Тензоры. Что может быть проще?

- -
- 100%
- +
векторами и не только.
А что, если же мы создадим, например, с помощью тензорного произведения ковектора и вектора новый объект? Чем он будет являться? Как говорилось ранее, это будет тензор второго ранга, один раз ковариантный (в честь ковектора) и один раз контравариантный (в честь вектора). Каков его рацион и продукты питания? Эта получившаяся штука будет есть векторы своей ковекторной частью. Но результатом будет объект с одним контравариантным верхним индексом – вектор!
Но этот тензор смешанного типа можно, наоборот, покормить вектором, получив на выходе ковариантный объект – ковектор.
А если взять и перемножить два ковектора и один вектор? Тогда этот объект сможет взаимодействовать с двумя векторами своими двумя ковекторными частями и выдавать вектор. При этом все эти операции будут линейны из-за свойств линейности тензорного произведения. У нас также есть свобода выбора – в какую именно ковекторную пасть поместить вектор. А это сочетание – линейность и возможность делать выбор при взаимодействии с объектом называется – полилинейностью.
Таким образом, тензоры любой природы ведут себя как отображения. Берут один объект, его поглощают, уважая его линейные права, и выдают объект другой природы, даже могут в ранге повысить!
Но давайте вспомним, как происходит само это питание. Ковектор, например, берёт компоненты вектора, умножает их на соответствующие свои и суммирует это всё. С тензорами второго ранга, аки матрицами, также всё сводится к специфическому суммированию перемноженных компонент в определённом порядке. И там и там возникают суммы, порой весьма громоздкие. Но возникают они обязательно.
Данное обстоятельство в 1916 году совсем допекло гениального Эйнштейна. И он вдруг подумал: «А что, если сделать так, чтобы знак суммы выкидывали на помойку, а вместо этого просто договориться, что по повторяющимся индексам мы всегда автоматически суммируем?» Так и родилось правило Эйнштейна: если индекс встречается один раз сверху и один раз снизу – по нему суммируем. И никаких сигм!

Новые тензоры и разные варианты отображений.
Иногда для краткости записи опускают и сам символ тензорного произведения, когда понятно из контекста, что он там есть. Особенно при матричном перемножении или когда ясно, что вектор на ковектор умножается тензорно и по всему этому новому базису разлагается новый тензор через свои компоненты. Без всех этих упрощений обозначения уравнения Общей Теории Относительности (ОТО) и Квантовой Теории Поля (КТП) занимали бы целую стену, а так помещаются даже на футболке.

Порождение новых линейных пространств.
Если у нас есть тензоры высоких рангов, то мы их можем заставить взаимодействовать друг с другом огромным количеством способов. Результат будет зависеть от того, по каким индексам мы их сворачиваем (суммируем) с другими монстрами тензорного мира. Главное для нас то, что объект, например, четвёртого ранга может вести себя как вектор, если остальные его три индекса «зацементировать» или заставить их свернуться с другими тензорными объектами. В дальнейшем мы увидим колоссальную пользу и наглядность таких тензоров.

Полилинейность.
Теперь давайте вспомним ещё один факт. Векторы и ковекторы образуют так называемое линейное векторное пространство. Так называют наборы объектов, которые можно складывать между собой, умножать на числа, ну и нужно, чтобы среди всего этого множества были такие элементы, как единица и ноль в местной интерпретации. Тензорное произведение тоже линейно, и значит сохраняет все свойства линейных векторных пространств. А значит, те объекты, которые получились в результате тензорного произведения, сами являются представителями неких новых линейных векторных пространств. Эти пространства также обозначают через символ тензорного произведения или его симметричных и антисимметричных аналогов.
Математики любят оперировать с абстракциями. И казалось бы, где на практике, а не в математических астралах найдётся место тензорному произведению каких-то пространств?
Однако в современном мире и такие конструкции весьма популярны. Например, архитектура квантовых многочастичных систем строится как тензорное произведение и называется пространством Фока. Пространство Фока – это математическая конструкция, которая позволяет описывать системы с переменным числом частиц (как в КТП). Оно строится как прямая сумма симметризованных (для бозонов) или антисимметризованных (для фермионов) тензорных произведений гильбертовых пространств отдельных частиц. Прямая сумма – это тоже просто. Например, трёхмерное пространство является прямой суммой одномерных пространств, задаваемых координатными осями. Тензорное произведение объединяет гильбертовы пространства частиц в единую систему, сохраняя их независимость до симметризации. Симметризация/антисимметризация «склеивает» частицы в соответствии с их природой (бозоны/фермионы). И без этого сейчас никак не обойтись в передовой физике!
Преобразование тензоров
Основной фишкой векторов и ковекторов являлась их инвариантность. В какой бы системе отсчёта вы их не рассматривали и под каким углом, они всё равно остаются некоей вещью в себе. Тензорное произведение объединяет объекты такой природы в нечто новое. Получившийся тензор наследует все эти качества самостийности от векторов и ковекторов, из которых он собран. А значит, все тензоры должны подчиняться единому универсальному закону преобразования. Давайте его найдём. Собственно говоря, именно им тензоры так знамениты.

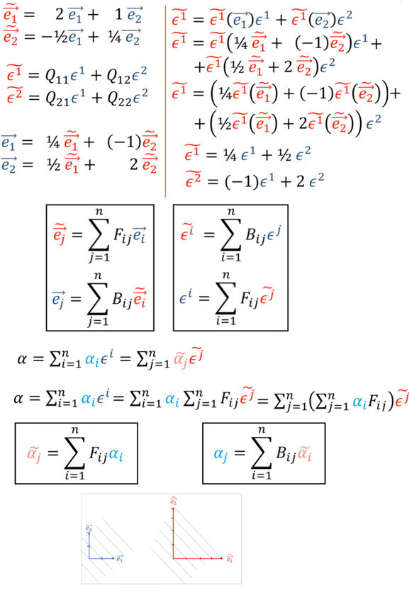
Выражения одного базиса через другой. Прямое и обратное преобразования базиса как ковектора.
Для осмысления этого закона преобразования давайте вспомним о векторах и ковекторах. Это дуальные объекты, которые мы разлагаем по их базисам. Если базисный вектор увеличивается, то базисный ковектор уменьшается. При этом их взаимодействие уже в новом базисе по-прежнему даёт единицу. Это очень хорошо и наглядно видно на рисунке, чисто геометрически.
Как мы преобразуем базис и как находим компоненты векторов и ковекторов в новом? Раньше мы это делали чисто геометрически. Просто могли нарисовать новую систему координат и спроецировать на неё ковариантные и контравариантные компоненты наших объектов. Но алгебраически это проще делать через матрицы. Именно они могут как масштабировать (растягивать и сжимать), так и поворачивать наши векторы и ковекторы, как базисные, так и остальные.

Дуальный базис сохраняет своё свойство в новых масштабах.
Но мы помним про правило Эйнштейна о суммировании индексов, стоящих на разных уровнях. Помним о том, что это позволяет удобным образом записывать разложение вектора по базисным векторам, у которых индекс пишем внизу. Мы также помним, что векторы и ковекторы преобразуются противоположным образом. Все вместе эти находки позволяют нам описать правила преобразования базиса и обычных объектов в единой системе обозначений.

Векторы преобразуются как надо,
умножаясь на матрицы как столбцы справа.

Для ковекторов всё тоже отлично работает!

Преобразование смешанного тензора.
Допустим, нам нужно перейти к новому базису. Совокупность базисных векторов мы будем записывать в виде строки и умножать на матрицу как ковектор. Такую матрицу перехода к новому базису будем называть F в честь слова Forward (вперёд). Матрицу обратного перехода назовём B в честь Backward (обратно). Это правило возьмём за основу. Из него всё остальное будет следовать автоматически. Разложив вектор по базисным векторам и перейдя к новому базису, мы убедимся, что новые компоненты вектора получены через матрицу обратного преобразования B. В противоположность базисным векторам. Так и должно быть. Если же мы теперь вспомним, что базисным векторам дуальны базисные ковекторы, и найдём их коэффициенты преобразования, то увидим, что их преобразует к новому базису тоже обратное преобразование. А вот уже не базисные ковекторы преобразуются к новому базису по прямому преобразованию. В общем, всё идеально складывается. Красиво и непротиворечиво.

Закон преобразования тензоров.
Разобравшись с преобразованием векторов и ковекторов и их базисов, понять, что будет с произвольными тензорами, совсем просто. Для примера давайте рассмотрим смешанный тензор второго ранга. Он один раз ковариантен и один раз контравариантен. Это больше походит на самый общий случай, ибо у него имеются компоненты обоих видов.
Подействуем этим смешанным тензором на вектор и получим на выходе новый вектор. Теперь рассмотрим эту процедуру из нового базиса. Чтобы понять, какие результаты нам принесёт тензор в новом базисе, стоит рассмотреть его воздействие на базисные вектора. Простые алгебраические операции и переименование (больше для красоты) индексов, не нарушающее ничего, ясно показывает закон преобразования такого тензора. Как и ожидалось, он один раз преобразуется как ковектор и один раз как вектор. Эти преобразования осуществляются умножением на прямую и обратную матрицы в должном для этих объектов порядке.
В более общем случае тензоры преобразуются точно таким же образом. На каждый индекс по матрице соответствующего типа.
Особенность закона преобразования тензоров подчёркивает их инвариантность. Сам тензор как геометрический объект не меняется – меняются только его компоненты в разных системах координат. Все индексы преобразуются так, чтобы «компенсировать» друг друга. То, что мы видели геометрически, теперь мы выразили алгебраически.
Смена типа компонент
Теперь нам для полного счастья нужно научиться переключаться между ковариантными и контравариантными компонентами с помощью какого-то отображения, которое это позволит сделать. Вполне логично предположить, что оно связано с базисными векторами и ковекторами. Значит, из них можно составить какой-то тензор и применить для наших нужд – поднятия и опускания индекса.
Базисные векторы заведуют измерением длины вектора и углами между векторами, а следовательно, от этих величин можно попробовать оттолкнуться в наших изысканиях.
Как найти длину вектора на тензорном языке? Геометрически мы это уже делали. В плоском пространстве с ортогональным базисом её можно найти по теореме Пифагора. А что делать, если базис не ортогональный и не единичный? Тогда мы можем выразить компоненты нового базиса через старые и наоборот и путём нехитрых и уже знакомых нам алгебраических преобразований решить вопрос. Если мы внимательно посмотрим на результаты таких действий, то увидим очень знакомую структуру. Преобразования эти напоминают свёртку базисных векторов с некоей матрицей. А матрицы у нас – это как правило что? Разумеется, перед нами тот самый искомый тензор, который организует нахождение длины векторов и углов между ними. Рассмотрев уже его компоненты в старом и новом базисе, мы увидим выполнение установленного закона тензорного преобразования. Такого типа тензоры называют ещё билинейными формами. Ибо они берут два вектора и приготавливают из них число – квадрат длины в данном конкретном случае.
У нас есть успехи: мы научились находить длину вектора через тензоры. Но цель у нас другая. Нам нужно научиться переходить от ковариантных компонент к контравариантным. Мы помним, что эти два типа компонент дуальны друг другу. Но то, что в одном базисе выглядит красиво, в ином может показаться странным. Так как увеличение векторов влечёт уменьшение дуальных к ним ковекторов. Это обстоятельство связано с координатами. Давайте попробуем обойтись без них совсем.

Метрический тензор берёт два вектора и возвращает их скалярное произведение или квадрат длины.
У нас есть для этого всё необходимое. Итак, у нас есть вектор. Чтобы получить его ковектор-партнёр, мы умножаем наш вектор на что-то, где это что-то – просто место для другого вектора. Вы спросите, действительно ли такая конструкция окажется ковектором? Да, это так! Прежде всего, это действительно функция из нашего дуального пространства, потому что она принимает вектор и выдаёт скаляр. Мы можем использовать скалярное произведение, чтобы показать, что эта функция линейна. Кроме того, это новое соответствие, которое мы придумали, вообще не зависит от базиса! Всё и без базиса выглядит достаточно круто. Когда мы умножаем наш основной вектор на 2, мы также на 2 умножаем и его ковектор-партнёр. Таким образом, векторы и ковекторы-партнёры, сопоставленные таким образом, всегда будут увеличиваться и уменьшаться на одну и ту же величину.

Опускание индекса – переход к дуальному объекту.
Если наш вектор, умноженный на что-то, действительно находится уже в дуальном пространстве, это значит, что мы можем построить его из базисных ковекторов. Верно? Какие же это будут коэффициенты в ковекторном базисе? Чтобы это выяснить, давайте вспомним, что результат скалярного произведения векторов получается при подстановке этих векторов в метрический тензор. Чтобы вычислить результат, мы просто раскрываем метрический тензор и оба вектора как линейные комбинации. Теперь остаётся только подставить наши векторы в ковекторы в любом порядке. Метрический тензор по своей природе симметричен. Но мы знаем, что у тензоров можно блокировать или оставлять свободным один из входов, один из индексов. Это свойство новой тензорной интерпретации нам как раз сейчас и пригодится!
Метрический тензор берёт два вектора. Для этого у него есть два индекса, две «двери». Но если мы заполним вектором лишь один вход, то в результате всё тех же преобразований увидим на выходе один голодающий базисный ковектор с некоторым численным коэффициентом. Таким образом, мы получили, как и хотели, ковектор, который сопряжён через метрический тензор с нашим исходным вектором. Такой ковектор обозначим той же буквой, что и вектор, только с опущенным вниз индексом. Просто супер! Мы научились у векторов опускать индексы чисто алгебраически, и это полностью согласуется с теми проекциями, которые мы чертили ранее, когда искали ковариантные компоненты вектора чисто геометрически.

Преобразуем тензорные компоненты как хотим!
Теперь вы можете спросить: «А что насчёт обратного преобразования? Как, наоборот, поднять индекс у ковектора, превратив его в контравариантный объект?» Разумеется, это делается через тензор, противоположный метрическому. Он стандартно определяется как тензор, свёртка которого с метрическим даёт единичный тензор, компоненты которого проще записать через так называемые символы Кронекера.
С помощью этих объектов мы можем поднимать и опускать индексы вообще любых тензоров. Вы ведь помните, что в силу линейности и того, что любой тензор может быть представлен в виде тензорного произведения векторов и ковекторов, всё присущее им будет работать и со старшими рангами.
Существует и альтернативная запись для векторных и ковекторных партнёров. Речь идёт о так называемой «музыкальной нотации». В рамках этих обозначений используют символы из музыкальной грамоты, а именно бемоль и диез. Знак бемоль перед вектором говорит о том, что мы рассматриваем его ковариантные компоненты с нижним индексом. Оператор бемоль в основном понижает индексы, и это имеет смысл. Потому что символ бемоль в музыке понижает высоту ноты на половину шага. Например, от Си до Си-бемоль. Из-за плоского звучания звук получается более низким. Кроме того, если вдуматься, оператор бемоль преобразует векторную стрелку, которая выглядит как заострённая, в ковекторный стек, который получается красивым и плоским. Так что вы можете представить это как сглаживание заострённой стрелки в плоский стек.
С другой стороны, если у нас есть ковектор, определённый стандартным образом, то в качестве вектора можно использовать его в купе с обратным метрическим тензором, создавая дуальный объект. В этом случае в музыкальной нотации мы можем перейти от ковектора к дуальному ему вектору, используя оператор диез. Действие диеза на ковектор поднимает индекс. И это тоже имеет смысл, потому что в музыке символ диез повышает высоту ноты на полшага. Например, от Фа до Фа-диез. Кроме того, оператор диез превращает плоский ковектор в вектор с заострённой стрелкой. Символы бемоль и диез могут показаться немного глуповатыми, но по смыслу они всё же хорошо подходят для этих операций, добавляя в математику ещё больше эстетики.
Подытожим. Мы с вами рассмотрели чисто геометрические объекты – тензоры любых рангов – с непривычной ранее стороны. Но это лишь открыло ещё больше перспектив для их применения и интерпретации. Мы научились менять ковариантные компоненты на контравариантные и наоборот, опуская и поднимая соответствующие индексы. С этих пор имеет смысл мыслить тензор не как разные компоненты, а как единый геометрический объект, вещь в себе, единую суть. Через какие компоненты его представить – дело десятое. Важны не они, а ТЕНЗОР как некий факт, закон.
Тензор – это смысл, который остаётся, даже если переписать книгу другим шрифтом (ко/контра компоненты).
Что может быть проще?
Многообразия
Начиная с этого раздела всё станет немного жёстче. Но мы с вами справимся. На сей раз мы покинем унылые плоские пространства и погрузимся в весьма причудливые миры, которые единой координатной сеткой порой невозможно окинуть. И в них всё равно могут жить тензоры.
Но чтобы справиться с искривлёнными пространствами, нам нужно сперва покорить идею непрерывности, идя по следам Лейбница и Ньютона. Без этого, увы, никак.
В общем, нас ждёт новая философия познания, новые методы и, конечно же, тензоры, которые тоже изменят свой лик.
Способ ориентироваться
Когда мы говорим о пространстве, у большинства из нас в голове возникает прямоугольник в клеточку – это плоская поверхность, как лист бумаги. Но, мир намного более увлекательнее, чем этот унылый квадрат!. Настало время распрощаться с плоскими пространствами и окунуться в мир многообразий!
Представьте, что вы – древний мореплаватель, который только что узнал, что Земля круглая. «Как так? – воскликнете вы. – Ведь у горизонта она идеально плоская!» Вот она, главная хитрость мироздания: то, что кажется прямым и простым здесь, может оказаться изогнутым и закольцованным там. Мир – это многообразие, так в математике называют пространства, где локально всё подчиняется школьной геометрии, но глобально может быть искривлённым, замкнутым и даже неориентируемым.
Возьмите футбольный мяч. Для муравья, ползущего по нему, поверхность – почти плоскость. Но стоит ему сделать круг почёта, как он вернётся в исходную точку, хотя шёл всё время «прямо». Так и мы: тысячелетия считали Землю плоской, пока не наткнулись на её кривизну. Колумб, открыв Америку, думал, что достиг Индии – вот вам и первая встреча с многообразием! Но именно так рождалась идея: искривлённое пространство можно изучать через его плоские кусочки, как мореплаватели – через карты, которые никогда не показывают весь мир сразу.
Как проще всего описать мяч, тор или пространство-время? Ответ подсказывает география: нарисуйте карту. Карта – это окно, через которое кривизна мира распрямляется в координаты. Широта и долгота для Земли, углы вдоль цилиндра и экватора бублика – всё это попытки «приручить» многообразие.

Осознание проблемы – шаг к её решению.
Но одной картой в причудливых пространствах, как правило, не обойтись. Одна карта – почти всегда обман и искажение. Попробуйте изобразить весь глобус на бумаге: проекция Меркатора растянет полюса, Петерс искривит экватор, а капитан корабля на стыке карт запутается, как в Бермудском треугольнике. Поэтому нужен атлас – набор карт, которые, словно пазл, покрывают многообразие целиком.

Даже для задания карты температур на Земле
приходится иметь дело с многообразием.
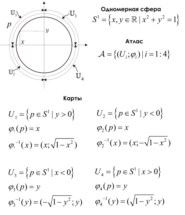
Например, для окружности хватит двух карт, хотя можно взять и больше. Там, где они перекрываются, должна работать формула перехода. Без таких формул атлас рассыплется, а многообразие превратится в хаос разрозненных листов из пространств. Но всё-таки почему нельзя сделать единую карту, например, на сферической поверхности Земли без искажений? Ответ прост: сфера – не плоскость. Вы не сможете «разрезать» её на части, которые ровно лягут на стол, как кожура апельсина. Попробуйте очистить апельсин одним куском и распрямить кожуру: она порвётся или соберётся в складки. Точно так же любая попытка «расплющить» глобус в одну карту неминуемо приводит к проблемам. Например, к разрывам – как на карте мира, где Тихий океан разорван на две части. Искажениям – как у Меркатора, где Антарктида превращается в гигантскую белую кайму. Пропаже точек – например, стереографическая проекция «теряет» северный полюс, отправляя его в бесконечность.
«Хотите нанести весь мир на один лист? Придётся пожертвовать либо Аляской, либо здравым смыслом», – вздыхают картографы. Аналогично дело обстоит и с пространством-временем нашей вселенной, на которое даже снаружи неоткуда взглянуть.
Если что, всё вышеописанное – многообразия, карты, атласы – это математические термины! Да, именно так, без изменений эти слова перекочевали в дифференциальную геометрию из географии.
Говоря более строго, многообразием называется пространство, которое локально можно отобразить в евклидово пространство. То есть в микро-масштабе оно кажется плоским. Покрытие локальной картой также является отображением из евклидова пространства на задающее многообразие. Атлас – это просто набор карт. Можно составить несколько атласов, содержащих карты, по-разному покрывающие одно и то же многообразие.

Задание внутренних координат на многообразии.
Таким образом, если у нас есть какое-то сложное многообразие, то мы для ориентации в нём можем подстилать себе небольшие и понятные евклидовы коврики в окрестности каждой точки и перепрыгивать на следующие коврики. И вроде как всё в порядке, мы можем двигаться так сколь угодно далеко и ориентироваться, переходя с одной карты на другую с помощью специальных отображений – функций перехода.

Можно использовать внешние координаты.
Нагляднее это можно увидеть на самом простом примере – окружности. Одной картой её не покрыть. И вот почему. Представьте, что вы пытаетесь развернуть обруч в прямую линию. Если разрезать его в одной точке – получится отрезок. Но тогда место разреза станет «дыркой», которой нет в исходной окружности. Если не разрезать – обруч останется замкнутым, и вы не сможете сопоставить все его точки с интервалом прямой без наложений или разрывов. Говоря совсем просто, окружность нельзя покрыть одной картой, потому что она «замыкается сама на себя», а прямая – нет.
Есть пространства, которые всё-таки покрываются одной картой – это вся плоскость. Декартовых координат достаточно в одном экземпляре. Есть структуры, которые многообразиями ну никак быть не могут (разве что какими-нибудь орбиобразиями). Простейший пример не многообразия – пересекающиеся прямые. Почему? Всё дело в том, что многообразие по определению – это пространство, которое локально выглядит как евклидово пространство (плоское).



