de 60 minutos para responderlo.
1. La potencia 85 tiene el mismo valor que la(s) potencia(s):
I. 410
II. 215
III. 48
A) Solo I
B) Solo II
C) Solo III
D) Solo I y II
E) Solo II y III
2. ¿Cuál es el resultado de 52 + 122?
A) 112
B) 122
C) 132
D) 172
E) 174
3. ¿Cuál es el resultado de 252 – 242?
A) 12
B) 32
C) 52
D) 62
E) 72
4. ¿Qué expresión equivale a 65 – 63?
A) 62
B) 63 • 7
C) 63 • 37
D) 63 • 5 • 7
E) 63 • 2 • 3
5. ¿Cuál es el dígito que se ubica en la posición de las unidades al calcular 390?
A) 0
B) 1
C) 3
D) 7
E) 9
6. ¿Cuál de las siguientes expresiones corresponde al número menor?
A) 333
B) 333
C) 333
D) (33)3
E) 3(33)
7. Respecto de la expresión:

¿Cuál(es) afirmación(es) es (son) verdadera(s)?
I. El numerador es positivo.
II. El denominador es negativo.
III. El valor de la expresión es un número entero.
A) Solo I
B) Solo II
C) Solo III
D) Solo I y III
E) I, II y III
8. En un centro de investigación se estudió el rebote de una pelota y concluyeron que la altura del rebote decrecía según potencias de 0,9, es decir, el primer rebote medía 0,9 m de alto, el segundo medía (0,9) 2 m, y así sucesivamente. ¿Cuál es la medida de la altura que alcanzó la pelota en el quinto rebote?
A) 0,729 m
B) 0,6561 m
C) 0,59049 m
D) 6.561 cm
E) 590,49 cm
9. El resultado de (–3)3 + 3–3 es:

10. ¿Qué potencia equivale a 48 • 83?
A) 216
B) 225
C) 1224
D) 3211
E) 3224
11. Considerando x ≠ 0, la expresión (x–4 – x–2)x 4 es equivalente a:
A) 1
B) –x2
C) 1 + x2
D) 1 – x2
E) 1 – x –2
12. ¿Cuál es el resultado al simplificar la expresión ?
A) 32
B) 3–2
C) 3–1
D) 30
E) 33
13. Si n , ¿qué expresión es equivalente a ?

14. ¿Qué potencia resulta al resolver ?
A) 40
B) 41
C) 46
D) 412
E) 4–12
15. ¿Cuál es el promedio entre 250 y 260?
A) 249
B) 255
C) 249 + 260
D) 249 (1 + 260)
E) 249 (1 + 210)
16. Si 4r = a y 2r = b, entonces 4r + 1 • 2r – 1 =

17. ¿Cuál es el resultado que se obtiene al resolver la siguiente expresión?


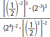
18. El resultado de la expresión es:
A) 43 + 45
B) 43 + 45 + 41
C) 42 + 45 + 41
D) 43 + 45 + 40
E) 40 + 45 + 41
19. ¿Cuál es el resultado de la expresión ?
A) 82x
B) 8x
C) 8–x
D) 8–2x
E) 8
20. En un experimento se pudo observar que una población de bacterias P después de aplicar el antídoto decrecía según la expresión • M, donde M es la población inicial y n representa los días transcurridos desde que se aplicó el antídoto. ¿Cuántos días deberían pasar para que la población llegue a ser 0,0625M?
A) 1 día.
B) 2 días.
C) 3 días.
D) 4 días.
E) 5 días.
21. Si a, b , ¿qué potencia resulta al resolver (2a)b – a : (2b)b + a?
A) 1
B) 2a2 – b2
C) 2–a + b
D) 2–(a2 – b2)
E) 2–(a2 + b2)
22. Respecto de la expresión b = an, a , n , ¿cuál(es) de las siguientes afirmaciones es (son) verdadera(s)?
I. Si a > 0 y n < 0, entonces b < 0.
II. Si a

III. Si a < 0 y n = 2p, donde p

A) Solo II
B) Solo III
C) Solo I y II
D) Solo II y III
E) I, II y III
23. ¿Cuál es el resultado que se obtiene al resolver la siguiente expresión?

A) 2–2
B) 2–1
C) 21
D) 25
E) 213
24. El resultado de la expresión es:
A) 3–2
B) 3–1
C) 30
D) 31
E) 32
25. Si a, b – {0} y a ≠ b, entonces la expresión (a–1 – b–1)–1 : (b – a)–1 es equivalente a:

26. ¿Qué expresión resulta al resolver ?
A) 3
B) 32
C) 3p
D) 32p
E) 33p
27. En la expresión , ¿cuál es su resultado?
A) 1
B) 3
C) 9
D) 27
E) 81
28. Si a = 8t y b = 2t, ¿cuál(es) de las siguientes expresiones es (son) verdadera(s)?
I. a • b = 16t
II. a : b = 22
III. a + b = 2t(22t + 1)
A) Solo I
B) Solo III
C) Solo I y II
D) Solo I y III
E) Solo II y III
29. El valor de la potencia an es –1 si:
(1) a = –1
(2) n = 2p – 1, con p

A) (1) por sí sola.
B) (2) por sí sola.
C) Ambas juntas, (1) y (2).
D) Cada una por sí sola, (1) o (2).
E) Se requiere información adicional.
30. Si a , ¿cuál es el valor de a?
(1) a2 = 1
(2) a – 1 = 0
A) (1) por sí sola.
B) (2) por sí sola.
C) Ambas juntas, (1) y (2).
D) Cada una por sí sola, (1) o (2).
E) Se requiere información adicional.
Respuestas correctas


Instrucciones
1. Este test tiene 30 preguntas. Cada una con 5 opciones, señaladas con las letras A, B, C, D y E, de las cuales una sola es la respuesta correcta.
2. Dispones de 60 minutos para responderlo.
1. ¿Cuánto es ?

2. El valor de es:
A) 1,6
B) 0,16
C) 0,016
D) 0,106
E) 1,06
3. El resultado de es:

4. Al resolver se obtiene:

5. ¿Cuál(es) de las siguientes igualdades es (son) verdadera(s)?

A) Solo I
B) Solo II
C) Solo III
D) Solo I y III
E) I, II y III
6. El resultado de es:

7. Si , con a, b, c, d , ¿cuál es la relación entre a y d?

8. Al sumar se obtiene:

9. ¿Cuál es el resultado de ?

10. ¿Qué alternativa equivale a ?

11. El resultado de es:

12. Al resolver , ¿cuál es su resultado?

13. ¿Qué resultado se obtiene al resolver ?
A) –6
B) –3
C) 0
D) 3
E) 6
14. Al resolver , ¿qué resultado se obtiene?

15. Para que se cumpla la igualdad (2 – )2 = a + , ¿cuáles deben ser los valores de a y b?
A) a = 2, b = 6
B) a = 4, b = –6
C) a = 31, b = 6
D) a = 31, b = –6
E) a = 31, b = –12
16. ¿Cuál de las siguientes expresiones es equivalente a ?

17. Al calcular , se obtiene:

18. Si b 2, ¿cuál es el valor de la expresión ?

19. Si n , entonces la expresión es equivalente a:
A) 2n – 1
B) 2n + 1
C) 2n – 2
D) 22n – 1
E) 22n + 1
20. La expresión es igual a:

21. Considerando n , entonces la expresión corresponde a:
A) 3n + 2
B) 3n + 1
C) 3n + 1
D) 3n + 2
E) 3n
22. ¿Cuál es el valor de ?

23. ¿Cuál es el resultado de ?

24. Si – 2 = –1, ¿cuál es el valor de x?
A) 1
B) 2
C) 3
D) 4
E) –1
25. ¿Cuál es el valor de x en la expresión ?
A) 4
B) 9
C) 5
D) 2
E) 1
26. Si , ¿cuál es el valor de x?

27. ¿Cuál de las siguientes afirmaciones es verdadera?
A) La raíz enésima de un número negativo es siempre negativa.
B) La suma de las raíces enésimas es igual a la raíz enésima de la suma.
C) A todo número real positivo se le puede calcular su raíz enésima.
D) El valor de la raíz enésima de un número real es siempre positivo.
E) El cociente de las raíces enésimas es igual a la raíz enésima del producto.
28. ¿Cuál es el resultado de ?

29. Para conocer el valor numérico de , se debe cumplir que:

A) (1) por sí sola.
B) (2) por sí sola.
C) Ambas juntas, (1) y (2).
D) Cada una por sí sola, (1) o (2).
E) Se requiere información adicional.
30. La expresión está bien definida si:
(1) b > 1
(2) a < 0
A) (1) por sí sola.
B) (2) por sí sola.
C) Ambas juntas, (1) y (2).
D) Cada una por sí sola, (1) o (2).
E) Se requiere información adicional.
Respuestas correctas


Instrucciones
1. Este test tiene 30 preguntas. Cada una con 5 opciones, señaladas con las letras A, B, C, D y E, de las cuales una sola es la respuesta correcta.
2. Dispones de 60 minutos para responderlo.
1. Si A = log x, con x > 1, B = log y C = log (1 + x), se cumple que:
A) A + B = C
B) A + B + C = 0
C) A + C = B
D) B + C = A
E) Ninguna de las anteriores.
2. La siguiente expresión relaciona los decibeles D según la intensidad I de un amplificador D = 10 • log (I • 1012)
Si en un amplificador de sonido se triplica la intensidad, ¿en cuánto aumentan los decibeles si log 3 ≈ 0,47?
A) Aproximadamente 4 unidades.
B) Aproximadamente 5 unidades.
C) Aproximadamente 10 unidades.
D) Aproximadamente 12 unidades.
E) Ninguna de las anteriores.
3. ¿Cuál de las siguientes afirmaciones es falsa?
A) El logaritmo de una potencia es igual al producto entre el exponente de la potencia y el logaritmo de la base de la potencia.
B) Si a

C) Si a

D) Dos logaritmos con la misma base son iguales si y solo si sus argumentos son iguales.
E) Si a > 0, entonces log a < a.
4. ¿Cuál(es) de las siguientes igualdades es (son) siempre verdadera(s)?

A) Solo I
B) Solo II
C) Solo II y III
D) Solo I y II
E) I, II y III
5. Al aplicar la definición de logaritmo a la expresión log35 = a, resulta:
A) a3 = 5
B) a5 = 3
C) 53 = a
D) 35 = a
E) 3a = 5
6. ¿Cuál es el valor de log327?
A) 1
B) 2
C) 3
D) 0,4
E) 0,5
7. ¿Cuál es el valor de la expresión log2128 + log 100 – log5625?
A) –10
B) –5
C) 5
D) 10
E) 397
8. Si log 2 ≈ 0,30 y log 3 ≈ 0,47, ¿cuál es el valor de la expresión log 48 + log 6 – log 108?
A) 0,17
B) 0,43
C) 0,9
D) 1,07
E) 1,37
9. ¿Cuál es el valor de la expresión log25 • log58?
A) log 40
B) log240
C) log 4
D) 3
E) log 8
10. ¿Cuál de las siguientes expresiones es equivalente a logb?

11. Si A = log155, ¿cómo se escribe log1581 en términos de A?
A) 2A
B) 4A
C) 1 – A
D) A + 5
E) 4 • (1 – A)
12. ¿Cuál de las siguientes afirmaciones es verdadera?
A) log5


B) La expresión logab se lee como logaritmo de a en base b.
C) log749 existe y su valor es 2.
D) El argumento y la base de un logaritmo son números reales, además la base puede ser 1.




