Витамины: для тех, кто хочет знать больше!

- -
- 100%
- +

Составитель Дмитрий Грачев
Составитель Петр Владимирович Иванов
ISBN 978-5-0050-2371-1
Создано в интеллектуальной издательской системе Ridero
ВВЕДЕНИЕ
В настоящее время витамины – довольно хорошо изучены и известны. Этим термином пользуются практически все: начиная от некомпетентных рядовых жителей России и заканчивая профессиональными врачами специалистами. А слова витамины и здоровье стали синонимами. Но как же в действительности витамины работают в организме человека? Отчего они являются необходимыми компонентами питания и неотъемлемыми метаболитами в энергетических процессах в клетках человека? Обо всем этом и о многом другом вы узнаете в этой книге или если быть точнее в этом пособии. Разрабатывая это пособие, я старался совместить все новейшие методы подачи материала и структуризации материала. Этот труд нацелен на широкую аудиторию, он будет полезен как студентам медицинских вузов, так и любому другому интересующемуся читателю. Приятного изучения и успехов в вашей деятельности.
КЛАССИФИКАЦИЯ ВИТАМИНОВ
Современная классификация витаминов не является совершенной. Она основана на физико-химических свойствах (в частности, растворимости) или на химической природе, но до сих пор сохраняются и буквенные обозначения. В зависимости от растворимости в неполярных органических растворителях или в водной среде различают жирорастворимые и водорастворимые витамины. В приводимой классификации витаминов, помимобуквенного обозначения, в скобках указан основной биологический эффект, иногда с приставкой ≪анти≫, указывающей на способность данного витамина предотвращать или устранять развитие соответствующего заболевания; далее приводится номенклатурное химическое название каждого витамина.
Витамины, растворимые в жирах:
1. Витамин А (антиксерофтальмический); ретинол
2. Витамин D (антирахитический); кальциферолы
3. Витамин Е (антистерильный, витамин размножения); токоферолы
4. Витамин К (антигеморрагический); нафтохиноны
Витамины, растворимые в воде:
1. Витамин B1 (антиневритный); тиамин
2. Витамин В2 (витамин роста); рибофлавин
3. Витамин В6 (антидерматитный, адермин); пиридоксин
4. Витамин B12 (антианемический); цианкобаламин; кобаламин
5. Витамин РР (антипеллагрический, ниацин); никотинамид
6. Витамин Вc (антианемический); фолиевая кислота
7. Витамин В3 (антидерматитный); пантотеновая кислота
8. Витамин Н (антисеборейный, фактор роста бактерий, дрожжей и грибков);
биотин
9. Витамин С (антискорбутный); аскорбиновая кислота
10. Витамин Р (капилляроукрепляющий, витамин проницаемости); биофлавоноиды
Помимо этих двух главных групп витаминов, выделяют группу разнообразных химических веществ, из которых часть синтезируется в организме, но обладает витаминными свойствами. Для человека и ряда животных эти вещества принято объединять в группу витаминоподобных. К ним относят холин, липоевую кислоту, витамин В15 (пангамовая кислота), оротовую кислоту, инозит, убихинон, парааминобензойную кислоту, карнитин, линолевую и линоленовую кислоты, витамин U (противоязвенный фактор) и ряд факторов роста птиц, крыс, цыплят, тканевых культур. Недавно открыт еще один фактор, названный пирролохинолинохиноном. Известны его коферментные и кофакторные свойства, однако пока нераскрыты витаминные свойства. Поскольку типичные проявления авитаминозов встречаются довольно редко, очевидно, нет необходимости в подробном описании клинической картины гипо- и авитаминозов. Более подробно будут представлены сведения о биологической роли тех витаминов, механизм действия которых уже расшифрован.
В табл. 7.1 суммированы известные к настоящему времени сведения о суточной потребности, природе активной формы и физиологической роли витаминов.

ЖИРОРАСТВОРИМЫЕ ВИТАМИНЫ
ВИТАМИНЫ ГРУППЫ А
Витамин А (ретинол; антиксерофтальмический витамин) хорошо изучен. Известны три витамина группы А: А1, А2 и цис-форма витамина А1, названная неовитамином А. С химической точки зрения ретинол представляет собой циклический непредельный одноатомный спирт, состоящий из шестичленного кольца (β-ионон), двух остатков изопрена и первичной спиртовой группы.

Витамины группы А хорошо растворимы в жирах и жирорастворителях: бензоле, хлороформе, эфире, ацетоне и др. В организме они легко окисляются при участии специфических ферментов.
Характерными симптомами недостаточности витамина А у человека и животных являются торможение роста, снижение массы тела, общее истощение организма, специфические поражения кожи, слизистых оболочек и глаз.
Характерно поражение глазного яблока – ксерофтальмия, т.е. развитие сухости роговой оболочки глаза (от греч. xeros —сухой, ophthalmos – глаз) вследствие закупорки слезного канала, эпителий которого также подвергается ороговению. Глазное яблоко не омывается слезной жидкостью, которая, как известно, обладает бактерицидным свойством. В результате этого развиваются воспаления конъюнктивы, отек, изъязвление и размягчение роговицы. К наиболее ранним и специфическим симптомам авитаминоза А (гиповитаминоза А) относится куриная, или ночная, слепота (гемералопия). Она выражается в потере остроты зрения, точнее, способности различать предметы в сумерках, хотя больные днем видят нормально.
Помимо гипо- и авитаминозов, описаны случаи гипервитаминоза А при употреблении в пищу печени белого медведя, тюленя, моржа, в которой содержится много свободного витамина А.
Характерны проявления гипервитаминоза А: воспаление глаз, гиперкератоз, выпадение волос, общее истощение организма. При этом, как правило, отмечаются потеря аппетита, головные боли, диспепсические явления (тошнота, рвота), бессонница.
Гипервитаминоз может развиться и у детей в результате приема больших количеств рыбьего жира и препаратов витамина А. Описан острый гипервитаминоз у детей после приема больших доз витамина А, при этом повышается его содержание в крови.
БИОЛОГИЧЕСКОЕ ЗНАЧЕНИЕ
Витамин А оказывает влияние на барьерную функцию кожи, слизистых оболочек, проницаемость клеточных мембран и биосинтез их компонентов, в частности определенных гликопротеинов. Действие витамина А в этих случаях связывают с его вероятной причастностью к синтезу белка. Существует предположение, что благодаря наличию двойных связей в молекуле витамин А может участвовать в окислительно восстановительных реакциях, поскольку он способен образовывать перекиси, которые в свою очередь повышают скорость окисления других соединений.
Более подробно выяснено значение витамина А в процессе светоощущения. В этом важном физиологическом процессе большую роль играет особый хромолипопротеин – сложный белок родопсин, или зрительный пурпур, являющийся основным светочувствительным пигментом сетчатки, в частности палочек, занимающих ее периферическую часть. Установлено, что родопсин состоит из липопротеина опсина и простетической группы, представленной альдегидом витамина A1 (ретиналь).
СХЕМА СВЕТООЩУЩЕНИЯ

РАСПРОСТРАНЕНИЕ В ПРИРОДЕ И СУТОЧНАЯ ПОТРЕБНОСТЬ
Витамин А широко распространен. Наиболее богаты этим витамином следующие продукты животного происхождения: печень крупного рогатого скота и свиней, яичный желток, цельное молоко, масло, сметана, сливки. Особенно много свободного витамина А в жирах печени морского окуня, трески, палтуса: в частности, в жире печени морского окуня содержание витамина А доходит до 35%.
Источниками витамина А для человека являются также красномякотные овощи (морковь, томаты, перец и др.), в которых витамин А содержится в виде провитаминов – каротинов, выделенных впервые из моркови (от лат. carota – морковь).
Известны 3 типа каротинов: α-, β-и γ-каротины, отличающиеся друг от друга химическим строением и биологической активностью. Наибольшей биологической активностью обладает β-каротин, поскольку он содержит два β-иононовых кольца и при распаде в организме из него образуются две молекулы витамина А.
β-Каротин

Суточная потребность для взрослого человека составляет в среднем 2,7 мг витамина А или от 2 до 5 мг β-каротина. У человека основным органом, в котором частично откладывается про запас витамин А, является печень. В норме в ней содержится около 20 мг этого витамина на 100 г ткани.
ВИТАМИНЫ ГРУППЫ D
Витамин D (кальциферол; антирахитический витамин) существует в виде нескольких соединений, различающихся как по химическому строению, так и по биологической активности. Для человека и животных активными препаратами считаются витамины D2 и D3.
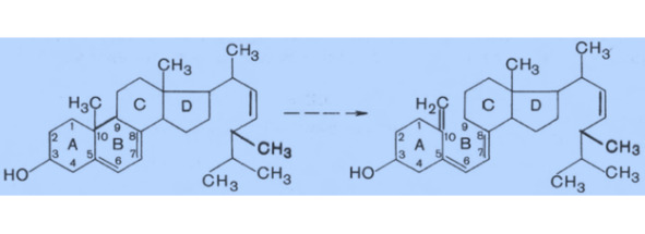
В природных продуктах содержатся преимущественно провитамины D2 и D3 – соответственно эргостерин и холестерин.
Под действием УФ-лучей эргостерин через ряд промежуточных продуктов (люмистерин, тахистерин) превращается в витамин D2:

Эргостерин Витамин D2 (эргокальциферол)
БИОЛОГИЧЕСКОЕ ЗНАЧЕНИЕ
Витамины D2 и D3 представляют собой бесцветные кристаллы с температурой плавления 115—117°С, нерастворимые в воде, но хорошо растворимые в жирах, хлороформе, эфире и других жирорастворителях.
Недостаток витамина D в рационе детей приводит к возникновению широко известного заболевания – рахита, в основе развития которого лежат изменения фосфорно-кальциевого обмена и нарушение отложения в костной ткани фосфата кальция. Поэтому основные симптомы рахита обусловлены нарушением нормального процесса остеогенеза.
Развивается остеомаляция – размягчение костей. Кости становятся мягкими и под тяжестью тела принимают уродливые О- или Х-образные формы. У детей, больных рахитом, относительно большая голова и увеличенный живот. Развитие последнего симптома обусловлено гипотонией мышц. Нарушение процесса остеогенеза при рахите сказывается также на развитии зубов; задерживаются появление первых зубов и формирование дентина.
Для авитаминоза D взрослых характерной особенностью является развитие остеопороза вследствие вымывания уже отложившихся солей; кости становятся хрупкими, что часто приводит к переломам.
РАСПРОСТРАНЕНИЕ В ПРИРОДЕ И СУТОЧНАЯ ПОТРЕБНОСТЬ
Наибольшее количество витамина D3 содержится в продуктах животного происхождения: сливочном масле, желтке яиц, печени и в жирах, а также в рыбьем жире, который широко используется для профилактики и лечения рахита. Из растительных продуктов наиболее богаты витамином D2 растительные масла (подсолнечное, оливковое и др.); много витамина D2
Конец ознакомительного фрагмента.
Текст предоставлен ООО «ЛитРес».
Прочитайте эту книгу целиком, купив полную легальную версию на ЛитРес.
Безопасно оплатить книгу можно банковской картой Visa, MasterCard, Maestro, со счета мобильного телефона, с платежного терминала, в салоне МТС или Связной, через PayPal, WebMoney, Яндекс.Деньги, QIWI Кошелек, бонусными картами или другим удобным Вам способом.



