- -
- 100%
- +
“163000 J22。”他宣布。
舒尔茨也插入了这个值,同时德鲁也交出了他和马龙的工作成果。
————————
21 热力学的熵表示系统的紊乱程度,单位为焦耳每开尔文度。
22 能量的单位为焦耳。
“考虑到一个围层厚度等于20亿光年,这是目前我们可以给你的最好近似值了。”
德国人在一个方程式中写入了这些数字,旁边是嵌套着同心圆球体的示意图。
诺瓦克与舒尔茨在黑板前,开始用新得到的数据展开方程。
真生子从柜台站起身,走近黑板一手拿讲义一手拿笔,指着讲义中的一个表格说:
“这里! 这是参数R6!”胜利地宣布。“应保持在190微伏以内。”
舒尔茨写了190 * 10-6代替公式中的x并进行了计算。然后等待诺瓦克,很快她就算到了最后,得出了结果。舒尔茨立即将其用在一个新的方程式中。
他疯狂地忙活了几分钟,被同事们关注着。
到了最后一步时,犹豫了一下。
方程式现在精炼到只有几个因子,他几乎不敢走出最后一步得到结果。
他擦了擦带血丝的眼睛和黑眼圈,深吸了一口气,走向终点。
他站在那里看着写在等号右边的最后一个数,好像他真的看不清。
他不敢相信。
但确实如此。
诺瓦克点点头,卡马兰达和德鲁在她之后跟着点头。真生子和小林他们笑了笑,一会儿看看同事,一会儿看看黑板。马龙靠在柜台上,疲惫不堪。
“热力学系统结果是平衡的。”舒尔茨非常正式地宣布。“将宇宙看作封闭的热力学系统,放置在厚度为20亿光年的围层内, 并通过适当调整由山崎小姐鉴定的R6参数,我们可以校准转换三元组,以便在此地和已知宇宙中的任何地方之间交换空间,并以普朗克长度引入分辨率。交换体积导入方程式,与之前不同,现在在100亿光年的距离内交换一立方米所需的最大功率为5千兆瓦。当然,这是不小的能量,需要一个专用的发电厂,但显然是完全可行的。”
布莱斯凑上前去。
“我可以知道发生了什么事吗?”
“我们重新设置了宇宙的概念。”德鲁说,他的声音充满了感情。“交换机的特殊操作使我们发展了现今科学所依据的模式。从现在开始,要考虑的热力学系统将由厚厚的圈层组成,处于其中的是我们已知的宇宙。圈层和我们的宇宙可以双向交换能量,保持恒定的能量平衡。使用这种模型,能量守恒定律得到了尊重。在这个模型中,圈层是一个简单的比喻,用来处理整个系统的热力学问题,并使其有效。然而,从时空的角度来看,它不应该被认为是物理实体,比如壳的意思,因为它实际上与已知宇宙的时空组织维度层次相邻。这使机器的操作成为可能,因为我们宇宙的每个点都与圈层上的点相邻。因此,当机器被激活时,板A联通与其相邻的圈层的点,好像打开一扇门,并且产生我们称为连接器的传输通道,其另一端连在我们宇宙的另一点,由我们设定的参数决定。一个关键的参数,即R6,意味着空间A和B之间的交换可以通过可行的能量实现。”
生物学家只是泛泛理解德鲁的话,但这已经够了。重要的是它是有效的。
“我们应该给这个新模型起一个名字。”马龙说。
“对!”卡马兰达是数学模型的大师赞成道。“我建议简单地称之为系统。这容易记住,提起来也方便。”
“我同意。”德鲁回答。“你们说呢?”他问大家。
“我看行。”舒尔茨说,其余的人都点头赞成。
“很好。”德鲁说。“现在,大家吃饭!”亲切地宣布。
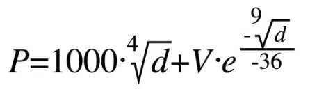
马龙最后一个离开。在门槛上,他转过身看黑板,计算能量的最终方程式本身就很漂亮。非常简洁,尽管耗费了可怕的工作量,其简化形式看起来像是这样23。
————————
23 这里给出了好奇的读者验证计算的方程式。


其中:
P =功率, 单位:瓦
d =交换距离, 单位:米
V =交易量, 单位:立方米
布莱斯已经吃过了,所以就留在实验室,批改一些在她包儿里的学生作业。
其他所有人都快步迈向大学的食堂,疲惫不堪,饿了。
进门看到几乎空荡荡的大厅时,马龙才想起没有及时去吃午饭,他没能见到夏琳。也许她会生气的,但他希望通过解释忙于他的‘微妙的实验’将能令自己过关。
食堂仍然提供了不错的选择,慷慨服务所有人。他们分布在几张桌子上,排遣一下大家经历了好几个小时的胳膊碰胳膊的紧张。大部分时间都在沉默中吃饭,偶尔交换几句关于天气的谈话,经典的放松话题不再劳神费心。
他们平静地吃完午餐,四点钟左右,然后懒洋洋地回到了实验室。他们已经彻底改变了科学,没有必要急着往前赶。
到达后发现布莱斯摇着头郁闷不已,在学生的作业上划着红线。
她转身看到进来的小组,马上在空中挥舞着本子。
“根据这名学生,水和15%氯化钠的溶液在常压下加热至38摄氏度会得到爆炸性混合物。他计算的反应产物如此错误,我不知道是否还能信任他,让他执行课程所需的剩余程序。我害怕他可以跟一个我所知道的人竞争,一个意外爆炸的专家。”对德鲁睁着眼睛。
物理学家骄傲地笑了起来,半躺在椅子上,手指交叉搁在他的肚子,看着布莱斯,表现出一片平和的内心。
“布莱斯教授,您的学生可能是一个被误解的天才,也许他必须走这条路来发现自己。”他机智地表示。
“是的,走···错路!”生物学家开玩笑。“耐心,这将意味着他要再花一个月的时间来为这个考试准备,祝他好运!”
“教授您带来了什么呢?”德鲁问。
“草履虫。”她说,从架子上取下盒子。“如您所知,它是单细胞动物并以细菌为食。我拿到这里的样品长度约为300微米,可以很容易被我带来的便携式显微镜观察到。”
她从盒子里拿出一个透明的小匣子。里面是一个含有水溶液的小框。
“这是一个浸渍在营养液中的单一试样。如果交换没有使其受到伤害,它会继续按照通常的方式进行摄养。”
她把盒子交给了他,德鲁看向小林。
日本人指着第二台机器,然后德鲁把样品放在那个板上。
他们清理出点B区域,并放置了一个由毛巾覆盖的凳子,欢迎来到的样品,并避免反弹而掉落到地面。
不改变任何参数,真生子激活了交换。
透明的小匣子如预料般出现在了那里。马龙把它取回来,交给布莱斯,她立刻将其放在显微镜下。
眯起眼睛在目镜上观察,并保持了几秒钟,然后她高兴起来。
“它在吃东西!很好!”再看,激动不已。“太棒了,等等···看起来有点儿,这应该是一个巧合!”等了几秒钟,让大家提心吊胆,然后惊呼“ 繁殖! 真棒,这是最明显的证据,交换一点也没影响它。自己看。”微笑着对德鲁说。
物理学家在显微镜下观察,调整焦距,最后在营养液中看到两只小的草履虫挥舞着鞭毛。
他把显微镜给了其他人,大家都急着看到第一个被机器转移的动物生命。
这是一项历史性的成就。
大家喜笑颜开,相互祝贺。
那一天将是人类历史上的一个里程碑。
“那里还有什么?”德鲁问。
布莱斯拿出一个装着蠕虫的小匣子,另一个匣子里面放着一只小青蛙,最后还有一个笼子,一只小仓鼠在草垫上跑来跑去。
“虫子!”布莱斯说着将匣子交给了德鲁,他看了一会儿粉色的环节动物快乐地扭来扭去。
“旅途愉快!”德鲁满怀信心祝愿蠕虫。
交换。
完美。
蠕虫到达目的地后与之前一样快乐,实验人员很宽慰。
到了现在,人们对机器和控制它的理论有了充分的信心,然后马上转向青蛙。
它安静地呆在自己的穿孔小匣里,顺利抵达B点,落到凳子上之后跳了一点重新调整姿势。布莱斯通过小孔给了它一只苍蝇,青蛙的舌头一抖将其捉住了,狼吞虎咽。
“胃口不错,小动物,嗯?”她俏皮地说。
“现在我们该哺乳动物了。”布莱斯郑重声明,将仓鼠笼高举在空中。“您来?”礼节性地问德鲁。
他直接指着板A请她去,布莱斯亲自把笼子放在上面。
真生子按下启动按钮。
笼子留在原地,仓鼠不见了,出现在B点落到毛巾上,从凳子上一跃而下飞奔到实验室对面的拐角。
“呀呀呀呀呀呀!”一声尖叫撕裂了空气,一个女孩从壁橱后面跳出来,冲向最近的椅子,跳到上面。她把手指放在嘴上继续尖叫。“啊啊啊啊啊啊!”
所有在场的人都对其感到震惊。
过了一会儿才作出反应。
“这是谁?”德鲁张开嘴问道。
仓鼠躲在壁橱里,看不见了,女孩才停止了尖叫。
“夏琳!”马龙喊道,完全惊呆了。
“谁?”德鲁说。
“嗯···夏琳。嗯···我的女朋友。”马龙说,尴尬得满脸通红。
“什么?”德鲁眯起眼睛凶巴巴的。“你的女朋友?”厉声说。
“哦,是的,我的女朋友。”,走到夏琳那里,帮她从椅子上下来。
她担心地望着仓鼠藏身的地方,疾步走向门口。
“您去哪里,小姐?”德鲁用响亮的声音喊道。
“我想马上离开这里!” 她回答说,挑衅地。
“现在不行!”德鲁阻止她,上前拦住门口。
马龙在旁边。 将手按在前额上,不停地摇头。大汗淋漓,不知道是否应该支持那一方,夏琳还是德鲁。他是一团糟,觉得责任在自己。
“德鲁教授。让我来给您说。”
德鲁不理他。
“您在这里干什么?”他严厉质问夏琳。
“我···”女孩开始说话,但马上就泄气脸红了。知道自己的举止不很得体。
“我只是想看看我的男朋友是怎么回事了。”真诚地说,还有几分苦涩。“这几天我看到他心不在焉,一会儿激动,一会儿发愁,我想他一定瞒着我什么,甚至还对我撒谎!”说完后,直视他的双眼。
马龙抬起眼睛,伸出双手,非常沮丧。
“我能告诉你什么?” 他试图解释。“我们在做实验。”
“您看到了什么,小姐?”德鲁突然打断他们,转向夏琳。
“我···”她开始犹豫,“我看到了,我看到了可以看到的。”
实验室的所有人都围成一圈看着她充满敌意,但马龙站在一旁,伤心。
“好了。”德鲁说,“现在事已至此。您从这一刻起就是这个研究团队的一员。我想您是个学生。专业是···?”
“心理学。”夏琳小心翼翼地回答。
“好吧,夏琳小姐,一个心理专业的学生。”德鲁看了一眼自己后面的门,确保是关着的。“今天,您在这里目睹了一个将材料从一个地方转移到另一个地方的系统,瞬间完成,绝对革命性的测试。鉴于您纯粹的人文学科,我认为不会感兴趣了解其中的科学含义,但如果认为合适,我将请马龙给您解释。这个现象是由您的男友偶然发现的,用了我意外建造的机器。您在这里看到的人,”指着在场的各位,“是我雇来了解机器的运行机制和其设计背后的理论。这已经完成了。今天,我们尝试了植物和动物生命的形式”,听到‘动物’这个词,夏琳紧张地窥探藏在壁橱里的仓鼠,“并得到了理论的坚实依据。您现在看到的是业界内最伟大的人物。让我来介绍,海德堡大学物理学家舒尔茨教授。”
夏琳与教授握手,而他报以坚定而真诚的答复。
“卡马兰达教授,数学家,来自赖普尔。小林教授,来自大阪的高能物理学家。”夏琳在每一次握手中都感到兴奋在她体内涌动,像泛滥中的一条河流。她似乎是在神明的面前。“奥斯陆大学物理学家诺瓦克教授。还有真生子小姐,小林教授的研究生。”
真生子用挑剔的眼光看着夏琳,然后回以温暖的握手。
“我们大学的生物学家布莱斯教授。”德鲁继续说,“我是您男朋友的导师物理学家莱斯特·德鲁教授。”
“我很荣幸能认识大家。”夏琳兴奋地说。“对不起,请原谅,我溜进实验室导致这些问题。但请理解,我不知道这里发生了什么,还有约书亚···我太鲁莽了。再次原谅我。”
“过去的就算了吧。”德鲁说道。“现在开始,您必须意识到,您所看到的一切都将是绝对机密的。绝对机密,您明白吗?麦金塔克校长是这个项目的顶头上司,他要求严守机密。您永远不要,永远不要与任何人谈起。清楚了吗?”
“是的。 清楚了, 我明白了。”夏琳说,还是有点痛悔,不过很自豪可以加入这个团体。
“而且,” 德鲁说,眨了眨眼,“心理学家总是令人惬意的。”
夏琳微笑了,这时布莱斯挽着手臂把她拉回来,到仓鼠躲藏的地方。
“有志气的心理学家夏琳小姐,学生马龙的女朋友,作为曼彻斯特大学这个秘密兄弟会通行证的仪式,您必须帮助我捉回逃脱的天竺鼠,并亲手递给它一块纸板。”
夏琳脸色苍白。
“哦,不!不,我不能!”
“您说什么?”她盯着她的眼睛一副威胁的神态。
“哦,好吧,”夏琳意识到,这是为自己的骄傲自大必须付出的代价,“其实,这只是一个小···小老鼠。”打了一个寒颤。
“它是仓鼠,不是老鼠!”布莱斯尖刻地纠正,“许多家庭把它作为宠物,所以没有什么好害怕的。把纸板折成直角,是的,像这样,放在壁橱的两个开放的侧面。”她教她放在什么地方,然后爬在地上,把一只胳膊放在壁橱靠墙的最后一侧,只留一个小开口。插进空着的手,在里面有限的空间中摸索着。不一会儿的追逐,然后“啊,抓到它了!”慢慢地把手收回,站起来,展示了世界上第一只由机器转移过的哺乳动物。
根据它那倔强的行为,仓鼠状态很好。
夏琳后退几步,为这动物感到惊奇。
布莱斯把仓鼠放进样品盒里,为了它在运输途中的呼吸,样品盒已经打孔。
“现在,你们想解释一下最后一次交换中发生了什么?”她转向周围的同事问道。
“很简单,教授。”小林说。“在实验成功的兴奋中,我们没有意识到笼子比机器准备转移的空间要大。 那个笼子是边长约八厘米的立方体,而我们估计转移体积只有四厘米宽。其结果是,仅在校准体积内的豚鼠被转移,还有和它在一起的一块笼子底板。笼子的其余部分留在板A上。”
“您的意思是···”布莱斯紧张地推论“···如果仓鼠没有完全落在转移指向的体积内,我们只会移动一半的动物?另一半会留在笼子里?”
“是,正是如此。”小林肯定,一点也不为这个想法所动。
布莱斯长叹一声。
“很顺利,这次。”不断点头,若有所思。“然而,这是一个不得不冒的风险。在伦理上,动物实验应该只有在没有替代品的情况下才能进行。随着之前进行的实验叫人高兴的结果,我甚至没有丝毫的概念有可能出现问题。这就是为什么我把笼子放在板子上时那么随便。这只仓鼠真是幸运!以它移动的速度,完全可以在交换的时候出现在任何地方。我很高兴,一切顺利。”说完后,一根手指在盒子上来回敲动,里面的动物非常好动跑来跑去。
与此同时,马龙凑近夏琳。把她拉到一边低声问道。
“告诉我一件事。你怎么没被看见就进了实验室?”
“午餐时我没见到你。”她回答。“我很担心。下午的时候在去图书馆的路上,我看到了你和这群人在一起。然后远远在后面跟着,看到你进了这里。 我就绕过大楼,发现洗手间的窗户开着。从那里进来的,藏在壁橱后面没让你们发现。我看到了实验。 其他的你知道。”
“你从洗手间进来。”他色迷迷地笑了起来。双眼抚摸着她。“像侦探片系列B。”开心地咯咯笑起来。
“好吧,聪明人!”夏琳淘气地回击,在他脚上踢了一下。
“女士们,先生们,今天到此为止!”德鲁大声宣布。“我要说是,今天好的了不得。谢谢你们。明天见!”
小组分手了,每个人都前往各自的住处。
另一个历史性的一天结束了。
第十五章
绿望着窗外,盯着远处,但什么也看不到。
那里有樱桃园,在那个公园里,她遇见了自己心爱的昇。
黑暗中,她正在写信给自己的男朋友。
“今天我真的很累。
日本中世纪历史的课程简直难以忍受。为什么我要关注那个时代?我是活在现在,而现在我不能见到你,我如此伤心,就像我多么想念你一样。
在两周后有历史考试,我无法牢记这些知识。会坏的,我感觉到了,而且我的父母会想,为什么在这么好的大学学习,我的表现会如此糟糕。
不,这不公平,对他们也一样如此。你还爱我,我希望建立一个良好的社会地位,对我来说,如果不完成学业,我只能做卑贱的工作,职位岌岌可危,报酬少得可怜。为什么日本女人必须如此贫困化?这是一个腐败的社会,由那些专制男性主宰的社会,他们决定一切,让女人看着玻璃天花板,他们在其上控制着我们的生活。
但我不想活在阴影之中。
我会学习,是的,我会比以往任何时候都好好学习,甚至是历史,是的,这样才能毕业,我会做老师,赚得够多,我们将能够结婚,你将从船上下来,不再贫穷。还可以像我一样学习文学,你将成为一名诗人,你有天赋,昇,但必须加以学习。“
绿从纸上拿起笔,用手捂住她的眼睛,擦干夺眶而出的眼泪。 她经受了很大的痛苦。 但是坚强而理智。 她会奋斗的。
真生子掏出手绢擦干了眼泪。绿的痛苦感动了她。爱情的折磨从小说的每一页中倾泻而出,触及她的心灵,每次都让她哭泣。
她叹了口气,又翻了一页,就在那一刻,有人敲门。
轻轻的触摸,几乎害羞,她可以感到。
纳闷,看了一眼床头灯照亮的时钟:晚上十点了;这时候会是谁?
她下床,把书搁在一边,走到门口。没有窥孔,她小心翼翼地接近。
“是谁?”隔门问到。
“诺瓦克。”简单的答案。
真生子翻翻眼睛,叹了口气,然后开了主灯,打开门,让挪威人进来;然后重新反锁好门,她料到如此。
她是对的。
贾斯敏·诺瓦克穿着一件浅棕色的外套带有格子纹路,做工很好。鞋子棕色低脚跟,头发绑成一个小辫。她没有提包。
刚一进来她就停下,等待真生子来到前面,然后用思量好的手势解开了外套,从颈部开始,一个接一个纽扣,有条不紊。到达底部,双手握着胸前的两个襟翼,并以完全对称的方式慢慢展开它们。
下面完全赤身裸体。
真生子知道北欧人放荡不羁,但没想到会这样。
诺瓦克分开了外套的两个襟翼,直到衣服开始从肩膀向下滑动。轻轻地在她身后的手臂上滚落,即将跌落到地上时,她用双手将其从中间折叠起来,并整齐地放在附近沙发的靠背上。
她盯着日本人的眼睛,把手伸到她面前,手腕交叉给她。
真生子瞪着她,面无表情,然后看到手腕:昨晚紧绷绳索的地方只有轻微的红肿。这对于她来说是个极大的满足,因为这证实她掌握了绳缚,日本的绳索艺术。她将此与大学学习并重,因为这种古代艺术展示了极大的美感,她想成为紧缚师。
她可以制作一副优美的塑像,在诺瓦克高大的身材上艺术化地运用绳索,但不相信她了解绳缚,遑论提供自己作为这一艺术形式的模特。
不,挪威人想要别的东西,明亮的眸子猜不透,但那赤裸的胴体毫无保留地暴露在她的目光之下。
她的皮肤白皙,不愧为北欧起源,金发及肩,简单但精确的发型,轭式。
脸上没有化妆依然精致,间距得体的浅蓝色眼睛照亮了一切,上面点缀着金色的眉毛,下面是柔和的雀斑。
鼻子小巧,有点上翘,薄薄的嘴巴,淡粉色的嘴唇没有口红。
下巴圆润,微有笑靥,连同嘴唇的线条给人一丝傲慢的感觉。
颧骨微露,脸颊紧绷而光滑。耳朵不大,形状不错。长而细的脖子与脸型十分协调。
肩宽与其一米七余的身高很相称,明显的肌肉说明训练有素。锁骨突出,撑起肌肤张扬健康的体魄。
胸部娇小而非常女性化,胸骨和肋骨形成一副骨感十足的美图,连接着结实而性感的腰部。
她的乳房更紧凑,很好地被肌肉提起,尤其是这个女人已过三十三,四。
小肚平坦腹肌明显,跑步或骑自行车锻炼的结果。
双腿是一个真正的奇迹。股骨和胫骨的长度呈现理想的比例,这是由大腿和小腿肌肉组成的壮丽景色。瘦脚踝组成了令人羡慕体格的最后一步。
真生子看着她的胳膊纤细修长,如同其他部位一样健壮,手指修长苗条十分优雅。她执着交叉起来的细细手腕,慢慢地将她带到单人床。
“脱掉鞋子。”命令道,平静而坚定。
诺瓦克照做,然后真生子站在她的后面,让她爬上床跪下,前进直至中部,然后转向长边。她拉住她的双手,将其背到她的身后,然后交叉手腕,用一只手紧紧地捏住它们。“张开膝盖。”再次命令。
诺瓦克照做。
“再来一点。”她补充说。
诺瓦克在床上放宽了一点双膝,保持大腿直立支撑身体。
“不错。”膝盖距离彼此大约半米远。
“挺胸。抬头。向前看。”
挪威人拉直身体,同时得益于真生子对她伸向后面手臂所施加的牵引,保持她的的手腕交叉。
她骄傲地抬起头,直视着前方。
“不要动。”最后日本人命令。
她慢慢地放下手腕,离开了床。
而她没有移动一毫米。
真生子去了位于诺瓦克身后的衣柜,所以她看不到,拿起一条纯丝绸的黄色围巾,回到床上,围绕着挪威人交叉的手腕缠了两圈。她打了一个简单的第一个节,适度收紧,并用第二个节扎牢。
诺瓦克呼吸匀称,等待着,小心地保持被施加的姿势。
真生子穿着由长裤和夹克组成的睡衣,白色织物印有卡哇伊24的卡通形象。 她将其脱下,只剩白色的内衣。
她回到衣柜,从实验室的包里拿出一双乳胶手套。 戴上它们,在插入结束时大声地弹响一下。
她爬上床,跪在诺瓦克身后,轻柔的动作不破坏她的稳定。
她把两个脚踝各放在挪威人相应的脚上,让她更好地保持姿势,然后慢慢地把手放在她的臀部上。诺瓦克畏缩了一下,发出一声微弱的喘息,但她马上就控制住了自己,复原必须保持的静止。
————————
24 卡哇伊字面意思是“可爱”,在日本文化中指的是看起来幼稚,精于打扮,外观清纯的人,主要是女性。 许多日本人,不仅限于他们,试图模仿这种形象,因为这被认为是招人喜爱的。
双手对称运动,真生子将她的手从侧面滑到相邻的臀部,抚摸着。它们相当紧致,很好地被挺起。 然后继续慢慢向上,沿着背部往上爬,并将拇指压入脊柱的凹陷。随着前进拇指画出了每个椎骨的轮廓,同时用其他手指检查每个肋骨。保持恒定的压力,刺激这些部位高度敏感的神经末梢,诺瓦克发抖。一阵寒汗覆盖在前额和后背,但是咬着牙齿,以免移动。真生子笑了笑,赞赏挪威人的反应,这体现了她充分的自我控制力。
手来到脖子的根部。 用拇指强烈地反复按压颈椎。然后经过肩胛骨, 一直保持对皮肤的压力,她把手移到前面,在肋骨的底部。 然后它们非常缓慢地上升,缓缓在她的手掌心里接受她的乳房。当食指遇到乳头的障碍时,毫无顾忌,继续保持同样的压力,迫使其陷入肉中。然后马上分开食指和中指的间隙,让它们出现在中间。一下子就跳了出来,直立而僵硬,阻止了双手的前进。她如此呆了几秒,握着她的胸脯。诺瓦克被汗水覆盖,呼吸几乎无法察觉,陷入极度的紧张。
日本人此时慢慢地合上食指和中指,一个对一个,把她的乳头挤在中间。挪威人睁大了眼睛,嘴里忍不住发出低沉的“哦!”
“闭嘴!”真生子轻轻地在她耳边下令。
诺瓦克僵在了那里,睁着眼睛,张着嘴巴,继续流汗。
日本人慢慢地打开食指和中指释放乳头,收缩的乳头被挤进手指按压的乳晕处。它们在几秒钟内弹回原来的直径。
真生子等了几秒钟,然后再次按压,重复整个过程。但这一次紧紧夹住,几乎消除了手指之间的任何空间。诺瓦克突然闭上嘴巴,咬紧牙关,屏住呼吸,但她还是不出声。真生子松开了她的乳头,这次花费了更多一点时间来恢复原形。她等了一会儿,然后再次挤压手指,用强力紧紧相互压迫它们。牢牢地握住了几秒钟,此时此刻,诺瓦克身体僵硬,眼睛凸起,嘴唇被拉伸,紧绷到了发白的程度。
终于,真生子逐渐张开手指,一次一点儿,这次松开后乳头仍扁了几秒钟。 然后一点一点地膨胀,而诺瓦克已经大汗淋漓。一点一点,细微的神经活动示意血液循环开始活化,缓慢而折磨。
真生子放开乳房,双手沿着胸膛滑向侧腹,到达细腰,在她开始的地方停下来。
让她休息一下。
诺瓦克呼吸恢复匀称,汗水开始变干。
房间里面,三月傍晚的温暖对赤裸的身体来说很舒适。
床头灯的光线白亮而清冷,适合阅读,还要感谢印刷页面上产生的清晰对比度,还有室内中央的吊灯发出淡黄色的柔和光线。诺瓦克的苍白躯体均匀地微染黄色,呈现出温暖宜人的色调,而从后面床头灯投射来的白光在肩胛骨的边缘和臀部之间的凹陷中留下尖锐的阴影。如此的体态,挪威人似乎是在博物馆里展出的一尊雕塑,被精心安排的聚光灯照亮。她真的非常美丽。
‘现在让我们悄悄。’真生子调皮地笑着对自己说。
慢慢地,她把手伸向腹部,手指合拢在一起。不按压,只是轻轻地放在上面。她可以感觉到手指下的肌肉束。不可阻挡地滑向腹股沟,诺瓦克已经开始出汗并呼吸困难,同时维持僵硬的姿势。她将每只手的中指无名指和小手指插入相应的腹股沟中。在外阴上方一点的地方交叉大拇指,并将食指抬起。她暂停了至少半分钟,挪威人大气不敢出一口, 她的心跳得更快了,更有力了,真生子可以在胸腔里听到雷声。她在外阴上放下食指,轻轻地用它们分开大阴唇。 通过薄薄的胶乳她感觉得到由于兴奋而湿热的组织。毅然分开唇瓣,直到阴道入口完全裸露。诺瓦克紧张抽搐,她的心脏怦怦直跳,无法控制。她感到自己完全暴露,无助,惊慌,感到空气进入阴道,并在里面循环,体腔内变凉了,脆弱感更加深入。她不知道会发生什么,但仍然一动不动。
真生子让她这样呆了整整一分钟,完全束缚,彻底静止,大汗淋漓,僵硬的脸变成面具,最隐秘的本质暴露出来,任凭摆布。
突然,真生子进一步张开食指。使它们滑到大阴唇的内部组织上,然后再突然释放它们发出干脆而潮湿的声音, 类似于手掌击在湿滑的表面上。她把手从诺瓦克的腹股沟拿出来,脱下手套内外反转。从床上跳下来,直接去丢弃它们。
挪威人仍然不动一下。
真生子回到床上,解开她的手腕,然后将围巾放在床头柜上。没有什么深刻的印痕,因为仅被捆绑了很短的时间,也不是很紧张。而且诺瓦克一直完全保持静止,并没有在捆绑之下强力挣扎,这完好地保护了她的皮肤。
“蹲下。”她命令到,在每个侧腹按上一根手指引导她。
挪威人放下一直维持的紧张姿势,将大腿放在小腿肚上。双臂在身体两侧放松。真生子将枕头从床上取下并放在沙发上。
“躺下。”她接着说。扶着她的肩膀,帮助她仰卧躺下。
拽着手腕把她的手臂拉过头顶,放在床上,弯曲起来,双手交叉大约二十厘米,手掌向上。她把围巾放在她的手中。
“拉紧。看着天花板。”她说。
她顺从了,放在床上的手握着围巾,然后将眼睛盯在白色的天花板上。
“宽点儿。”平静的声音还是吓到了她,真生子把手放在她的大腿内侧。把它们打开,直到她的膝盖彼此分开大约六十厘米,而脚无力地转向床的中心。
日本人回到衣橱戴上一双新手套,然后去了厨房,从一个抽屉里拿了一双筷子25。
诺瓦克从眼角偷窥真生子的动作,但当她转身回来时,马上就把眼睛转回天花板。
真生子蹲在诺瓦克右边的床上,用挑剔的眼光看着她,从脚下开始,沿着柔软的双腿,经由腹部,胸部,脸部,直到紧紧握着围巾的双手。汗水几乎完全干了。再次检查并确认她仍在盯着天花板,然后向阴部弯下腰。
用左手的拇指和食指将她的阴唇在上部交界附近分开,这是阴蒂的位置。 小器官从包皮中露出头来。它很小但是很明显,深粉红色因兴奋而肿胀。真生子用右手握着筷子,并将尖端相互碰触了几次,制作它们的干木滴答作响,然后凑近外阴,精确地将阴蒂夹在其中,像是对付一只嫩虾一样。
————————
25 在日本筷子被称为哈希,并且在饭间常用来夹取食物。 它们的使用需要很高的技巧,但有些文化很好地掌握了它,如日本,中国,越南,泰国,韩国等。
她挤了一下,刚好足以保持良好的握力,然后她的手固定在这个姿势。 阴蒂被囚禁在筷子之间,被从侧面拿稳的筷尖稍微压缩。她看着诺瓦克的脸。仍然朝着天花板,但眼睛睁大了, 她的额头上有汗珠,嘴巴半开,似乎发出一声无声的“噢”。
满意于诺瓦克自我控制的表现,真生子非常小心地移动筷子的尖端,逆时针描绘一个圆圈,相应地使阴蒂变形。运动只是几毫米,但通过这个小器官的六千个神经末梢,向挪威人的大脑传出了令人震撼的快乐之浪。
诺瓦克喘着粗气,明显抽动腹肌。
“控制自己!”真生子嘘声道。
她像冻僵了一样,然后慢慢放松腹部,用手拉紧围巾,使其成为受到极端压力的安全阀。
真生子继续旋转运动,在一个方向上执行三次旋转,然后在相反方向上再转动三圈,如此交替,以平衡阴蒂的压力。在这个过程中,诺瓦克全身又被汗水浸透。她用力拉着围巾来控制自己。二叉肌显而易见,强直,生得很端正。
这边三圈,那边三圈,连续,不停。阴蒂现在呈深红色,完全勃起。
几分钟后,真生子看到挪威人的脸色变紫,呼吸加速, 腹部不自觉地抽搐, 从喉咙中发出一种愈加强烈的低吼。她即将达到高潮,但真生子马上放开了筷子, 突然离开阴蒂。同时也松开阴唇,它自己合拢了。
“啊啊啊!”诺瓦克因兴奋突然中断而发出近乎鼻音的哀鸣。她很失望,急于达到巅峰,但出乎意料被拒绝了。
她抬起头,怒视真生子,但迅速恢复了自己的姿势。
“好了! 放下!”真生子责备她,左手放在额头上,把她按下去。
诺瓦克愤怒地回到了原位上。她哼了一声以示抗议,但后来放松了,并开始看着天花板,拉紧围巾。
她的脸色恢复正常,汗水迅速干去。
真生子等了一会儿,判断她足够平静时,左手放在她的腹部,开始爱抚,轻微的圆周运动,欣赏光滑滋润的肌肤和雕琢分明的肌肉。诺瓦克闭上眼睛逐渐平息。她呼吸匀称,安静下来,通过鼻子吸气,然后再通过半闭的嘴巴呼气。沉浸入半睡眠状态,甚至放松了围巾的抓力。
此时,真生子轻轻地将右手的中指插入阴道,手掌朝上。挪威人似乎没有反应。真生子添加食指,并翘起一点。诺瓦克打开了眼睛,茫然地瞪着,似乎自己不存在。真生子又挑动了一下,在这样做的时候,无名指和小手指也塞了进来;她的小手开始没入阴道。诺瓦克在它们进入自己的时候逐渐瞪大了眼睛。 奇怪的是这次不再出汗,而是变得苍白。被一种难以形容的感觉所淹没。
真生子的手在阴道内继续挺进,兴奋之下已经自动润滑。并且拇指也加入行列。阴道入口完全扩张,紧紧箍着手掌的最大直径,大约八厘米。再推,真生子的手完全沉没,湿答答的入口在手腕上闭合。
现在诺瓦克似乎麻木了;她的眼睑半闭,没有明显的反应。似乎完全放弃拥有她身体最隐秘的部分,似乎表示完全的接纳。
以极大的协调真生子继续抚摸她的腹部,让她安静下来。现在她把左手停在腹部中间,轻轻地按了一下。然后在挪威人身体内部移动食指和中指,指尖摩擦前阴道壁,它们慢慢地沿着一个圆圈滚动,摸索。因为空间狭窄,指关节顶上了后壁。她继续细心探索,直到发现了自己正在寻找的东西, 一个纹理区域,不大于一个硬币,以阴道对称轴为中心。诺瓦克有G点 26,而真生子发现了它。
挪威人立即有了反应。
“唉!”她大声的喘着粗气,拉起围巾,绷紧腹部。
真生子没有责备她。
她开始在G点上移动手指。一上一下,力度适中每秒一次。另一只手按在她的肚子上,保持她的静止。诺瓦克开始从床上抬起头,身体收缩,嘴呈O形,发出连续的喉音“噢噢噢···”。放下围巾,伸出双臂,双手紧握床垫的两侧,用力挤压。随着自己体内手指的每一次挺动,挪威人的头部和躯干都上下起伏。————————
26 G点(得名于研究过它的妇科医生Graefenberg)是女性最敏感的感性区域。 似乎并不是所有的女性都有G点,其存在也被一些学者质疑。
真生子的刺激继续有增无减,让诺瓦克随意移动。这就是她想要的:迄今为止她一直在压抑自己,只为了在一个女人可以体验到的无上高潮中爆发。
现在挪威人的脸像被扭曲的面具,绯红,淌着汗水。颈部也是红的,颈动脉清晰可见膨胀并搏动;每当她挺起胸膛时,痛苦中的肌腱都会绘制出一副清晰的解剖结构图。身体闪烁着汗水湿透了,腹股沟和下面的床单浸泡在阴液里。
真生子稍微弯曲手指,此前她一直在使用指肚,但现在开始用指甲在G点上刮擦。这是一个科学家习惯于灵巧手工劳动的指甲,中等长度并不尖锐。坚定地在诺瓦克体内敏感的肉体上一次又一次地划过,她发作性地攥着床垫,呼哧呼哧地喘着粗气。没过几秒钟,挪威人突然把头后仰,用体内仅剩的气息长啸一声。
真生子迅速把左手放在她的嘴巴上,以免这样可怕的尖叫声破口而出。
诺瓦克的腹部以疯狂的速度收缩和松弛,倾泄了她一生中从未遇到过的高潮的可怕能量。尖叫继续,日本人的手仍然在捂着。
真生子在等待。
几秒钟后,诺瓦克身体的抽搐开始消退。压抑的尖叫声停了下来,挪威人慢慢地将头枕在床上。她松开床垫,把手臂放在身边。真生子从她的嘴边拿回手,然后抚摸着她的腹部。轻轻地开始从阴道拔出右手,很容易就从阴液泛滥的通道里出来了,肌肉组织因其经受的扩张而无法收缩。几秒钟后,手出来了。 真生子发现手套依然完好,即使她狠狠地运用了指甲。她感到高兴,因为所有的日本人讲究卫生达都到了痴迷的程度。
她看着诺瓦克。她一动不动地躺在床上,迷离的双眼盯着天花板。她的脸渐渐恢复了本色,呼吸重回正常,汗很快干了。过了一会儿,她平静地睡着了,嘴半开着,头微微向右偏。
真生子下了床,小心翼翼地移动以免吵醒她;又去扔掉第二副手套,她关掉主灯,再次穿上睡衣。非常轻地,她从床头拉出被子,盖在挪威人身上,因为不想她感冒,然后她又去了衣柜,从一个架子上取下毯子。关掉了床头灯,摸索着走到沙发。躺下,侧身盖上毯子。
她盯着黑暗几分钟,思想着,最后睡着了、
第十六章
德鲁和其他人一起离开实验室,动身回家了。天快要黑了,他想休息,结束这地狱般的日子。事情发生了,事情!成熟物理老师的安静稳重突然被这令人难以置信的发现弄得天翻地覆。最近几天发生的事情让他觉得吉凶莫测,目不暇接。荣耀和兴奋的渐行渐涨,令以往的任何感触望尘莫及。
走在小路上,巧的是,他的目光落在校长的办公楼上。
“我得告诉他,”他想。
他累了,但仍朝那个方向走去。
光线从麦金塔克的窗户滤出。德鲁知道他在加班。
沃茨小姐已经走了,所以他直接敲了办公室的门。
“进来。”一个疲惫的声音回答。“呃,是德鲁?进来,我的朋友。”德鲁注意到那句‘我的朋友’带有真正的感情。也许麦金塔克不只是一个领导机器,总是在寻求金钱,基本上是。或者也许还是,只不过在这个情况下,友谊的不寻常表现只是感谢由德鲁和马龙的发现所预示的美好收益,因此他才被高度重视。
当然,这个收益是大学的,但麦金塔克是一个理想主义者,他所领导的组织是他生活的理由。他把自己与大学本身等同起来,所以他对大学所做的一切都是为了他自己。因此他还在那里工作,应付本来第二天早上可以处理的行政问题。校长深知夜长梦多第二天可能会节外生枝,而这将产生新的问题,最好不要触发这个连锁反应。
“我们做到了,麦金塔克。”他用一个温暖的声音宣布。“我们有了基本的理论,可以估算出不同距离,不同体积的交换所需的能量。”
“太好了。”校长振奋起来。“我们能达到多远?”
“任何地方。”德鲁简单地说,坐下来。
“北京,莫斯科,安克雷奇?我们可以到哪里?”
“所有这些地方,还有更远。”
“什么,更远?”麦金塔克一头雾水。他想了一会儿。“到月球上?”然后他讥诮地问。
“月球近在咫尺,对这台机器来说。”他平静地回答。“交换可以在已知宇宙中的任何地方进行。”
麦金塔克不知道已知的宇宙有多大,或者什么是宇宙本身。对他来说,太阳系的月球和行星已经是自己所知的宇宙范围。
“这个宇宙很大,麦金塔克。目前的估计约为九百三十亿光年。想象一下这个直径的球体。”
麦金塔克看起来无动于衷。他怎么知道什么是光年?
德鲁意识到他不得不解释。他不想,但这是必要的。
“光年是光束在一年内行进的距离。因为光以每秒三十万公里的速度行进,所以一年旅行九万多亿公里。”
麦金塔克瞪大眼睛。九万亿公里。他所使用的距离是那些开车可以抵达的。 十公里,一百,二百里,如此而已。
九万亿公里,超乎想象。
“而且,”德鲁继续说,得意地看着校长的不知所措。“我们已知的宇宙是九万亿公里的九百三十亿倍,超过八千万亿亿公里。”
麦金塔克痴痴地望着德鲁。
“别担心,麦金塔克。我也想像不出这个距离。没人能。这不是人类的尺度。然而,重要的是,在数学上它像任何其他数字,可以任由你处置。更重要的是,用我们的机器,我们可以探索宇宙中的任何区域。这很重要。想象科学的进步,前方所有的知识宝藏。这能发生在我们身上是惊人的,但它发生了,我非常高兴生活在这个正在开启的新时代。”
麦金塔克沉默了一会儿。他必须消化自己所听到的。他感到这些距离的巨大压力,这些德鲁告诉他的深奥知识,犹如泰山压顶一般。
“但···还有更多的应用,比如说,日常的?”他不确定地问。
“啊,对。我忘了。”德鲁回答。“我们可以建立小型机,结构适当,允许在医疗领域采用。我们将能够不开刀就从身体内消除肿瘤。手术将成为一个简单的没有创伤的治疗。想想这会发生什么,这样一来。只需调整机器指向的位置,形状和大小,激活你要剔除的,瞬间,东西将被排出身体外。先前的空间可以被生理盐水或类似的东西代替。我不是医生,所以不能深入细节。让专家来决定吧。”
他故意不提及移动生物的可能性,希望校长不会想到。
但他想错了。
“告诉我,德鲁。”麦金塔克追问,“还有什么伟大的东西可以移动?”
“啊!”德鲁想,预感到了答案。“这个,”他含糊其辞“还不知道。”这也是实话,“我们必须建立一个更大的机器,看看它能做什么。”这也是真的。他紧紧攥住自己的拳头,藏在桌子下。他不喜欢说谎,这令他非常难受。
“嗯,我明白了。”校长回答,慢慢点头,很严肃。他是人文学科的行家理解对话者的难言之隐。
“例如,”漫不经心地继续说,“有没有试过活物?”
‘天哪。’德鲁心里一紧。但是他决定孤注一掷。
“你为什么这么问?”试探道。
“这个,纯属好奇。”麦金塔克回答,这一句有些狡猾。“我从窗户看见布莱斯抱着一个箱子,我怀疑里面是为你们实验准备的仓鼠。你知道,我的印象是箱子里有什么活泼的东西在乱动。怎么样?”
“好吧。什么都瞒不住你,麦金塔克。”德鲁投降。“我们确实这么试过,使用植物和动物,一切都很完美,至少目前为止我们能看到的是这样。不想瞒你,我只是想多花点儿时间做实验,然后再给你进一步的确认。”
“我懂。”,这一次校长对德鲁的正直点头称赞。“不过,从理论上讲,理论上,如果你不介意,能移动人吗?”他问道,直视着物理学家的眼睛。
德鲁这次无路可退,无法搪塞过去。
“是。理论上讲,是。当我们有一台合适的机器,当它经过适当的测试,如果有合法的依据这样做,是的,我们可以移动人。”
麦金塔克大喜过望。一天的疲劳无影无踪了,仿佛一阵风吹走了。他站起来,绕过桌子。向德鲁伸出手,热情地握了握。
“太好了,我的朋友。令人难以置信,太好了。”由衷地称赞。
“谢谢,麦金塔克。不过,现在我得回家了。我真的很累。明天见。”
“再见,德鲁。明天见。”校长与他道别,看着他离开办公室。
德鲁回到家马上去淋浴。
这一天的极度紧张随着脏水流走了,他发现自己如饿狼一般饥了。他的妹妹已经准备好了晚餐,不愧为完美和守时的人,他们一起吃饭,随便聊了起来。
“你在利兹的朋友怎么样?”无意中德鲁问道。“现在每个周末都去她那里。你们一定有许多共同的兴趣!顺便问一下,她叫什么名字?”
季莫丽娜抬起右边的眉毛,对突如其来的问题感到惊讶。德鲁很少关心她的个人问题,因为他总是埋头于自己的工作和研究中。
她很惊讶,而且还注意到这天晚上他的哥哥很是兴奋。
“今晚你很高兴,莱斯特。”一边回答一边观察他。“为什么呢?”
“一项研究成果很好。这不常见。”含糊地解释,无法透露细节。“那么你的朋友呢?”
季莫丽娜意识到他只是想谈话,他对自己的热情源于内心的喜悦,因为自己提到的研究成果而如此高兴。
“珍妮是位可爱的女士。”开始微笑着说。“ 几个月前,我在艺术展上遇到了她。发现我们有很多共同喜爱的作者,所以我决定拜访她。 她有几件有价值的画作,还有很多关于这个题目的书籍。 当我们见面时,我们总是会找到特别的兴趣。 我向你保证,对于这种类型的爱好者,一幅画可以展示多种意象,可能以前没有注意到的细微处,现在一目了然。 我们开始分析细节,我们喜欢在这方面比较对它们的评价:可以是技术,特定绘画的目的,作者的心理状况。 很高兴能跟她交谈。她很有教养很聪明,是一个非常有趣的人。”她以始终受控制的声音说完,这是她的特点。
“那么! 恭喜!”德鲁赞美道。“这是一种绝对珍贵的友谊。我真的为你高兴。”叉起最后一个马铃薯,把他的叉子停留在半空中。“你为什么不邀请她来这里,下一次这样的聚会?我们也有一些很好的绘画来展示。”把马铃薯放进嘴里。
“我们的画不是正在研究的那种。”季莫丽娜坦荡荡地撒谎。“当轮到表现主义的时候,我可能会邀请她。她也有这方面的好收藏。我们会看到的。”总是以微笑结束谈话。
她绝不会谈论克利夫。她疯狂地爱上了博物馆里认识的那个男人,但透露这个似乎会毁坏她哥哥心中自己纯洁而完美的形象。她不知道该怎么办,是的,这是真的,这是她五十年来第一次这样坠入爱河,这也是真的,她的幸福本可以很好地与他的兄长分享。父母去世后,他们一直生活在一起,没有一天莱斯特不感激她对自己的照顾。他是粗心的,是的,总是沉迷于物理,不过,他不断在一言一行中表示,她是多么完美,多么重要和不可或缺。她怎么能瞒他?
不,现在这样更好。她担心,如果过早地透露了自己的爱情故事,那么在刚刚开始的几个月之后,这件事情就会被破坏,可能会更糟。这是为了她自己,为了自己的形象还有她的哥哥,她不想让他不高兴。
她不愿想起自己受到的严格宗教教育,偏执和压抑。她被命令,不看,不想男孩们,因为这是‘罪恶和毁灭的根源’。而她这样做了,或者不得不做,而她的同学们,与手边的男孩调情,形成一对儿,她们分手,她们换了伴侣,成年后,她们结婚,组建家庭。而她没能这样。十六岁时,她为一个男孩伤心;夜里哭泣,躺在床上,绝望地搂着枕头好像是在抱着他一样,滚烫的泪水湿透了枕头罩。但总是不出声, 她不能让母亲听到她的声音,她在相邻的房间里总是睡得很轻。但几天后,男孩与一个微小的金发女孩出现在一起,她比自己低一年级。当季莫丽娜发现事情时,打击是可怕的。她没敢及时挺身而出,但有人捷足先登了。太晚了,然后愤怒控制了她。她抵触世界,抵触父母,抵触自己,懦弱地回避。她花了几天压抑内心的愤怒,发泄在学习和体操上,她很擅长于此。当风暴结束后,她决定这辈子永远不要再看男人一眼,因为有可能会再次受打击,失望和绝望。不,爱够了,即使她还没有真正经历过。
她当上了体育老师,开始了在公立学校的职业生涯,在此期间,她仍然坚持着自己的特长。她巧妙地无视或拒绝多年来许多人的求爱,树立了根深蒂固的声誉,一名老处女。但她从不为孤单而烦恼。有哥哥在家需要照顾,他应该得到她所有的尊敬和关心。
然而,利兹博物馆的那一天,从来没有想到会发生那样的事。她欣赏着一幅海景画时,一位站在画前的先生五十多岁,在她旁边,看着画中的场景,自然而然地加以议论,声音低沉,仿佛自言自语。
“那蓝色的水,消退在橙色的日落里真是不可思议“
季莫丽娜惊讶地转向他。她正在想着完全一样的事情。
“是什么技巧,我没弄明白。”她不知不觉地回答了。
“我认为这是油彩。添加有一些不寻常的颜料,也许是画家自己制作的。”那个人大声说,用右手托着下巴,把左臂水平放在肚子上,支撑着右臂的肘部。
“可能是这么回事。”季莫丽娜回答。“但效果不统一。您看到这里了吗? ”她靠近画作,伸手指着,他也上前,跟着她指的方向。“在船的附近,渐变度较小。如果是油彩中的颜料,我想他会在整个海洋的相关部分使用。而刚刚被日落所触及的船似乎成为一个单独的实体。”
那男人钦佩地看着她。“您说得对。我没有注意到。我想您是专家。向您致敬,海滩您觉得怎么样?”
在那里,他们开始广泛讨论绘画,剖析技术,艺术时期,艺术家的心理,画布的质量,甚至在博物馆那一翼的照明,他们认为不利于完美展示工作成果。
两个小时后,监护人不得不请求他们离开因为要关门了。
在谈话之后,他们还没有自我介绍,男人伸出手来。
“克利夫·布兰登,很高兴认识您。”
“季莫丽娜·德鲁。”回答道,热情地与他握手。“这是我的荣幸。”
“好饿!”他笑着说,坦诚地看着她。
她也望着他,情不自禁地享受这真诚而愉快的面孔。
“我也饿了。”她爽朗地说。
半小时后,他们坐在距离博物馆不远的一家意大利餐厅,享用丰盛的烤宽面条。他们继续谈论了一会儿绘画,然后不知不觉地开始谈论自己。他一个人离婚了多年,没有孩子。他的妻子为另一个男人离开了他,经过多年的婚姻之后,‘她需要新的刺激’,他如是说。
季莫丽娜惊奇地抬起眉毛,想知道有谁能离开一个如此可爱的男人。虽然他们刚刚认识,但她不得不承认自己感到与他完全契合。体内升腾一股热浪,双手几乎颤抖。她以前从来没有体验过这样的感觉,然后她的贞节誓言就被扔到风中。微笑着望着他的眼睛。
“您住得远吗?“ 直接问道。
“我不知道为什么您这么问。”他回答,“和您在一起感觉很好···”
“嘘!”季莫丽娜把食指放在他的嘴唇上,示意他安静。她站起来,走向收银台。他很快撵上了她并付了帐单。
大约一个小时后,晚上八点半左右,他们的衣服散落在克利夫床边的地面上,而季莫丽娜正在失去她的童贞。
回想几个月前的命运之夜,季莫丽娜很激动,但保证不会让他的哥哥看到。 基本上她讲述了博物馆的真相,关于绘画,技术讨论; 唯一的变化是有关的人。 现在,她对自己重复,她会保守真相。后来如果事情稳定了,她会告诉他的。
她起身,开始清理桌子。 德鲁帮助她,然后走向他的椅子。即将坐下时,他改变了主意。
“嗯,你介意我去喝啤酒吗?”
“好吧,但不要回来得太晚了,不要喝得太多。”她警告说。
“是。”他亲切地回答。
德鲁去了他的房间,迅速穿上休闲装。出来与他的妹妹打招呼。
“一会儿见。再见。”
“再见。”
德鲁身后的门刚一关,季莫丽娜就已经坐在椅子上了。满脸微笑拿起话筒拨了一个号码。
她打电话给克利夫。
德鲁快步走向他最喜欢的啤酒屋。那是在离大学不远的一条巷子里,时不时地他去呼吸一下那里的空气,古老的木头、坚硬的长凳和巨大的啤酒桶。他喜欢老式的世界,低灯和昔日的温暖色调。顾客大多是老年人,像他自己,但他也发现有年轻夫妇,他们知道如何欣赏好啤酒,以正确的方式在正确的地方。
空气很凉爽,甚至还有些寒冷,德鲁深深地呼吸,每一步都更加振奋起来。 他爱他的曼彻斯特,他是那个城市的一员,而且觉得这个城市是他的一部分。
那么,现在他在自己的曼彻斯特发现了什么呢?
嗯,舒尔茨,向他走来,四下张望有点迷迷糊糊步履蹒跚。当从一盏街灯下经过时他那条顿战士一样的身影从朦胧中浮现就像躲躲藏藏的隐居者,然后消失在几米之外的黑暗中。
德鲁笑了笑,觉得这场景很滑稽。他挥挥手叫他。
“迪特尔!我的朋友!”
舒尔茨朝他的方向看去,眼睛尖了。
“哦!德鲁!”他在片刻之后认出了他。“我的朋友,很高兴见到你!我在找一个吃饭的好地方,但不知如何是好。你有什么建议?”
“没有建议,但有邀请!我要去我最喜欢的啤酒屋,那里还有传统的英国美食。我相信它能以最好的方式满足你的食欲,用醇香的啤酒给你的晚餐补补水。在这儿!”拉着他的手臂,使他扭转了走路的方向。
“哦,好的,谢谢你,莱斯特。”舒尔茨欣然同意了。“离开实验室后,我回到住处,瘫倒在床上了。不久就呼呼睡着了,直到刚才才醒过来。我很高兴碰到了你。”
“我也很高兴。和朋友一起喝啤酒对疲乏的人来说是最好的事。尤其是像我们这样的一天后。”对他眨眨眼睛。
“说起疲乏,往那边看一点儿!”舒尔茨指着他们面前约五十米远的地方。
德鲁遵循朋友的指示。目光穿过萨克维尔公园,一个模糊的身影正襟危坐在图灵旁的板凳上,旁边是天才的雕像。
“看起来像···?”舒尔茨说。
“是的。”德鲁确认,擦亮眼睛。“是的,是他。”
“卡马兰达。”舒尔茨点点头结论。
他们悄悄地走到印度人面前,然后停下来。
不出所料,卡马兰达正在冥想。几秒钟过去了,然后他注意到他们的存在。 抬头看到他们。 咖啡色的脸上露出一丝笑容,一言不发。和他们一起走向啤酒馆。
Ole Sinner酒馆毗邻一条狭小昏暗的街道,坐落在一个无名的街区。一盏黄色的路灯照亮了酒馆的入口,一块木板靠在门左边,上书几个粗糙大字。笔迹呈深红色,有点被时间磨损了,另一个磨损的原因是因为每天都被踢到人行道上,然后重新捡回放在原位。外观是十九世纪的模样。一个大铜环挂在结实的木门上,给人的印象是有必要用它敲门。但一切都没发生,三名男子一到门口附近,门就被一名酒馆伙计打开了,大围裙和小胡子一派工业革命时期的遗风。他亲切地迎接他们,直接把他们带到一张空桌子上。舒尔茨和卡马兰达感到惊讶,但德鲁立即解释其中的奥秘。
“门上有一个光学传感器。当有人来到距离传感器不到三米的地方时,内部的一个小玲就会响起,然后伙计来开门。他总是走来走去,通常会有时间,否则你刚进门槛后也能受到他的欢迎。你知道,受欢迎是一件乐事。
同事们坐下的时候用力地点点头。在一个个人主义成为主要哲学的世界里,对别人漠不关心已成日常做法,甚至不再教育孩子对彼此的尊重,找到一个地方欢迎你的到来已是难得,而且他们会认真地为你服务令人舒心,真的令人舒心。
德鲁快活地笑了笑,看着他的朋友们高兴地拿起菜单,他就欣然看起了啤酒名单,尽管他已经知道自己要点什么。
“你有什么建议,德鲁?”舒尔茨问道,在沉甸甸的实木椅子上坐好。他一定很饿了。
卡马兰达在室内柔弱的光线下眯起眼睛浏览菜单。
“是啊,有什么建议?尽地主之谊。”印度人也开口了。
“我已经吃过了,所以我只要喝一杯好啤酒。给你们推荐一个不错的Balmoral牛排,这是一个用蘑菇,威士忌,奶油和各种香料煎成的牛排。这很美味,非常丰盛。”
两人在菜单上搜索菜肴并阅读详细说明。
“果然很好。”卡马兰达第一个赞成。
舒尔茨肯定地点点头并合上菜单,把它放在一边。
“我会要一个陈年麦芽啤酒。”德鲁说。“这是黑啤酒,很有劲,约6%的酒精度。我觉得这也很适合你们的牛排。”
舒尔茨爱喝啤酒,他来自德国,马上同意了, 卡马兰达也跟着赞成。这时店员来取订单,他拿着一个黄色方形小本和磨损的铅笔。德鲁为所有人点菜,然后店员离开了。
这个地方已经半满了,大约七八张桌子,几乎都被他们年龄段的人占据。 但是还有一张桌子,是两个年轻女孩,她们面前有一大杯黑啤酒,但盘子几乎是空的。看起来像大学生,外国人。深色头发拉丁人的面貌特征,德鲁认为一定是意大利或西班牙的。他想了一下,然后豁然开朗。正是这样,事实上! 最近几个月来,他曾看到她们结伴走在大学里的小路上,有次甚至遇到她们和一位英语老师说话。因此,她们一定是在这里学习语言的,他得出结论。
‘好吧,’德鲁对自己说,‘这样很好,有很多年轻人知道如何享受英国的传统美味。’在那里的两个外国女孩正是这般,这令他充满了欢乐。 觉得他们之间有一座桥梁,连接导师和新一代,有一天他们将从自己手中拿走文化接力棒,并将发扬光大人类最宝贵的资产:传播知识和科学进步。
他正沉浸于这些想法,而卡马兰达和舒尔茨正在窃窃私语。一会儿,那位店员端着沉沉的大盘子回来了,里面是他们点的所有东西。
他将托盘半放在桌子的一边,分发食物和啤酒。仅是看到菜肴就令人满口生津,而标志性的啤酒更是不可抗拒。三个人抓住了自己的杯子,举杯相庆。
“为了新的宇宙!“ 德鲁大声喊道。
“为了系统!”卡马兰达说。
“为了大家!”舒尔茨热情地加入。
邻桌也举杯加入了他们的祝酒。
他们贪婪地喝着众神的甘露,强劲,爽快,美味,然后两位客人大快朵颐诱人的菜肴。
那是庆祝的时刻。
那是他们的夜晚。
那是他们应得的。
第十七章
送走德鲁,麦金塔克独自一人在办公室。刚刚得知最新的工作进展,有关机器潜力的消息令他激动不已,完全不知所措。他不再能专注于手中正在处理的工作;不断思考新型革命性装置的用途。直接在体内进行疾病治疗,将物体移动到难以想象的距离之外,运送人!这似乎是一只蚯蚓,刚刚在地上露出头来,意识到外面的世界是多么广阔,无限的吸引力。这样的感觉攫取了他,令其喘不过气来。
他强迫自己规划出细节,第二天早上将交付给瓦茨小姐最终版本。在这种激动人心的时刻,他的职责感依然坚定,他就是这种人。
写完了最后一个字,把笔放在桌子上,然后一个想法闪现。
他猛然站起来,双手按在公文旁,说:“为什么不呢?”






