Моделирование синергетических систем. Метод пропорций и другие математические методы. Монография

- -
- 100%
- +
Глава 2
Приложение дифференциального исчисления для анализа устойчивости систем
К настоящему времени в экономике системные закономерности наиболее подробно рассмотрены в математических моделях экономического роста крупных регионов, например городов, областей, государств (см., например, [7,14]). При этом в качестве переменных величин, как правило, выбирались национальный доход, капитал, средний уровень зарплаты, цены и т. п. Модели таких систем характеризуют результаты согласованного поведения большого количества фирм, входящих в регион. В данной главе будет проведен анализ поведения отдельной фирмы, для которой экономика региона играет роль внешней среды.
Мы рассмотрим фирму, обладающую следующими средними (по региону) показателями: числом сотрудников и величиной оборотного капитала. Главная задача данного раздела – раскрыть важную роль управляющих параметров, которую они играют при выборе системой пути к тому или иному устойчивому состоянию.
Вначале мы построим общую математическую модель поведения средней фирмы. Затем в качестве примера найдем устойчивые состояния предприятия, занимающегося конкретным видом деятельности, например страхованием.
2.1. Анализ устойчивости фирмы, средней (в некотором регионе) по числу сотрудников и оборотному капиталу
(Изложение данного раздела следует работам [26, 28].) Пусть в фирме работает Y1 сотрудников, а ее капитал, выраженный в некоторых условных единицах, равняется Y2. Необходимо определить, возможно ли в такой системе устойчивое состояние и какому типу устойчивости оно соответствует?
Поиск устойчивых стационарных состояний проведем с помощью линейного анализа устойчивости. Для этого воспользуемся его схемой (см. Приложение П2.2).
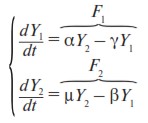
2.1.1. Начнем с составления эволюционного уравнения. Левая часть эволюционного уравнения представляет собой производные первого порядка от величин, принятых в качестве переменных (см. (П6)3). В нашем случае речь идет о Y1 и Y2:


Сформулируем первую главную пропорцию4:
скорость роста числа сотрудников (dY1/dt) пропорциональна числу новых сотрудников минус ту ее часть, которая связана с количеством уволившихся.
При этом количество новых сотрудников пропорционально капиталу фирмы (~Y2, так как в среднем люди предпочитают работать в более богатой фирме), а количество уволившихся составляет некоторую долю от числа имеющихся (~Y1). Заменяя знаки пропорции (~) на коэффициенты пропорциональности, первую главную пропорцию приводим к следующему уравнению:

где α – коэффициент пропорциональности, показывающий, какую часть своего капитала может выделить фирма, чтобы привлечь новых сотрудников; γ – коэффициент пропорциональности, обобщающий в себе различные причины, в результате которых сотрудник может уволиться (или его уволят).
Cформулируем вторую главную пропорцию:
скорость увеличения капитала пропорциональна прибыли от вложения капитала минус расходы на сотрудников.
При этом прибыль от вложения капитала пропорциональна величине вложенного капитала (~Y2), а расходы на сотрудников пропорциональны их количеству (~Y1). Так же заменяя знаки пропорции (~) на коэффициенты пропорциональности, вторую главную пропорцию приводим к уравнению:

где µ – коэффициент пропорциональности, показывающий эффективность работы фирмы на рынке; β – коэффициент пропорциональности, обобщающий в себе среднюю величину затрат фирмы на одного сотрудника.
2.1.2. Эволюционным уравнением задачи является система уравнений (16) и (17), так как она удовлетворяет общему виду (П6) эволюционных уравнений:

Применив к (18) условие (П8), найдем стационарное решение:
Y1ст = Y2ст = 0. (19)
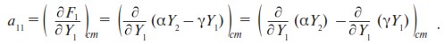
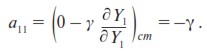
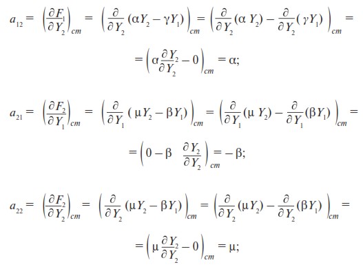
2.1.3. Обратите внимание: наша модель средней фирмы имеет две переменные Y1 и Y2. Следовательно, мы можем воспользоваться результатами Приложения П2.3, полученными для системы, так же с двумя переменными. В частности, чтобы проверить стационарное решение (19) на устойчивость, достаточно определить соотношение знаков у величин B, ∆ и D. Последние вычисляются по формулам (П22). В эти формулы входят четыре коэффициента линейного разложения: a11, a12, a21 и a22. Их мы найдем с помощью (П12), в которой Fi возьмем из системы эволюционных уравнений (18) нашей задачи.
Итак, согласно (П12),

В первом слагаемом берется частная производная по переменной Y1 от выражения αY2, которое, как видим, не содержит Y1, поэтому, согласно правилу вычисления частной производной, это выражение считается постоянным и производная от нее равна нулю. Во втором слагаемом производная берется от выражения γY1, которое считаться постоянным не может, так как содержит Y1. Поэтому дальнейшие вычисления для a11 примут вид

Аналогично рассуждая, находим остальные коэффициенты линейного разложения:

Подставив найденные значения a11, a12, a21, и a22 в (П22), получим

2.1.4. Для средней фирмы коэффициенты α и β должны быть сравнительно большими, так как оба относятся к расходам на сотрудников, а коэффициент µ и γ, наоборот, не должен быть большими потому, что, во-первых (в случае µ), у средней фирмы прибыль от операций на рынке не является слишком высокой, иначе бы фирма была богатой, а не средней; и во-вторых (в случае γ), в цивилизованном обществе в средней фирме текучесть кадров невелика.
С учетом сказанного из формул (20) можно точно определить знаки величин ∆ и D. Действительно,
а) произведение больших коэффициентов α и β заведомо больше, чем произведение малых µ и γ, поэтому∆ > 0;
б) квадрат разности малых µ и γ есть очень маленькая величина, поэтому D < 0.
В отношении же B однозначного ответа нет: и µ, и γ – оба малые. Следовательно, мы приходим к двум возможным ситуациям: µ > γ и µ < γ.
Ситуация 1: µ > γ. Это означает, что коэффициент γ – невелик, и причин для увольнения мало.
В этой ситуации знаки величин из (20) распределятся следующим образом:

Такое сочетание знаков совпадает с (П30). В этом случае стационарное решение (19) соответствует неустойчивому фокусу. Фазовая траектория в координатах Y1 и Y2 представляет собой спираль, раскручивающуюся из начала координат (см. рис. П5).
Раскручивание спирали указывает на рост числа сотрудников Y1 и капитала Y2. Но ввиду разновеликости коэффициентов β и µ (β > µ) наступает момент, когда во втором уравнении системы (18) в правой его части первое слагаемое окажется меньше второго и прирост капитала dY2/dt станет отрицательным. На практике это выглядит так, что по мере роста числа сотрудников наступает момент, когда их становится настолько много, что фирма уже не может достойно (по мнению сотрудников) оплачивать их труд. Сотрудники увольняются. Последнее дает увеличение γ. И тогда фирма оказывается в ситуации 2.
Ситуация 2: µ < γ.
Соответствующее распределение знаков величин из (20) имеет вид

Данное выражение совпадает с (П25). В этом случае стационарное решение (19) является устойчивым фокусом, а фазовая траектория представляет собой спираль, сходящуюся к началу координат (рис. П2). Следовательно, число сотрудников Y1 уменьшается.
Но опять-таки из-за разновеликости β и µ неизбежно наступит момент, когда, начиная с некоторого значения Y1, прирост капитала dY2/dt из (18) окажется положительным. При этом причин для увольнения станет меньше (сотрудников останется настолько мало, что фирма сможет достойно оплачивать их труд). Как следствие, значение коэффициента γ понизится. Это приведет фирму снова к ситуации 1. Затем все повторяется.
2.1.5. На рис. 2 показана «сшивка» эволюционных диаграмм двух описанных ситуаций. Линией с пониженной яркостью обозначены фазовые траектории переменных Y1 и Y2. Огибающие этих траекторий выделены.
Как видно из рисунка, существует пороговое значение числа сотрудников Y1*, при пересечении которого меняется направление движения системы по осям. В точке Y1 = Y1* действия спиралей устойчивого и неустойчивого фокусов взаимно уравновешиваются. Благодаря этому фазовая диаграмма в координатах Y1 и Y2 приобретает вид замкнутой траектории и соответствует устойчивому предельному циклу (см. рис. 19).
Вывод о существовании здесь предельного цикла также следует из применения теоремы Пуанкаре − Бендиксона. Согласно этой теореме, если некоторая полутраектория остается внутри конечной области и не касается каких-либо особых точек, то эта полутраектория является предельным циклом, при этом внутренняя граница области может быть стянута в точку-источник (см., например, [19]). В рассматриваемой задаче неустойчивый фокус выступает в роли источника, а устойчивый фокус ограничивает систему сверху.
Таким образом, фирма с течением времени стремится к устойчивому состоянию, представляющему собой колебания вокруг оптимального числа сотрудников Y1* (рис. 3). Это оптимальное число сотрудников зависит от соотношения величин β и µ − соответственно коэффициента затрат на сотрудников и коэффициента, связанного с прибылью.

Рис. 2.

Рис. 3. Колебания числа сотрудников фирмы вокруг оптимального значения Y1*
2.1.6. Система уравнений (18) была записана в предположении, что коэффициент γ является постоянной величиной. В связи с этим необходимо сделать следующее замечание. Как мы видели, в каждой из описанных ситуаций всегда наступал такой момент времени, когда γ изменялся. Этот факт явно указывает на зависимость данного коэффициента от времени. Однако на практике временной промежуток, в течение которого γ изменяется заметно, оказывается значительно меньше, чем длительность существования фирмы в любой из ситуаций. Поэтому мы имели полное право в пределах отдельной ситуации полагать γ постоянным.
2.1.7. Основанная на линейном анализе устойчивости методика поиска устойчивых состояний является общей для систем, имеющих различную природу. Чтобы подчеркнуть это обстоятельство, в разделе 2.3 рассмотрена задача, в которой так же осуществлен поиск асимптотически устойчивого стационарного состояния (т. е. аттрактора, см. раздел П5.6), но теперь уже в физической системе – генераторе Ван дер Поля. Генератор Ван дер Поля представляет собой колебательную систему с нелинейными свойствами и часто используется в теоретических исследованиях, связанных с электроникой. Как показано в разделе 2.3, в пространстве двух переменных устойчивым стационарным состоянием генератора является предельный цикл.
2.2. Математическая модель устойчивости страховой фирмы
На примере предприятия, занимающегося конкретной деятельностью, мы продемонстрируем возможности линейного анализа устойчивости для математического моделирования экономической системы.
Поставим перед собой задачу определить устойчивые состояния страховой фирмы, а также экономические показатели, от которых зависит устойчивость такой фирмы [5, 30].
Важнейшей целевой функцией любой фирмы является прибыль. Согласно классическому определению, прибыль (Y) представляет собой разность между доходом (D) и расходом (R): Y = D – R. Специфика страховой фирмы проявляется в составляющих ее дохода и расхода. Введем следующие обозначения:
N – количество клиентов;
s – страховой взнос клиента;
p – размер страховой выплаты клиенту;
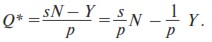
Q* – количество страховых выплат.
Тогда доход фирмы равен sN, а расход – pQ*. В результате приходим к известному уравнению, характеризующему суть страхового бизнеса:
Y = sN – pQ*. (21)
2.2.1. Модель государственной страховой фирмы
Характерной особенностью государственной страховой фирмы является требование всеобщего страхования (например, в рамках конкретного страхового профиля), т. е. N = const.
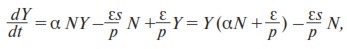
В качестве переменной задачи выберем прибыль страховой компании Y. Сформулируем главную пропорцию: прирост прибыли dY/dt (увеличение прибыли с течением времени t) пропорционален числу клиентов, а также величине самой прибыли, если часть прибыли вкладывается в какие-нибудь доходные предприятия (~ NY). Кроме того, следует отнять ту часть прироста прибыли, которую фирма не дополучила из-за выплат клиентам (~ Q*). Уравнение, соответствующее данной пропорции, примет вид

где знак пропорции ~ мы заменили коэффициентами пропорциональности α и ε.
Выразим Q* из (21)

Подставив это выражение в (22), получим

и окончательно

– эволюционное уравнение государственной страховой фирмы. В (23) введены обозначения: λ = ε/p; δ =εs/p.
Стационарное решение Yст уравнения (23) найдем из условия (П8) (dYст/dt = 0):
0 = Ycт (α N + λ),
откуда

– стационарное значение прибыли в государственной страховой фирме.
Зададим возмущение y для Yст. Поскольку в задаче только одна переменная, а именно Y (прибыль), то закон изменения возмущения с течением времени (П13) запишется в простом виде
y = c exp (ωt).
Характеристическое уравнение (П14) также сильно упрощается:
a11 – ω = 0,
Следовательно, ω = a11 и
y = c exp (a11 t). (24)
где a11 вычисляется по формуле (П12). В этой формуле перейдем к обозначениям без индексов, так для одной переменной в них нет смысла:

где F – правая часть эволюционного уравнения (23). Все величины в (25) положительные (в частности, из (22) видно, что прибыль фирмы будет увеличиваться, т. е. dY/dt > 0, если коэффициент пропорциональности α положителен). Следовательно,
a11 > 0.
Как видим, возмущение y из (24) увеличивается с течением времени. Последнее означает, что Yст является неустойчивым.
Таким образом, в рамках рассмотренной модели стабильное получение прибыли государственной страховой фирмой возможно лишь в сильно консервативном обществе, когда возмущение, создаваемое конкуренцией на рынке, отсутствует.
2.2.2. Модель частной страховой фирмы
Характерной особенностью частной страховой фирмы является зависимость числа клиентов от времени. Следовательно, в этой модели число клиентов N необходимо учитывать в качестве переменной, которую обозначим как Y1. Как и в предыдущем случае, прибыль страховой фирмы является переменной величиной, ее мы обозначим Y2.
2.2.2.1. Главные пропорции частной страховой фирмы можно сформулировать следующим образом.
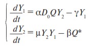
1. Прирост клиентов dY1/dt пропорционален размеру получаемой прибыли Y2 (средний клиент предпочитают иметь дело с более богатой фирмой), среднему в данном регионе доходу клиента D0 и среднему в данном регионе количеству несчастных случаев Q (~Y2D0Q). Отрицательная составляющая пропорции обусловлена теми клиентами, которые по каким-то причинам отказались от услуг фирмы (математически количество таких клиентов составляет некоторую долю от общего числа клиентов, которая статистически тем больше, чем больше у фирмы клиентов), т. е. отрицательная составляющая ~Y1.
2. Прирост прибыли dY2/dt пропорционален числу клиентов Y1, а также той части прибыли Y2, которую фирма вкладывает в доходные предприятия (~Y1Y2). Отрицательная составляющая представляет собой часть прироста прибыли, которую фирма не дополучила из-за выплат клиентам (~Q*).
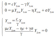
Заменив знак пропорции ~ на коэффициенты пропорциональности α, γ, µ и β, придем к следующей системе двух уравнений

или

где c = αD0Q.
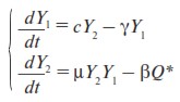
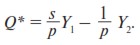
Количество страховых выплат Q* найдем из (21) (напомним, что в данной модели в роли Y выступает Y2, в роли N выступает Y1):

Подставим это выражение в (26)

где введены обозначения σ = β/p; η = βs/p.
Выражение (27) представляет собой систему эволюционных уравнений частной страховой фирмы (сравните с (П6)).
2.2.2.2. Найдем стационарное решение. Для этого к (27) применим условие (П8):

Как видим, второе уравнение дает для Y2ст два значения:

С учетом первого уравнения приходим к двум стационарным решениям (стационарным состояниям фирмы):

2. Y1ст = Y1ст = 0. (29)
2.2.2.3. Чтобы проверить данные стационарные решения на устойчивость, необходимо задать их возмущения. Затем следует проанализировать, как возмущения изменяются с течением времени: если уменьшаются, то состояние устойчиво, если увеличиваются, то неустойчиво.
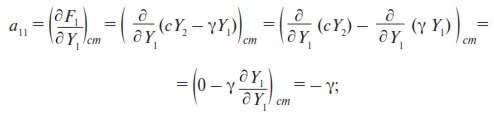
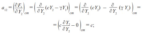
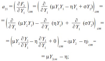
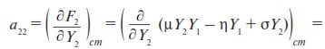
Учтем, что наша модель содержит две переменные Y1 и Y2. Благодаря этому процесс выяснения устойчивости упрощается. Мы можем воспользоваться результатами Приложения П2.3, полученными для системы с двумя переменными. В частности, чтобы проверить стационарные решения (28) и (29) на устойчивость, достаточно определить соотношение знаков у величин B, ∆ и D. Последние вычисляются по формулам (П22). В эти формулы входят четыре коэффициента линейного разложения: a11, a12, a21 и а22. Их мы найдем с помощью (П12), в которой Fi возьмем из системы эволюционных уравнений (27) нашей задачи.
Согласно (П12),





1. Вначале проверим на устойчивость решение (28). Для этого его следует подставить в полученные выше выражения для а21 и а22. В результате найдем

По формулам (П22) вычислим B, ∆ и D:

Чтобы определить их знаки, проведем сравнительную оценку величин коэффициентов γ, σ, η и с.
Коэффициент γ характеризует долю клиентов, решивших расторгнуть страховые отношения с данной фирмой (см. формулировку первой главной пропорции в 2.2.2.1). Если фирма не банкрот, то γ должна быть малой величиной.
Напомним, что σ = β/p, при этом p – размер страховой выплаты клиенту, т. е. большая величина. Поэтому мы полагаем σ малой величиной.
Так как η = s β/p, т. е. в s раз больше, чем σ, то η полагаем сравнительно большой величиной (напомним, что s >>1).
Величина c также должна быть большой, так как этот коэффициент пропорционален доходу D0 (D0 > 1) и количеству несчастных случаев Q за некоторый период (Q >> 1).
В результате получаем следующее распределение знаков:
B > 0; ∆ < 0; D > 0.
Такое сочетание знаков совпадает с (П32). В этом случае стационарное решение (28) соответствует седловой неустойчивости.
Таким образом, решение (28) является неустойчивым.
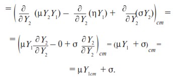
2. Проверим на устойчивость стационарное состояние (29). Для этого его стационарные значения Y1ст и Y2ст подставим в (32) и (33). В результате с учетом (30) и (31) найдем:
a11 = – γ; a12 = c;
a21 = µY2ст – η = 0 – η = – η;
a22 = µY1ст + σ = 0 + σ = σ.
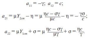
По формулам (П22) вычислим B, ∆ и D:
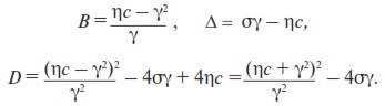
B = σ – γ, ∆ = ηc – σγ, D = (σ + γ)2 – 4ηc.
Выше мы уже установили, что γ и σ меньше, чем η и с. Это позволяет нам определить знаки только величин ∆ и D: ∆ > 0; D < 0. Для B возникают две ситуации.
Ситуация 1: σ > γ. В этой ситуации большинство клиентов сохраняют верность фирме (γ уменьшается). При этом распределение знаков имеет вид
B > 0; ∆ < 0; D > 0.
Последнее совпадает с (П30), т. е. в данном случае решение (29) соответствует неустойчивому фокусу (см. рис. П5). Расширяющаяся спираль указывает на рост значений переменных Y1 и Y2 (числа клиентов и прибыли).
Ситуация 2: σ < γ. Эта ситуация возникает, если фирма по каким-либо причинам теряет часть клиентов (γ увеличивается). Распределение знаков имеет вид
B < 0; ∆ < 0; D > 0.
Данное сочетание знаков совпадает с (П25), т. е. в данном случае решение (29) соответствует устойчивому фокусу (см. рис. П2). Сжимающаяся спираль указывает на уменьшение числа клиентов Y1 и прибыли Y2.
На практике механизм перехода фирмы из одной ситуации в другую может выглядеть следующим образом.
В ситуации 1 благодаря состоянию «неустойчивый фокус» (расширяющаяся спираль в пространстве координат Y1 и Y2) происходит рост числа клиентов и прибыли. По мере роста числа клиентов увеличивается и число страховых выплат. Наступает момент, когда клиентов становится настолько много, что их взносы не покрывают убыток от страховых выплат. В этом случае фирма вынуждена уменьшить, например, размер страховой премии. Из-за этого часть клиентов уходит из данной фирмы (γ увеличивается). В результате фирма оказывается в ситуации 2. Этой ситуации соответствует состояние «устойчивый фокус» (сжимающаяся спираль в пространстве координат Y1 и Y2). В таком состоянии число клиентов уменьшается до тех пор, пока прибыль фирмы не позволит вернуться к прежней повышенной страховой премии. В этом случае клиенты перестанут уходить из фирмы, что соответствует уменьшению γ. В результате фирма переходит в ситуацию 1, и т. д.





