Тензоры. Что может быть проще?

- -
- 100%
- +

© Юрий Бердинский, 2025
ISBN 978-5-0067-3763-1
Создано в интеллектуальной издательской системе Ridero

Тензоры – это факты вселенной!Лилиан Р. Либер
Введение
Если вы сейчас читаете эти строки, то, скорее всего, уже слышали слово «тензор» и, возможно, даже пытались его понять в ВУЗе. Но, признайтесь, большинство книг по тензорному исчислению написаны так, что даже самые стойкие студенты начинают подозревать, что их авторы – это инопланетяне, которые решили поиздеваться над человечеством. Все эти громоздкие формулы с индексами выглядят так, будто кто-то просто решил поиграть в «найди 10 отличий» между математикой и искусством абстракции.
Если вы уже успели пострадать от этой тензорной пытки, то эта книга станет для вас настоящим глотком свежего воздуха! Мы вернём наглядность в мир тензоров, и вы почувствуете себя не просто читателем, а настоящим гением, который сам изобрёл все эти сложные штуки. А как иначе? Ведь только тот, кто способен переизобрести нечто, может с гордостью заявить: «Я это понял!» Так что готовьтесь, мы отправляемся в увлекательное путешествие по миру тензоров, где даже самые запутанные формулы станут для вас простыми и понятными!
Большинство математических идей на самом деле просты, как дважды два, и тензоры – не исключение. Вспомните, как в школе даже самые отъявленные двоечники получали неплохие оценки, когда дело доходило до векторов. Всё так просто и наглядно, как счётные палочки, которые, кстати, могли бы стать отличным оружием в битве с математической скукой. Так начиналось ваше первое знакомство с тензорами, ведь вектор – это тензор первого ранга!
Разумно предположить, что читатель, решивший изучить тензоры, уже сведущ в таких вещах, как линейная алгебра и математический анализ. Иначе где бы вы вообще могли услышать данное слово? Поэтому и для чтения данной книги требуется подготовка уровня хотя бы школы. Но не переживайте, даже если вы не гуру математики, вы всё равно сможете извлечь из этого пособия массу полезного благодаря его наглядности.
На страницах этой книги будет использовано ровно столько математики, чтобы помочь, а не мешать непрофессионалу. Её цель – глубокое наглядное понимание основных идей тензорного исчисления. Без математической муштры и заумных терминов. Только суть и наглядность! Большей наглядности не представлено до сих пор нигде! Ни в одном из курсов.
Изложение мы начнём с наглядной интерпретации так называемых ковариантных и контравариантных компонент тензоров. Затем увидим, что одним вектором чаще всего не обойтись и что появление тензоров – естественно и неизбежно. Разберём, как можно начать ориентироваться, оказавшись в неведомых мирах непонятной природы, вводя структуру многообразия. Далее увидим тензоры в самых неожиданных местах, таких, например, как стул, на котором вы сидите. Он ведь имеет верх и низ и некую площадь. А значит, обладает ориентированной площадью. Спойлер: полностью антисимметричным тензором. Потом нас ждёт дуальность Ходжа. И нет, это не новый персонаж Marvel, а магическая операция, которая превращает дифференциальные формы в их альтер-эго. Все эти объекты будут возникать у нас естественно и непринуждённо. Привыкнув к ним, мы познакомимся уже с весьма специальными тензорами, носящими имена сопричастных к ним математиков и физиков. Затем познакомимся с группами Ли и тензорами, обитающими в этих мирах. И напоследок заглянем ещё глубже в Варп-геометрии, обнаружив спиноры. Они крутятся на 720 градусов, чтобы вернуться в исходное положение (да, они странные). Но спиноры помогают ввести спин-тензоры, которые тоже у нас вполне по теме. В итоге мы окончательно развенчаем миф о сложности тензорного исчисления и сделаем все его понятия такими же естественными и наглядными, как ваши любимые счётные палочки. И, прочитав эту книгу, вы воскликнете: «Тензоры – что может быть проще?»
Ковариантность и контравариантность
Для покорения космоса человечеству, как это ни странно, нужно было научиться складывать стрелочки. Ещё Архимед, живший в 287—212 годах до нашей эры, складывал силы, действующие на тело, по правилу параллелограмма, то есть интуитивно вводил особые объекты, которые характеризуются не только величиной, но и направлением. Но вот беда: не всё, что кажется стрелочкой и имеет направление, на самом деле ею является. И в этом разделе нам предстоит сделать важный шаг к пониманию тензоров – понять, что есть два фундаментальных объекта, притворяющихся для неопытного человека векторами. Речь идёт о векторах собственной персоны, знакомых нам ещё со школы, и новой штуковине – ко-векторах.
Вспомним о векторах
Вектор – это не просто стрелка на плоскости, а настоящий герой в мире математики и физики. Он помогает нам описывать движение, силы и даже сложные явления в природе. Но что же такое вектор в самом простом понимании? Это направленный отрезок, который имеет как величину, так и направление. В повседневной жизни мы сталкиваемся с векторами постоянно: от стрел на картах до GPS-координат, которые помогают нам не заблудиться в большом городе. Векторы – это не просто абстракция, а мощный инструмент, который помогает нам ориентироваться в пространстве и времени.
В науке и технике векторы играют ключевую роль. Они позволяют моделировать физические процессы, анализировать данные и даже создавать новые технологии. Например, векторы используются в механике для описания движения объектов, в электротехнике для анализа электрических полей и в компьютерной графике для создания реалистичных изображений. Но как же мы можем работать с этими векторами? С ними можно иметь дело как с реальными стрелочками, складывая их по правилу «начало к концу» или по правилу параллелограмма. Их можно удлинять или укорачивать, умножая на число, или даже поворачивать вспять, меняя начало и конец посредством умножения на отрицательные числа. Но можно с векторами работать и в более абстрактном виде. Здесь на помощь приходят компоненты вектора. Что же такое компоненты вектора? Это способ представления вектора в виде набора чисел, которые описывают его величину и направление в определённой системе координат.

Координаты вектора (карандаша) в разных системах. Компоненты разные, но описывают один и тот же объект – карандаш.
Чтобы представить наглядно компоненты вектора, вы можете направить карандаш на дверь. Где у него начало и конец – очевидно. Если же вы теперь выберете три произвольных направления в пространстве, не лежащих на одной прямой, и зададите для каждого из них единицу измерения, то легко сможете составить из получившихся, так называемых базисных векторов, объект, равный вашему карандашу. Сам карандаш имеет фиксированную длину и указывает на дверь. Какие бы три направления вы ни выбирали, вы всё равно сможете ими описать один и тот же карандаш, указывающий на дверь. Это простейшее представление вектора – в виде стрелки или в виде упорядоченной совокупности чисел.
На самом деле, вектор – это нечто более абстрактное. Это сущность, которая обладает направлением и величиной. Как хороший комиксный герой: у него есть суперспособность (величина) и цель в жизни (направление). Важно понимать: вектор – это не просто координаты. Координаты – это всего лишь способ описать вектор, как паспорт для человека. Без паспорта жить сложно, но паспорт – это не вся личность.

В зависимости от ситуации, вектора можно складывать и умножать на числа, как геометрически, так и в компонентах.
Но, имея все координаты векторов в каком-то конкретном базисе, мы можем складывать их уже не как стрелочки, а как упорядоченные массивы чисел. Компоненты векторов принято обозначать как числа в вертикальном столбце. В такой записи их весьма удобно складывать – этаж с этажом. Также при умножении вектора на число умножаются на него все компоненты на каждом этаже массива.
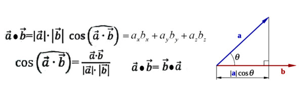
Для того чтобы оценить положение одного вектора относительно другого, вводят такую штуку, как скалярное произведение. По своей сути это проекция (тень) одного вектора на направление другого, умноженная на длину этого другого. Зачем проецируемый вектор умножать на длину второго, почему нельзя просто спроецировать? Дело в том, что с практической точки зрения хочется сделать эту операцию симметричной, и к тому же простое проецирование на направление, заданное вторым вектором, можно устроить скалярным умножением на единичный вектор. А в практических целях зачастую нужно ещё учитывать влияние второго вектора, на который мы проецируем первый. Также скалярное произведение вектора на самого себя даёт квадрат его длины. Длину вектора часто называют его модулем. Если скалярное произведение векторов равно нулю, то говорят, что они ортогональны (это такой сложный синоним слова «перпендикулярны»). Ортогональность векторов является их особым взаимоположением, крайне полезным и значительно упрощающим многие вычисления.

Скалярное произведение векторов в результате даёт число, равное произведению длины проекции первого вектора на второй и наоборот.
На скалярное произведение можно смотреть и как на свёртку двух векторов. Как на результат их взаимодействия. В последствии мы с вами увидим, как можно вектор прогнать сквозь тензор, также за счёт скалярного произведения уже с ним. Таким образом можно будет узнать, как тензор видоизменяет окружающие явления. Но пока обойдёмся без спойлеров.
Из двух векторов можно породить не только скаляр, но и вектор с помощью уже векторного произведения. Он будет перпендикулярен обоим перемножаемым векторам, а его длина (модуль) будет равна площади параллелограмма, «натянутого» на исходные векторы.
Чтобы узнать направление получаемого вектора, нужно первый множитель будто отвёрткой повернуть ко второму, и куда в этом случае отвёртка будет закручиваться, туда и будет указывать новый вектор.
Само по себе векторное произведение примечательно ещё и тем, что это, пожалуй, первый некоммутативный объект, с которым знакомится человек, начинающий изучать математику. Ведь если переставить в этом произведении множители, то результат будет иметь противоположный знак.

Векторное произведение векторов.
Почему это важно? Потому что это первый раз, когда мозг учащегося осознаёт: порядок имеет значение! До этого он жил в розовых очках коммутативности, где 2+3 = 3+2, а умножение – это сонное чаепитие Алисы в Стране Чудес.
Такой случай некоммутативности весьма прост и называется антикоммутативностью. Бывает, что перестановка множителей у других операций меняет результат до неузнаваемости.
Если честно, то результат векторного произведения – это не совсем и вектор. Его называют аксиальным вектором, или псевдо-вектором. В зазеркалье он ведёт себя как злодей из фильма: выглядит так же, но злорадно меняет знак. И да, это не глюк – так мир устроен!
Не всё то вектор, что им кажется
Вспомнив самые основные свойства векторов, мы теперь можем перейти к более причудливым объектам, которые векторами долго прикидывались. Люди чуть ли не с античных времён пользовались стрелочками в практических задачах. И лишь в 1853 году Джеймс Сильвестр (James Sylvester) заподозрил неладное и ввёл в обиход понятия о ковариантных и контравариантных объектах.
Понятия эти возникают при рассмотрении того, как объекты ведут себя при смене системы отсчёта, а значит, и координат. Величины, которые от смены базиса не зависят, называются скалярными. К таковым, например, относится энергия, температура. Скалярное поле – это число, прикреплённое к каждой точке пространства, словно ценник в супермаркете. Например: температура в комнате: +25° C на диване, +30° C у плиты и -273° C в душе у того, кто включил ледяную воду. Потенциальная энергия: максимум – на диване, минимум – в спортзале. Скалярному полю всё равно, как вы описываете точку. Ваш балкон может быть: с географическими координатами: 55° 75′ с.ш., 37° 61′ в.д.; улицей и домом: «Третий этаж, дом у реки»; в полярных координатах: «500 шагов от памятника, повернуть налево у электрического столба». Но температура там всё равно будет +30° C.
Но помимо скаляров существуют объекты, которые помимо величины обладают ещё и направлением. Это вроде как векторы. Но вот загвоздка в том, что при смене координат их компоненты меняются совершенно по-разному. Причём одним из только двух способов!
Чтобы наглядно увидеть, о чём идёт речь, давайте рассмотрим хрестоматийный пример такого противоположного поведения двух величин, имеющих одно и то же направление.
Давайте рассмотрим простой пример: одномерное пространство. Возьмём числовую прямую, зададим на ней начало отсчёта и единицу длины: 1 метр. Теперь представьте, что у нас есть скалярное поле температуры, которая растёт равномерно. В ноле температура равна нолю, а на каждый метр она поднимается на сто градусов! Таким образом, у нас появляется векторное поле темпа роста температуры, называют его «градиент». В каждой точке он постоянен и равен 100 градусов на метр.
И, наконец, зададим скорость какого-то газа, которая во всех точках одинакова и равна 1 метр в секунду.

Градиент температуры и скорость преобразуются при смене координат противоположным образом!
В одномерном пространстве базис можно сменить, лишь сдвинув начало отсчёта или изменив единицу длины. Так что разнообразие координат не велико. Мы же в нашем примере для простоты поменяем единицу измерения! Перейдём от метров к сантиметрам, уменьшив тем самым единицу измерения аж в 100 раз. Температура, как и положено настоящему скалярному полю, никак на эти изменения не отреагирует. В точке «1 метр» или, как мы теперь считаем, «100 см» она как была равна 100 градусам, так таковой там и осталась. При этом градиент температуры, как величина, имеющая направление, изменился. Он был равен 100 градусов на единицу длины, а стал равен 1 градусу на единицу длины. Таким образом, компонента градиента численно уменьшилась в сто раз, как и единица длины, как базисный вектор, если угодно. Запомним это! Скорость газа тоже изменилась, но противоположным образом! Она у нас была 1 единица длины в секунду, а стала теперь равна 100 единицам длины в секунду. То есть её компонента, напротив, выросла численно в 100 раз!
Эти два варианта изменений компонент неких объектов и лежат в основе тензорного исчисления. Давайте более детально всмотримся в причину такого различного поведения координат. Представьте себя на месте учёных прошлых веков и задумайтесь, чтобы вы предприняли на их месте? Как назвали бы новые объекты, которые явно обычными векторами не являются? Как бы их обозначили? Как стали бы изображать геометрически? Для тех, кто уже знаком с математическим анализом и понятием якобиана, приведём математические выкладки, которые прямо-таки намекают на удобный и естественный способ обозначения направленных величин, которые демонстрируют два варианта изменения компонент.

Разложение векторов и ковекторов по базисным объектам намекает на способ обозначения ко- и контравариантных компонент.
В векторном анализе градиентом называют производную скалярного поля по координатам. Эта величина явно имеет направление. А вектором скорости называют производную координат по параметру (у физиков – это время).
Присмотритесь к формулам этих величин. Где стоят индексы координат в случае градиента и скорости? Правда, идея обозначать разницу в этих объектах через положение индексов просится сама собой?
Вот и учёным мужам прошлого показалось так же. С тех пор объекты типа скорости называют векторами и обозначают буквами с индексами координат сверху, а объекты, подобные градиенту, называют ковекторами, и индексы компонент пишут у них снизу. В англоязычной литературе есть способ запомнить, где какой индекс ставить. Вектора называют контравариантным объектом, так как они преобразуются противоположным способом базису. В слове contravariance латинская буква «n» похожа на стрелочку, указывающую вверх, что напоминает о положении индекса у такого объекта вверху. И наоборот, ковекторы преобразуются так же, как базис, и в символизирующем это слове сovariance буква «v» напоминает стрелочку вниз, также напоминая математику о местоположении ковариантных индексов.
Что касается причин такого различного поведения векторов и ковекторов при смене базиса, то она вполне очевидна. В одном случае координаты стоят в числителе, в другом – в знаменателе дроби или производной. Соответственно, их изменения должны либо увеличивать сами компоненты, или уменьшать. Только и всего!
Вслед за учёными задумаемся над тем, как можно чисто геометрически изобразить векторы и ковекторы. Какая визуализация будет отражать наиболее полно их суть и делать алгебраические действия над ними более наглядными? И здесь ответ напрашивается сам по себе из рассмотренного нами примера. Вектор скорости действительно удобно изображать как стрелку, в более общем случае – это действительно наш классический вектор, касательный к некоей кривой, заданной координатами, зависящими от некоего параметра.
Если же мы внимательно посмотрим на ковектор, в качестве первого примера которого брали градиент, то наглядная аналогия-интерпретация придёт сама. Её подскажет сама суть, сама природа градиента. Что такое градиент? Это направление наискорейшего возрастания некоей величины. Если мы рассматриваем поле температур на плоскости, то можем провести линии через те точки, в которых температура имеет одно и то же значение. Выберем, например, шаг в 10 градусов. И при возрастании температуры на 10 градусов будем отмечать это линией. Допустим, температура возрастает только слева направо. Тогда линии постоянства температуры будут вертикальными. И чем быстрее температура растёт, тем ближе они будут располагаться друг к другу. Вот мы и получаем наглядное представление ковектора! Это стопка линий (в более общем случае – поверхностей), на которой для ещё большего удобства галочкой показывают направление наибольшего роста величины.
Ковекторы – знакомство поближе
В силу того, что с векторами каждый человек знаком со школы, у него уже на уровне инстинктов отработаны все действия над этими объектами. Нам теперь нужно довести до такого же автоматизма и наглядности операции с дуальными к ним объектами – ковекторами. Давайте научимся их складывать как в абстрактном алгебраическом представлении, так и в геометрическом – визуальном.

Геометрическая визуализация ковекторов.
Мы уже поняли, что удобнее представлять ковекторы как поверхности или линии. Существует немного свободы в обозначениях при начертании этих объектов. Иногда стрелочку ставят в середине стопки линий, иногда на переднем крае. Если у нас величина (энергия или температура, например) меняется сложным образом, то ковекторы мы изображаем изогнутыми линиями, кривизна которых может тоже меняться от точки к точке, или множеством линий в разных областях, имеющих разные направления. Практика показывает, что это очень удобно. Как и векторы, ковекторы являются инвариантными величинами, вещью в себе, которые не зависят от системы координат. Но их описание через компоненты будет выглядеть по-разному в разных базисах.
Для построения алгебры ковекторов полезно будет проводить аналогию с операциями над векторами и смотреть, как отличается их геометрическая интерпретация от собственно знакомых нам векторов. Мы умеем складывать два вектора. Конец одного прилагаем к началу другого и проводим линию от свободного конца первого вектора к свободному концу второго. Ковекторы можно тоже складывать. Но если мы помедитируем над тем, как сделать сложение таковым, чтобы оно сохраняло основные свойства ковекторов, то придём к следующему способу. Чертим первый ковектор в виде линий, затем на нём чертим второй. Линии обоих ковекторов образуют параллелограмм. Суммарным ковектором будут являться линии, проходящие через вершину этого параллелограмма и его диагональ.

Сложение ковекторов и умножение ковектора на число.
Мы умеем умножать вектор на число. Вектор при этом увеличивается в длине, если число больше единицы, и уменьшается, если оно меньше. Если число отрицательное, то вектор поменяет своё направление стрелочки на противоположное. С ковекторами выполняется в точности как у векторов лишь последний пункт. Если мы ковектор умножим на отрицательное число, он поменяет своё направление. В остальном ситуация иная. Умножение ковектора на число приводит к тому, что у него кратно этому числу возрастает плотность линий. Если число больше единицы, то ковектор становится более плотным, если число меньше единицы, то линии становятся более редкими пропорционально числу.
Чисто алгебраически ковекторы удобно обозначать как матрицы-строки. При этом мы складываем и умножаем на числа эти строки фактически так же как и векторы, записываемые матрицами-столбцами.
Дуальные объекты
Итак, на данный момент что мы имеем? У нас есть два типа объектов, имеющих направление. Над ними можно производить операции сложения и умножения на число (скаляр). Векторы при этом меняют длину, а ковекторы – свою «плотность». Векторы изображаются как столбцы из их компонент, а ковекторы – как строки. Глядя на чисто алгебраическую запись этих объектов в виде строк и столбцов, вы можете подумать, что это всё не так уж и сложно. Что это просто перевёрнутые числовые массивы, превращающиеся друг в друга «транспонированием». Верно? Но это оптическая и смысловая иллюзия! Всё же матрицы-строки и матрицы-столбцы – это принципиально разные типы объектов. И вы могли подумать, что они похожи, потому что вы работали с ними в ортонормированном базисе. То есть в базисе, где все базисные объекты имеют единичную длину и перпендикулярны друг другу. И идея преобразования как простого переворачивания строки в столбец и наоборот в таких системах отсчёта действительно верна. В более общем случае абы какого базиса это уже не работает. Но данное наблюдение всё равно даёт нам возможность задуматься о том, не сопоставить ли нам эти объекты друг другу. Вы наверняка умеете перемножать матрицы. И знаете, что умножение строки, стоящей слева, на столбец справа даёт число. Значит, такое взаимодействие ковектора и вектора можно мыслить как отображение двух объектов в один. Или рассматривать ковектор как функцию, которая «съедает» вектор и даёт число. В математике такую «дружбу» называют дуальностью.
Давайте попробуем развить эту идею и посмотреть, что получится. Мы не рассмотрим ковекторы чисто как матрицы-строки, а как функции, «питающиеся» векторами и выдающие число. И уже исходя из этой идеи построим их геометрическую интерпретацию. Если данный подход приведёт к тому же самому геометрическому облику ковекторов, то можно это считать феерическим успехом, а себя – мега-мыслителем!

Ковектор как линейное отображение (функция), берущая вектор и сопоставляющая ему число.
Прежде всего стоит заметить, что ковектор олицетворяет собой линейную функцию. Это весьма удобно. С линейными функциями и операторами крайне просто обращаться. Вынося из-под них множители, не нужно их возводить в какую-то степень или делать ещё более хитрые операции. Проверить это можно непосредственным вычислением в общем виде. Берём сперва складываем вектора, а потом действуем на них ковектором, а потом сперва действуем на оба вектора ковектором и складываем результаты. Значение данного отображения в обоих случаях совпадёт. Так же проверяется и линейность при умножении ковектора на число. Сперва умножаем вектор на число, а затем «съедаем» его ковектором и сравниваем с тем, что получилось при противоположном порядке действий: поглощённый ковектором вектор, после преобразования его в число, умножаем на константу.



