Все науки. №4, 2023. Международный научный журнал

- -
- 100%
- +

Главный редактор Ибратжон Хатамович Алиев
Иллюстратор Ибратжон Хатамович Алиев
Иллюстратор Оббозжон Хокимович Кулдашов
Иллюстратор Султонали Мукарамович Абдурахмонов
Иллюстратор Боходир Хошимович Каримов
Дизайнер обложки Ибратжон Хатамович Алиев
Дизайнер обложки Раънохон Мукарамовна Алиева
Дизайнер обложки Боходир Хошимович Каримов
Научный руководитель Боходир Хошимович Каримов
Заместитель Научного руководителя Султонали Мукарамович Абдурахмонов
Экономический руководитель Фаррух Муроджонович Шарофутдинов
Экономический консультант Ботирали Рустамович Жалолов
Корректор Гульноза Мухтаровна Собирова
Корректор Абдурасул Абдусолиевич Эргашев
Корректор Екатерина Александровна Вавилова
© Ибратжон Хатамович Алиев, иллюстрации, 2023
© Оббозжон Хокимович Кулдашов, иллюстрации, 2023
© Султонали Мукарамович Абдурахмонов, иллюстрации, 2023
© Боходир Хошимович Каримов, иллюстрации, 2023
ISBN 978-5-0060-3900-1 (т. 4)
ISBN 978-5-0059-5898-3
Создано в интеллектуальной издательской системе Ridero
ФИЗИКО-МАТЕМАТИЧЕСКИЕ НАУКИ
ОПТИЧЕСКАЯ И ЗВУКОВАЯ ПАМЯТЬ В КРИСТАЛЛАХ НИОБАТА ЛИТИЯ
УДК 535.215.31
Каримов Боходир Хошимович
Кандидат физико-математических наук, доцент физико-технического факультета Ферганского государственного университета
Каримов Шавкат Боходирович
Соискатель физико-технического факультета Ферганского государственного университета
Алиев Ибратжон Хатамович
Студент 3 курса факультета математики-информатики Ферганского государственного университета
Ферганский государственный университет, Фергана, Узбекистан
Аннотация. Фото-ЭДС (или фотонапряжение) в полупроводниках независимо от ее природы не может превышать ширину запрещенной зоны, т.е. несколько Вольт/см.
Ключевые слова: фото-ЭДС, фотовольтаический ток, кристаллы без центра симметрии, полупроводники, тензоры третьего ранга, энергии уровня Ферми.
Annotation. PHOTOEDC (or photovoltage) in semiconductors, regardless of its nature, cannot exceed the band gap width, i.e. several volts/cm.
Keywords: PHOTOEDC, photovoltaic current, crystals without a center of symmetry, semiconductors, third-rank tensors, Fermi-level energies.
Например, в однородном полупроводнике Демберовское (диффузионное) фото напряжение для сколь угодно большой интенсивности возбуждающего света не превышает значения [1].

(1)
где Eg – ширина запрещенной зоны полупроводника, n1 и n0 – соответственно неравновесная и равновесная концентрации носителей, Nc – плотность состояний.
Другим примером может служить возникающие фотонапряжение при освещении p-n —перехода [2].

(2)
которое также не превышает Eg. Здесь nn и pp – соответственно концентрации электронов в n – области и дырки в р – области. EFn и EFp – энергии уровня Ферми в n – и р – областях.
Исключение из этого правила составляли лишь полупроводниковые текстуры в которых наблюдается эффект аномально больших фото напряжений (АФН эффект), обусловленный сложением элементарных фото-ЭДС Дембера (1) или элементарных фото-ЭДС (2), развивающихся на отдельных р-n —переходах текстуры [3].
В таких текстурах из напыленных слоев CdTe, Ge, Si, GaAs, PbS, CdSe и т. д. фото напряжения могут достигать значений порядка нескольких сотен Вольт на сантиметр длины в направлении сложения элементарных фото-ЭДС (1) или (2).
В последние годы стало ясно, что в термодинамических неравновесных условиях возможны токи иной природы, обусловленные отсутствием среды центра симметрии. Важнейшим этого класса эффекта является аномальный фотовольтаический эффект (АФ эффект).
АФ эффект заключается в том, что при равномерном освещении короткозамкнутого сегнетоэлектрика через него протекает стационарный ток, который в [4,5] был назван фотовольтаическим. Было показано, что именно фотовольтаический ток приводит к аномальному фотовольтаическому эффекту (АФ эффект) в сегнетоэлектрике.
Аномальный фотовольтаический эффект, обнаруженный для сегнетоэлектриков впервые в [4,5] является частным случаем АФ эффекта, описываемого для кристаллов без центра симметрии тензором третьего ранга αijk [5,6]:

(3)
Согласно (3), при равномерном освещении линейно поляризованным светом однородного кристаллов без центра симметрии (сегнето, пиро или пъезоэлектрического кристалла) в нем возникает фотовольтаический ток Ji, знак и величина которого зависят от ориентации вектора поляризации света с проекциями EJ, EK*.
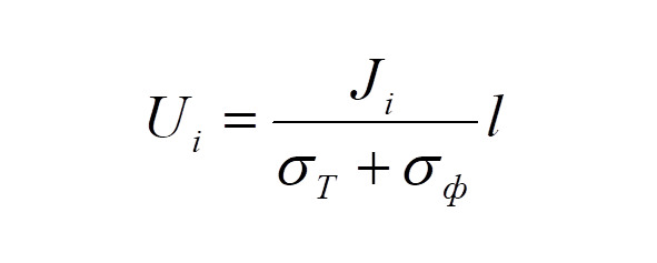
Компоненты тензора αijk отличны от нуля для 20 ацентричных групп симметрии. Если электроды кристалла разомкнуть, то фотовольтаический ток Ji генерирует фотонапряжения

где σт и σф соответственно темновая и фотопроводимость, l расстояние между электродами. Генерируемое фотонапряжения в кристаллах без центра симметрии порядка (103—105). В/см. В соответствии с (3) и симметрией точечной группы кристалла можно написать выражения для фотовольтаического тока Ji. Сравнение экспериментальной угловой зависимости Ji (b) с (3) позволяет определить фотовольтаический тензор aijk или фотовольтаический коэффициент

(a* – коэффициент поглощения света).
В работе [10] определен фотовольтаический коэффициент в кристаллах ниобата лития порядка K = (2—3) ∙ 10—9A∙см∙ (Вт) -1.
В настоящей работе сделан обзор и обсуждена фотовольтаическая, оптическая (фоторефрактивная) и звуковая память в кристаллах ниобата лития.
Использование в голографической записи в LiNbO3: Fe дает преимущества. В этом случае запись осуществляется фотовольтаическим эффектом (ФЭ) соответствующей фотовольтаическому току.
Ниобат лития широко применяется в голографии и запоминающих устройствах благодаря своим прекрасным сегнето- и пьезоэлектрическим свойствам. Подобно тому, как магнитные материалы «запоминают» магнитное поле, сегнетоэлектрики в определенных условиях могут «запомнить» электрическое поле.
1. ОПТИЧЕСКАЯ ПАМЯТЬ В КРИСТАЛЛАХ НИОБАТА ЛИТИЯ
Влияние неравновесных носителей на двулучепреломленние сегнето и пьезоэлектрических кристаллах получило в литературе название фоторефрактивного эффекта (ФР эффект) и нашёл широкое использование для регистрации объемных голограмм. ФР эффект заключается в следующем. В результате локального освещения сегнето или пьезоэлектрического кристалла интенсивным проходящим светом (сфокусированным лучом лазера) в объеме кристалла внутри светового пучка имеет место обратимое изменение двулучепреломления, главным образом за счёт изменения показателя преломления необыкновенного луча ne. Величина этого изменение достигает 10—4 -10-3 для некоторых пироэлектриков (LiNbo3 LiTa03), а время его существования может изменяться в широких пределах, от миллисекунд в BaTiO3 до месяцев в LiNbO3. Запись голограммы осуществляется благодаря объемной модуляции значения Dn, соответствующей модуляции записывающего луча. Разрешающая способность записи исключительно высокие, 102—104 лин/мм. [7, 9].
Главное преимущество этого метода оптической памяти по сравнению с фотографическими слоями заключается в возможности параллельной записи, считывания и стирания.
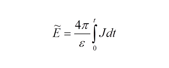
Как показано знак, и величина фотовольтаического тока зависит от симметрии кристалла и поляризации света. Фотовольтаический ток приводит к генерации в том же направлении аномально больших фотонапряжений. Таким образом, за время экспозиции t в кристалле возникает макроскопическое поле.

(5)
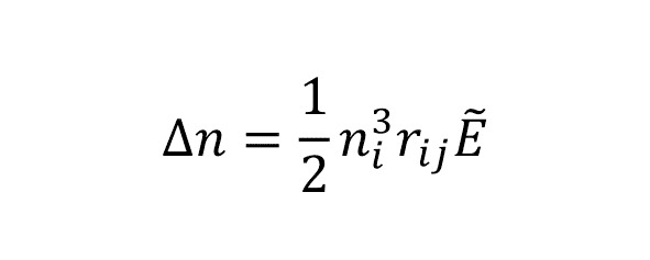
Благодаря линейному электрическому эффекту поле приводит к ФР эффекту:

(6)
где rij – электрооптические коэффициенты. Уравнение (6) записано в главной системе координат. После освещения поле сохраняется в кристалле длительное время благодаря захвату неравновесных электронов и дырок. Этот механизм захвата ответствен за оптическую память.
Использование в голографической записи в LiNbO3: Fe дает преимущества. В этом случае запись осуществляется фотовольтаическим эффектом (ФЭ) соответствующей фотовольтаическому току. Генерируемое фотонапряжение порядка (103—105) В/см ответствен за оптический память в кристаллах LiNbO3: Fe.
Стирание может осуществляться путем отжига кристалла при 1700С. Имеются и другие методы стирания.
2. ЗВУКОВАЯ ПАМЯТЬ В КРИСТАЛЛАХ НИОБАТА ЛИТИЯ
В технике уже довольно давно используют слегка желтоватые монокристаллы ниобата лития LiNbO3. Это удивительно «талантливый» материал: сегнетоэлектрик (его диэлектрическая проницаемость зависит от напряженности электрического поля, температуры и предварительной поляризации). Кристалл содержит особые микроскопические области – сегнетоэлектрические домены, различающиеся по направленности поляризации. Размеры доменов 10—7—10—5 м, или 0,1—10 мкм. Воздействуя электрическим полем, домены можно перемещать по кристаллу, в сильном поле направление поляризации всех доменов можно сделать одинаковым (кристалл становится монодоменным). При повышении температуры до определенной величины способность поляризоваться и образовывать домены пропадает. У ниобата лития эта температура (точка Кюри) очень высокие составляет 1210°С. Поляризация возникает в результате несовпадения «центров тяжести» положительных и отрицательных зарядов в кристалле, небольшого и согласованного смещения ионов из положения, при котором заряды полностью компенсируют друг друга.
Физики из Университета Миссисипи М. Мак-Ферсон, И. Островский и М. Бризил. изучая прохождение коротких импульсов ультразвука сквозь тонкую пластину ниобата лития (LiNbO3) обнаружили новый физический эффект «звуковой памяти» в кристаллах [11].
Неожиданно ученые обнаружили, что еще один ультразвуковой сигнал с той же частотой и фазой излучается кристаллом спустя семьдесят миллисекунд после прохождения основного импульса. Исследование показало, что громкость «эха» зависит от температуры кристалла и частоты ультразвука. Эффект максимален при 26 мегагерцах и исчезает при температуре выше 75 градусов Цельсия, но при более низких температурах он воспроизводился.
Акустическая причуда ниобата лития может быть связана с его весьма необычнымии крайнем полезными электрическими свойствами: при сжатии он создает электрическое поле. Электрические поля изменяют траекторию проходящего через него света. Поэтому вещество используется в оптоволоконных средствах коммуникации и в голографической памяти.
Каждый кристалл ниобата лития состоит из лоскутков так называемых сегнетоэлектрических доменов. Бризиль подозревает, что частота отложенного эхо, создаваемого кристаллом, связана с размером этих доменов, определяющих пригодность материала для различных целей.
Подобно тому, как магнитные материалы «запоминают» магнитное поле, сегнетоэлектрики в определенных условиях могут «запомнить» электрическое поле. Эта особенность широко используется при изготовлении электромагнитных детекторов и других устройств.
По мнению ученых, он тесно связан со свойствами доменов (областей с одинаковой электрической поляризацией) внутри кристалла и объясняется образованием и последующей релаксацией электрических зарядов вблизи границ доменов.
Эффект пока не нашел надежного теоретического объяснения и нуждается в перепроверке, но уже ясно, что его можно с успехом применять для контроля качества пластин ниобата лития.
Представляется, что ниобат лития хранит звуковую энергию временно. Как это происходит, пока не ясно, но исследователи и мы отмечаем, что звуковая волна сжимает вещество, через которое проходит. Это создает в кристалле электрические поля, которое двигает электрически заряженные атомы, которые содержит кристалл. Когда поступление звука извне прекращается, ионы возвращаются обратно, но не все в одном направлении – движение разделено доменами, определяющими границы, на которых направление изменяется.
По закону сохранение энергии при возвращении ионов они выделяют полученную энергию в виде отложенной акустической волны. Это заставляет каждый домен зазвучать. Более сильное эхо связано с частотой резонанса доменов, которая зависит от их размеров.
Предполагается, что величина эха зависит от концентрации доменов и что эффект можно будет использовать для определения качества кристаллов. Какова действительная природа эффекта, еще предстоит выяснить.
Быть может, камни действительно заговорят?
ЗАКЛЮЧЕНИЕ
В настоящей работе сделан обзор и обсуждёна фотовольтаическая, оптическая (фоторефрактивная) и звуковая память в кристаллах ниобата лития. Коэффициенты в кристаллах ниобата лития порядка K = (2—3) ∙ 10—9A∙см∙ (Вт) -1.
Использование в голографической записи в LiNbO3: Fe. дает преимущества. В этом случае запись осуществляется фотовольтаическим эффектом (ФЭ) соответствующей фотовольтаическому току. Генерируемое фотонапряжение в кристаллах LiNbO3: Fe порядка
(103—105) В/см ответствен за оптическую память.
Ниобат лития широко применяется в голографии и запоминающих устройствах благодаря своим прекрасным сегнето- и пьезоэлектрическим свойствам. Подобно тому, как магнитные материалы «запоминают» магнитное поле, сегнетоэлектрик LiNbO3 в определенных условиях могут «запомнить» электрическое поле.
ЛИТЕРАТУРА
1. Рывкин. С. М. Фотоэлектрические явления в полупроводниках. М.: Физматгиз. 1963. 494С.
2. Бьюб Р. Фотопроводимость твердых тел. М.: ИЛ. 1962. 558С.
3. Э.И.Адирович. Фотоэлектрические явления в полупроводниках и оптоэлектроника. Ташкент: Фан. 1972. 343 С.
4. Glass A.M., Voh der Linbe D., Nerren T.J.//High- voltage Bulk Photovoltaic effect and the Photorefractive process in LiNbO3. J. Appl. Phys. Let, 1974. N4. v.25. p.233—236.
5. Фридкин В. М. Фотосегнетоэлектрики. М.: Наука. 1979. С.186—216.
6. В.И.Белиничер. Исследования фотогальванических эффектов в кристаллах. Дисс. на соискание. докт. физ-мат. наук. Новосибирск. 1982. 350С.
7. Леванок А. П., Осипов В. В. Механизмы фоторефрактивного эффекта. // Изв. Ан. Россия, 1977. Т.41. №4. C.752—769.
8. Стурман Б. И., Фридкин В. М. Фотогальванические эффекты в средах без центра инверсии. М.: Наука. 1992. 208 С.
9. Фридкин В. М. //Объемный фотовольтаический эффект в кристаллах без центра симметрии. Кристаллография. 2001. Т.46 №4. С.722—726.
10. Фридкин В. М., Магомадов Р. М. Аномальный фотовольтаический эффект в LiNbO3: Fe в поляризованном свете. //ж. Писма ЖЭТФ. 1979.т30.С.723—726.
11. Энциклопедия. Запись опубликована 27.09.2002 в 00:00 в следующих рубриках: …архив новостей 2002—2007.
ТЕХНИЧЕСКИЕ НАУКИ
ТЕХНОЛОГИЯ ПОЛУЧЕНИЕ И ИССЛЕДОВАНИЕ ПЛЁНОЧНОГО ТЕРМОГЕНЕРАРОРА
УДК 621.362
Юлдашалиев Дилшод Кулдошалиевич
преподаватель кафедры «Профессиональное образование» Ферганского Государственного Университета
Усмонов Якуб
доцент кафедры «Профессиональное образование» Ферганского Государственного Университета
Ахмедов Турсун Ахмедович
доцент кафедры «Профессиональное образование» Ферганского Государственного Университета
Каримов Баходир Хошимович
доцент кафедры «Профессиональное образование» Ферганского Государственного Университета
Ферганский государственный университет, Фергана, Узбекистан
Аннотация. Эффект Зеебека (термо-ЭДС) используется для преобразования тепловой энергии в электрическую. Перенос тепла электрическим током (эффект Пельтье) лежит в основе действия твердотельных охлаждающих и термостатирующих устройств. Термоэлектрические преобразователи энергии обладают уникальными сочетаниями конструктивных и эксплуатационных характеристик, таких, как отсутствие движущихся деталей, рабочих жидкостей и газов, высокая надёжность, возможность эксплуатации в течение нескольких лет без обслуживания или при минимальном периодическом обслуживании и др.
Ключевые слова: термогенератор, термоэлементы, эффект Пельтье, термоэлектрические материалы, плёночный термогенератор, термо-ЭДС, применение плёночного термогенератора.
Annotation. The Seebeck effect (thermo-EMF) is used to convert thermal energy into electrical energy. The transfer of heat by electric current (Peltier effect) underlies the action of solid-state cooling and thermostatic devices. Thermoelectric energy converters have unique combinations of design and operational characteristics, such as the absence of moving parts, working fluids and gases, high reliability, the ability to operate for several years without maintenance or with minimal periodic maintenance, etc.
Keywords: thermogenerator, thermoelements, Peltier effect, thermoelectric materials, film thermogenerator, thermo-EMF, application of film thermogenerator.
Эти достоинства определяют многообразие использования термогенераторов в качестве источников электропитания, главным образом для автономных систем – в космосе, в труднодоступных районах суши и моря и, т. п. Термоэлектрические холодильники и термостаты применяются в приборостроении, ИК-технике, медицине, биологии, бытовой технике. Широк также спектр применения термоэлектрических приборов в измерительной технике, термометрии, пирометрии, электроизмерениях и. т. д.
Многие задачи, которые практика ставит перед разработчиками термоэлектрических устройств, могут быть успешно решены с применением плёночных термогенераторов (ПТГ). Очевидное достоинство ПТГ – возможность принципиально увеличить число элементов при сохранении объема преобразователя, а при необходимости создавать микроминиатюрные устройства. На основе ПТГ могут быть изготовлены малогабаритные источники питания, слаботочные микрохолодильники и термостаты, высокочувствительные и достаточно малоинерционные датчики температуры и теплового потока и т. п. Вакуумная технология существенно упрощает процесс сборки и сокращая длительность изготовления термогенераторов, позволяет сочетать в единой конструкции и изготавливать в едином технологическом цикле элементы и схемы радио – и оптоэлектроники с термоэлектрическими устройствами.
Результаты физических и технологических исследований, конструкторских разработок были достигнуты значительные успехи в области плёночных термоэлектрических преобразователей.
К настоящему времени доказано принципиальная возможность создания ПТГ с энергетическими характеристиками, близкими к объёмных, разработка технология массового их изготовления, создан ряд прибором на их основе. Новые термоэлектрические датчики температуры и лучистого потока обладают на порядок более высокой чувствительностью.
Успехи, достигнутые в создании высокоэффективных ПТГ, несомненно приведут к широкому их техническому применению, что в свою очередь потребует дальнейшего развития физических и технологических исследований, расширения фронта конструкторских разработок. В связи этим является актуальным разработать технологию получения ПТГ и новых конструкторских разработок, также исследовать электро и теплофизические свойств.
Рабочим веществом в современных термоэлектрических преобразователях служат полупроводники, выбор и оптимизация свойств которых базируются на теории, развитой академиком А.Ф.Иоффе. Качество материала характеризуется термоэлектрической эффективностью z = α2 σ/χ, где α – коэффициент термо-ЭДС, σ и χ их – удельные электро и теплопроводности. Чем выше значение безразмерного параметра zT (T- рабочая температура), тем больше КПД термогенератора.
Технология получения плёночного термогенератора основана на термическом испарении полупроводниковых материалов в вакууме или в атмосфере различных газов.
Технологический режим получения плёночного термогенератора зависит от большого числа параметров, таких как температура испарителя и подложки, толщина плёнки, состав и давление остаточных газов в вакуумной камере, условия термической и химической обработки плёнок после напыления. При этом каждому полупроводниковому материалу соответствует свой оптимальный режим и часто небольшие отклонения от него даже по одному из параметров приводят к исчезновению термоэффекта в изготовляемых плёнках. По этому разработка технология получения плёночного термогенератора из того или иного материала требует проведения большой экспериментальной работы, большого количества пробных напыления при последовательном варьировании нескольких технологических параметров, их сочетаний и нахождения параметров, специфичных для получения тармоэффекта на плёнках из данного полупроводникового материала.
Нами разработана технология получения термогенератора с материалов Bi-Sb.
Плёночные термогенераторы получались напылением полупроводникового материала из тигеля в вакууме ~10—5 мм рт. ст. на различные подложки (алюминий, мед, латунь железо, слюда, сапфир и керамика) нагретые от 20—250°С и расположенные под углом 90° по направлению молекулярного пучка.
Разработан оптимальный режим и подобрана подложка для плёночного термогенератора на основе Bi-Sb.
Полученные термогенераторы генерирует 60 мА и 50 мВ при температуре 200—2500 С.
Расширяется фронт конструкторских разработок и исследуется электро и теплофизические свойства полученных термогенераторов на основе Bi-Sb.
Литература
1. Лайнер Д. И. и др. Термоэлектрические свойства полупроводников. – М: АНСССР, 1963.
2. Берченко М.А и др. Электронная обработка материалов. – Кишинев,1975.
3. Набиев МБ., Усмонов Я., Атакулов Ш. Б., Онаркулов К. Э. Легирующая добавка для термоэлектрического материала п – типа тройного сплава В12Те3– В123е3. – Вестник ФерГУ, 2012, вып. №2.
4. ЮлдашалиевД. К, Усмонов. Я, Ахмедов, Б.Х.Каримов. Получение и исследование термоэлектрических материалов под давлением инертного газа для термопреобразователя. Наука и мир. Международный научный журнал, г. Волгоград.№1 (89), 2021,том 1С.30—35.
5. ЮлдашалиевД. К, Усмонов. Я, Ахмедов, Б. Х. Каримов. Исследование физических параметров термоэлектрических материалов Bi2Te3-Sb2Te3.Наука и мир. Международный научный журнал, г. Волгоград.№11 (99), 2021.
6. Каримов Б. Х. Elektronika asoslari. Учебное пособие. – [б.м.]: Научная школа «Электрон», Издательские решения. Ридеро, 2022. – 176 с.
7. Алиев И. Х., Каримов Б. Х. Курс физики ускорителей заряженных частиц. Учебное пособие. – [б.м.]: Научная школа «Электрон», Издательские решения. Ридеро, 2022. – 203 с.
8. Алиев И. Х., Каримов Б. Х., Каримов Ш. Б., Юлдошалиев Д. К. Промышленные и альтернативные аэраторы на основе зелёной энергетики для рыбных водоёмов. Монография. – [б.м.]: Научная школа «Электрон», Издательские решения. Ридеро, 2022. – 221 с.
9. Алиев И. Х., Бурнашев М. А. Ингенциальная математика. Монография. – [б.м.]: Научная школа «Электрон», Издательские решения. Ридеро, 2022. – 149 с.
10. Алиев И. Х., Каримов Б. Х., Каримов Ш. Б., Юлдошалиев Д. К. Развитие технологии аэраторов на основе альтернативных источников энергии. Проект «Электрон». Монография. – [б.м.]: Научная школа «Электрон», Издательские решения. Ридеро, 2022. – 141 с.
11. Алиев И. Х. Программное моделирование явлений ядерных реакций на основе технологии создания множества данных с использованием системы алгоритмов на языке С++. Проект «Ядро-ЭВМ». Монография. – [б.м.]: Научная школа «Электрон», Издательские решения. Ридеро, 2022. – 156 с.



