- -
- 100%
- +
Мы видим, что при объективном анализе капиталистического механизма нет нужды использовать присущие ему известные позорные пятна чрезвычайного характера как средство для устранения теоретических затруднений. Но большинство моих буржуазных критиков странным образом кричит о том, будто я, например в книге I «Капитала», своим предположением, что капиталист уплачивает действительную стоимость рабочей силы, – чего он большей частью не делает, – будто я таким образом допустил несправедливость по отношению к этому самому капиталисту! (С тем «великодушием», какое приписывается мне, здесь можно процитировать Шеффле.)
Итак, с суммой 376 IIv для упомянутой цели ничего не выходит.
Но с суммой 376 IIm возникает, по-видимому, ещё больше затруднений. Здесь друг другу противостоят только капиталисты одного и того же подразделения, которые продают друг другу и покупают друг у друга произведённые ими предметы потребления. Деньги, необходимые для такого обмена, функционируют при этом только как средства обращения и при нормальном ходе вещей должны возвращаться к участникам соответственно величине их авансов на обращение, чтобы затем постоянно снова и снова проделывать один и тот же путь.
Извлекать эти деньги из обращения для образования добавочного потенциального денежного капитала возможно, по-видимому, только двумя способами. Или одна часть капиталистов подразделения II обманывает другую часть капиталистов и совершает таким образом грабёж денег. Как мы знаем, для образования нового денежного капитала не требуется никакого предварительного увеличения количества денег, находящихся в обращении; для этого не требуется ничего иного, кроме того, чтобы деньги с известных сторон извлекались из обращения и накоплялись в виде сокровища. То обстоятельство, что деньги могут быть украдены и потому образование добавочного денежного капитала у одной части капиталистов подразделения II может быть связано с прямой потерей денег у другой части, – это обстоятельство нисколько не меняет сути дела. Обманутой части капиталистов подразделения II пришлось бы вести несколько менее разгульную жизнь, только и всего.
Или же часть IIm, заключающаяся в необходимых жизненных средствах, прямо превращается в новый переменный капитал в пределах подразделения II. Как это происходит, мы исследуем в конце настоящей главы (в пункте № IV).
1) ПЕРВЫЙ ПРИМЕР
A) Схема простого воспроизводства.

B) Исходная схема для воспроизводства в расширенном масштабе.

Предположив, что в схеме B) накопляется половина прибавочной стоимости подразделения I, т. е. 500, мы прежде всего получим, что (1 000v + 500m) I, или 1 500 I (v + m), должны быть возмещены посредством 1 500 IIc; в таком случае в подразделении I остаётся 4 000c + 500m, из которых последние подлежат накоплению. Возмещение (1 000v + 500m) I посредством 1 500 IIc представляет собой процесс простого воспроизводства и уже было объяснено при исследовании последнего.
Предположим, что 400 из 500 Im должны превратиться в постоянный капитал, 100 – в переменный. Обмен в пределах подразделения I этих 400m, которые, таким образом, подлежат капитализации, уже рассматривался нами; следовательно, эти 400m без дальнейших пояснений могут быть присоединены к Ic, и тогда мы для подразделения I получим:
4 400c + 1 000v + 100m (100m должны быть обменены на 100v).
В свою очередь, подразделение II с целью накопления покупает у подразделения I эти 100 Im (существующие в виде средств производства), которые образуют теперь добавочный постоянный капитал подразделения II, между тем как 100 деньгами, уплаченные им за эти средства производства, превращаются в денежную форму добавочного переменного капитала подразделения I. Тогда для подразделения I у нас имеется капитал в 4 400c + 1 100, (последние в виде денег) = 5 500.
Подразделение II имеет теперь для превращения в постоянный капитал 1 600c; для использования его в процессе производства оно должно прибавить ещё 50v деньгами на покупку новой рабочей силы, так что его переменный капитал возрастает с 750 до 800. Это расширение постоянного и переменного капитала подразделения II в общей сложности на 150 покрывается из его прибавочной стоимости; следовательно, из 750 IIm только 600m остаются в качестве фонда потребления капиталистов подразделения II, годовой продукт которых делится теперь следующим образом:
II. 1 600c + 800v + 600m (фонд потребления) = 3 000.
Произведённые в виде предметов потребления 150m, обменённые здесь на (100c + 50v) II, в своей натуральной форме целиком идут на потребление рабочих: 100 потребляются рабочими подразделения I (100 Iv), a 50 – рабочими подразделения II (50 IIv) как это показано выше. На деле в подразделении II, весь совокупный продукт которого изготовляется в необходимой для накопления форме, часть прибавочной стоимости, увеличенная на 100, должна быть воспроизведена в виде необходимых предметов потребления. Если действительно начинается воспроизводство в расширенном масштабе, то эти 100 переменного денежного капитала подразделения I, пройдя через руки его рабочих, возвращаются в подразделение II; напротив, подразделение II передаёт 100m в виде товарного запаса подразделению I и в то же время 50 в виде товарного запаса передаёт своим собственным рабочим.
Размещение совокупного продукта, изменённое с целью накопления, представляется теперь в следующем виде:
I. 4 400c + 1 100v + 500 фонд потребления = 6 000 II. 1 600c + 800v + 600 фонд потребления = 3 000
Сумма = 9 000, как и выше.
При этом капитал составляют:

между тем к началу производства было:

Если действительное накопление происходит теперь на этой основе, т. е. если производство действительно ведётся с таким увеличенным капиталом, то в конце следующего года мы получим:

Пусть накопление в подразделении I продолжается в такой же пропорции; следовательно, 550m будут израсходованы как доход, а остальные 550m будут накоплены. В таком случае прежде всего 1 100 Iv будут возмещены посредством 1 100 IIc; далее, 550 Im должны быть реализованы в равной сумме товаров подразделения II, т. е. в общем итоге должны быть реализованы 1 650 I (v + m). Но подлежащий возмещению постоянный капитал подразделения II составляет только 1 600, следовательно, остальные 50 должны быть добавлены из 800 IIm. Если на время оставить в стороне деньги, то в результате такой сделки получится следующее:
I. 4 400c + 550m (которые подлежат капитализации); кроме того, в фонде потребления капиталистов и рабочих 1 650 {v + m), реализованные в товарах IIc.
II. 1 650c (в том числе 50, как сказано выше, добавлены из IIm) + 800v + 750m (фонд потребления капиталистов).
Но если в подразделении II между v и c сохраняется прежняя пропорция, то на 50c придётся затратить ещё 25v; их можно взять из 750m; таким образом мы получим:
II. 1 650c + 825v + 725m.
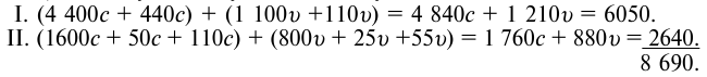
В подразделении I капитализации подлежат 550m; если сохраняется прежняя пропорция между v и c, то 440 из них составляют постоянный капитал и 110 – переменный капитал. Эти 110 могут быть взяты из 725 IIm, т. е. предметы потребления стоимостью в 110 будут потреблены рабочими подразделения I вместо капиталистов подразделения II, следовательно, последние будут вынуждены превратить в капитал эти 110m, которые они не могут потребить. Таким образом из 725 IIm остаётся 615 IIm. Но если подразделение II таким образом превращает эти 110 в добавочный постоянный капитал, то ему понадобится ещё 55 добавочного переменного капитала; оно должно будет взять их опять-таки из своей прибавочной стоимости; если вычесть эти 55 из 615 IIm, то для потребления капиталистов подразделения II останется 560; совершив все эти действительные и потенциальные перемещения, мы получим такую капитальную стоимость:

Для нормального хода дела накопление в подразделении II должно совершаться быстрее, чем в подразделении I, так как иначе часть I (v + m), которая должна быть обменена на товары IIc, возрастала бы быстрее, чем IIc, на которое она только и может быть обменена.
Если воспроизводство на такой основе и при прочих равных условиях продолжается, то в конце следующего года мы получаем:

Прежде всего, при неизменяющейся норме деления прибавочной стоимости в подразделении I предстоит израсходовать как доход 1 210v и половину m = 605, итого 1 815. Этот фонд потребления опять на 55 больше, чем IIc. Если эти 55 вычесть из 880m, то останется 825. Если 55 IIm превращается в IIc, то это предполагает дальнейший вычет из IIm для соответствующего переменного капитала = 27½ для потребления остаётся 797½ IIm.
Теперь в подразделении I предстоит капитализировать 605m; из них 484 постоянного капитала и 121 переменного; последняя сумма должна быть вычтена из IIm, которое теперь = 797½; остаётся 676½ IIm. Следовательно, подразделение II превращает в постоянный капитал ещё 121 и нуждается для этого в новом переменном капитале = 60½; последний так же берётся из 676½; для потребления остаётся 616.
Тогда у нас будет капитала:

а в конце года мы будем иметь продукт:

Повторяя это вычисление и округляя дроби, мы в конце следующего года получим продукт:

В течение пяти лет воспроизводства в расширенном масштабе весь капитал подразделений I и II возрос с 5 500c + 1 750v = 7 250 до 8 784c + 2 782v = 11 566, следовательно, в отношении 100: 160. Вся прибавочная стоимость первоначально составляла 1 750, теперь она составляет 2 782. Потреблённая прибавочная стоимость вначале составляла 500 для подразделения I и 600 для подразделения II, итого = 1 100; в последний год она составляет 732 для подразделения I и 745 для подразделения II, итого = 1 477. Следовательно, она возросла в отношении 100: 134.
2) ВТОРОЙ ПРИМЕР
Возьмём теперь годовой продукт в 9 000, который целиком находится в руках класса промышленных капиталистов в форме товарного капитала, в форме, при которой общее среднее отношение переменного и постоянного капитала составляет 1: 5. Это предполагает: уже значительное развитие капиталистического производства и соответствующее развитие производительной силы общественного труда; значительное, уже ранее совершившееся расширение масштаба производства; наконец, развитие всех условий, создающих относительное перенаселение в рабочем классе. При указанном отношении переменного и постоянного капитала годовой продукт, если округлить дроби, будет делиться следующим образом:

Предположим теперь, что капиталисты подразделения I половину прибавочной стоимости = 500 потребляют, а другую половину накопляют. Тогда (1 000v + 500m) I = 1 500 подлежали бы обмену на 1 500 IIc. Но так как IIc составляет в этом случае только 1 430, то 70 должны быть добавлены из прибавочной стоимости; вычитая их из 285 IIm, получаем в остатке 215 IIm. Следовательно, мы имеем:
I. 5 000c + 500m (подлежащих капитализации) + 1 500 (v + m) в фонде потребления капиталистов и рабочих.
II. 1 430c + 70m (подлежащих капитализации) + 285v + 215m.
Так как 70 IIm в подразделении II прямо присоединяются к IIc, то для того, чтобы привести в движение этот добавочный постоянный капитал, требуется переменный капитал в 70/5 = 14; эти 14, в свою очередь, берутся из 215 IIm; остаётся 201 IIm, и мы имеем:
II. (1 430c + 70c) + (285v + 14v) + 201m.
Обмен 1 500 I (v + ½m) на 1 500 IIc есть процесс простого воспроизводства, и о нём уже всё сказано. Однако мы должны здесь отметить ещё некоторые особенности, вытекающие из того, что при воспроизводстве, связанном с накоплением, I (v + ½m) возмещается не одним только IIc, а суммой IIc плюс часть IIm.
Само собой разумеется, что поскольку предположено накопление, то I (v + m) больше IIc, а не равно IIc, как при простом воспроизводстве, потому что: 1) подразделение I включает часть своего прибавочного продукта в свой собственный производительный капитал и превращает 5/6 этой части в постоянный капитал, следовательно, оно не может в то же время возместить эти 5/6 предметами потребления подразделения II; 2) подразделение I из своего прибавочного продукта должно доставить материал для постоянного капитала, необходимого ввиду накопления в пределах подразделения II, – совершенно так же, как подразделение II должно доставить подразделению I материал для переменного капитала, который должен привести в движение ту часть прибавочного продукта подразделения I, которую само подразделение I применяет как добавочный постоянный капитал. Мы знаем, что действительный переменный капитал, а следовательно, и добавочный, состоит из рабочей силы. Капиталисту подразделения I не приходится покупать у капиталистов подразделения II необходимые жизненные средства про запас или накоплять их для добавочной рабочей силы, которую ещё только предстоит применять, как это приходилось делать рабовладельцу. Рабочие сами покупают товары у капиталистов подразделения II. Но это не препятствует тому, что с точки зрения капиталиста предметы потребления добавочной рабочей силы представляют собой лишь средства производства и сохранения добавочно нанимаемой рабочей силы, следовательно, натуральную форму его переменного капитала. Его собственная ближайшая операция, выполняемая в данном случае в подразделении I, состоит только в том, что он копит необходимый новый денежный капитал, требующийся для покупки добавочной рабочей силы. Как только он присоединяет её к своему капиталу, деньги становятся для этой рабочей силы средством покупки товаров подразделения II; следовательно, рабочие должны найти для себя соответствующие предметы потребления уже в наличии.
Между прочим. Господин капиталист и его пресса часто бывают недовольны тем способом, каким рабочие расходуют свои деньги, и теми товарами подразделения II, в которых они реализуют эти деньги. Он философствует по этому поводу, болтает о культуре, разыгрывает из себя филантропа, как это делает, например, г. Драммонд, секретарь английского посольства в Вашингтоне. Он сообщает, что «The Nation» {газета} в конце октября 1879 г. поместила «интересную статью», в которой, между прочим, говорится:
«В культурном отношении рабочие отстали от прогресса изобретений; для них стало доступным множество предметов, которые они не потребляют и для которых они, следовательно, не создают рынка». {Каждый капиталист, конечно, желает, чтобы рабочий покупал его товар.} «Нет никакого основания полагать, что рабочий не желал бы жить с таким же комфортом, как священник, адвокат или врач, получающий столько же, сколько и он». {Много же комфорта могут при желании позволить себе в действительности такого рода адвокаты, священники и врачи!} «Но он так не живёт. Вопрос всё ещё заключается в том, какими рациональными и здоровыми мерами можно повысить его уровень как потребителя; это вопрос нелёгкий, потому что всё его честолюбие не идёт дальше сокращения рабочих часов, и демагоги скорее подстрекают его именно к этому, чем к улучшению его положения посредством совершенствования его умственных и моральных способностей» («Reports by H. M.'s Secretaries of Embassy and Legation on the Manufactures, Commerce etc. of the Countries in which they reside». London, 1879, p. 404).
Длинный рабочий день, по-видимому, составляет секрет «рациональных и здоровых мер», которые должны «улучшить положение» рабочего «посредством совершенствования его умственных и моральных способностей» и сделать его «рациональным» потребителем. Чтобы стать таким «рациональным» потребителем товаров капиталистов, рабочий вынужден начать – но этому мешает демагог! – с того, чтобы дозволить своему собственному капиталисту потреблять его рабочую силу нерациональным и вредным для здоровья образом. Как понимает капиталист «рациональное» потребление, это показывает trucksystem, при которой благосклонность капиталиста простирается до того, что он прямо вмешивается в потребление своих рабочих, причём одной из многочисленных разновидностей этой системы является предоставление квартир рабочим, так что капиталист одновременно становится и хозяином квартир своих рабочих.
Тот же самый прекраснодушный Драммонд, восторгающийся капиталистическими попытками повышения уровня рабочего класса, рассказывает в том же отчёте, между прочим, об образцовых хлопкопрядильных фабриках в городах Лоуэлл и Лоренс. Столовые и жилые дома для фабричных девушек принадлежат тому же акционерному, обществу, которому принадлежат и сами фабрики; заведующие этими домами состоят на службе того же общества, которое устанавливает для девушек правила поведения; ни одна из них не смеет возвращаться домой позже 10 часов вечера. Но вот перл: патрули специальной полиции общества в прилегающей местности наблюдают за тем, чтобы не нарушался этот домовый устав. После 10 часов вечера ни одна девушка не выпускается из дома и не впускается туда. Все девушки непременно должны жить на территории, принадлежащей обществу, которому каждый дом на этой территории еженедельно приносит около 10 долларов квартирной платы, и тут мы видим «рациональных» потребителей во всём блеске:
«Так как во многих лучших домах для работниц имеется вездесущее пианино, то музыка, пение и танцы играют существенную роль, по крайней мере для тех из них, которые после монотонной непрерывной десятичасовой работы за ткацким станком более нуждаются в перемене занятий, чем в действительном отдыхе» (там же, стр. 412).
Но главный секрет того, как из рабочего сделать «рационального» потребителя, ещё впереди. Господин Драммонд посетил ножевую фабрику в Тернерс Фоле (на реке Коннектикут), причём господин Окмен, казначей этого акционерного общества, рассказав ему, что американские столовые ножи побивают своим качеством английские, продолжает:
«Мы побьём Англию и ценами; мы уже теперь превосходим её по качеству, это признано, но мы должны продавать по более низким ценам, и мы достигнем этого, если получим дешевле нашу сталь и понизим плату за наш труд!» (там же, стр. 427).
Понижение заработной платы и длинный рабочий день – в этом вся суть «рациональных и здоровых мер», которые должны возвести рабочего в ранг «рационального» потребителя, чтобы он создал рынок для массы предметов, которые стали доступными для него благодаря культуре и прогрессу изобретений.
Следовательно, как подразделение I должно доставить из своего прибавочного продукта добавочный постоянный капитал для подразделения II, так и подразделение II доставляет в этом смысле добавочный переменный капитал для подразделения I. Поскольку речь идёт о переменном капитале, постольку подразделение II накопляет для подразделения I и для себя самого, воспроизводя большую часть всего своего продукта, следовательно, и своего прибавочного продукта, в форме необходимых предметов потребления.
При производстве на основе возрастающего капитала I (v+ m) должно быть равно IIc плюс та часть прибавочного продукта, которая вновь присоединяется к капиталу, плюс добавочная часть постоянного капитала, необходимая для расширения производства в подразделении II; а минимум этого расширения должен быть таким, без которого неосуществимо действительное накопление, т. е. действительное расширение производства в самом подразделении I.
Если мы вернёмся к последнему рассмотренному нами случаю, то оказывается, что он имеет ту особенность, что IIc меньше, чем I (v + ½m), чем часть продукта подразделения I, расходуемая как доход на предметы потребления, так что при обмене 1 500 I (v + m) тем самым реализуется сразу и часть прибавочного продукта подразделения II, которая равна 70. Что касается IIc = 1 430, то оно, чтобы могло совершиться простое воспроизводство в подразделении II, должно быть при прочих неизменных условиях возмещено из I (v + m) на такую же сумму стоимости, и постольку здесь его нечего больше рассматривать. Иначе обстоит дело с добавочными 70 IIm. То, что для подразделения I является простым возмещением дохода предметами потребления, просто товарным обменом в целях потребления, для подразделения II является здесь не просто обратным превращением его постоянного капитала из формы товарного капитала в натуральную форму, как при простом воспроизводстве, а прямым процессом накопления, превращением части его прибавочного продукта из формы предметов потребления в форму постоянного капитала. Если подразделение I на 70 ф. ст. деньгами (денежный резерв для превращения прибавочной стоимости) покупает эти 70 IIm, и если подразделение II затем не покупает 70 Im, а накопляет эти 70 ф. ст. как денежный капитал, то в последнем, конечно, находит своё выражение добавочный продукт (а именно прибавочный продукт подразделения II, частью которого он является), хотя и не такой, который снова входит в производство; но в таком случае это накопление денег на стороне подразделения II в то же время выражало бы, что 70 Im в виде средств производства не могут быть проданы. Следовательно, в подразделении I произошло бы относительное перепроизводство, соответствующее указанному одновременному воспроизводству на стороне подразделения II в прежнем объёме.
Но независимо от этого, в продолжение того времени, пока эти 70 деньгами, поступившие из подразделения I, ещё не возвратились к нему или возвратились лишь частично ввиду акта купли некоторой доли 70 Im подразделением II, эти 70 деньгами, все целиком или частью, фигурируют в руках капиталистов подразделения II как добавочный потенциальный денежный капитал. Это относится ко всякому обмену между подразделениями I и II, пока взаимное возмещение товаров на обеих сторонах не приведёт к возвращению денег к их исходному пункту. Но при нормальном ходе дела деньги фигурируют здесь в этой роли лишь временно. При системе же кредита, когда все деньги, дополнительно высвободившиеся хотя бы на короткое время, тотчас должны функционировать активно, как добавочный денежный капитал, такой лишь временно свободный денежный капитал может быть закреплён в деле, например, может послужить для новых предприятий в подразделении I, тогда как он должен был бы реализовать добавочный продукт, залежавшийся на других предприятиях этого подразделения. Далее, следует заметить, что присоединение 70 Im к постоянному капиталу подразделения II требует вместе с тем увеличения переменного капитала подразделения II на сумму в 14. Это предполагает, – подобно тому как в подразделении I при непосредственном присоединении прибавочного продукта Im к капиталу c – что воспроизводство в подразделении II уже совершается с тенденцией к дальнейшей капитализации, следовательно, что оно заключает в себе увеличение той части прибавочного продукта, которая состоит из необходимых жизненных средств.





