Probabilistic Economic Theory

- -
- 100%
- +
1. Foundations of Classical Economy
The logic of the present Section is the following. With the understanding that, pursuing own various well-defined goals, the market agents behave to some extent in a deterministic way, in this Chapter we are going to outline the adequate and approximate equations of motion for the economy. In order to design a physical model and derive classical equations of motion for economic systems in the price space ab initio, that is with the five general principles of physical economics in mind, we first make similar approximations and assumptions needed to derive the equations of motion for physical systems. This can be found in the course of theoretical physics by Landau and Lifshitz [1, 2]. In this way we derive equations of motion for economic systems, which are similar to equations for physical systems in form, and are considered by us as an initial approximation for a physical economic model of the modelled economic system.
According to the above-stated plan of actions we could confine ourselves in this Chapter to just writing equations of motion analogous to those obtained in classical mechanics. However, we consider it useful to derive a full row of equations and to make additional comments on our actions. As we have indicated before, according to our approach to classical modeling of economic systems, every economic agent, homo negotians, acts not only rationally in his or her own interests, but also reasonably. They negotiate to reach a minimum price for the buyer and a maximum price for the seller, but also leave their counteragent a chance to gain profit from transactions or to achieve some other goals, economic or noneconomic in nature. Otherwise, transactions would take place only once, while all agents would prefer the continuation and stability of their business.
Besides, we presume that external forces are usually inclined to influence market operations positively, establishing common rules of play that favor gaining maximum profit, utility, trade volume, or something else for the whole economic system. Based on these assumptions, we have a firm belief that there are certain principles of optimization, and their effects on market agents result in certain rules of market behavior and certain equations of motion that are followed by all rational or reasonable players spontaneously or voluntarily. In our opinion, it is they who have the leading role in the market.
Concluding, let us repeat that we will derive below the economic Lagrange equations of motion by recognizing inexplicitly the following five general principles of physical economics:
1. The Cooperation-Oriented Agent Principle.
2. The Institutional and Environmental Principle.
3. The Dynamic and Evolutionary Principle.
4. The Market-Based Trade Maximization Principle.
5. The Uncertainty and Probability Principle.
It is evident that the uncertainty and probability effects begin to play significant role in classical economies only for the markets with huge numbers of agents. We do not concern ourselves with these effects within the framework of classical economy because it is much easier to study these problems within the framework of quantum economy (see next two chapters).
2. The Economic Lagrange Equations
Let us proceed to deriving equations of motion for the classical economy shown schematically in Fig. 1. We follow the same procedure as in classical mechanics [1]. To make calculations easier, we will consider here the one-good market economy, that is, only movement in one-dimensional price space with one coordinate P. Transition to a multi-dimensional case does not cause principal complications. We will consider that by the analogy with classical mechanics [1], a state of economy comprising of N buyers and M sellers and being under the influence of the environment is fully described by establishing all prices pi and their first time t derivatives (price changing rate or velocity of movement)


By analogy with classical mechanics we assume that these equations result from the following principle of maximization (the principle of least action or the principle of stationary action in mechanics). Namely, the action S must have the least possible value:



Fig. 1. Graphical model of an economy in the multi-dimensional PQ-space. It is displayed schematically in the conventional rectangular multi-dimensional coordinate system [P, Q] where P and Q designate all the agent price and quantity coordinate axes, respectively. Our model economy consists of the market and the external environment. The market consists of buyers (small dots) and sellers (big dots) covered by the conventional sphere. Very many people, institutions, as well as natural and other factors can represent the external environment (cross – hatched area behind the sphere) of the market which exerts perturbations on market agents, pictured here by arrows pointing from environment to market.
The obtained (1) and (2) lead to equations of motion or Lagrange equations [1]:

Equations of motion represent a system of second-order N + M differential equations of time t for N + M unknown required trajectories pi(t).
These equations employ as yet an unknown Lagrange function or Lagrangian L (p, ṗ, t) which is to be found on the basis of research or experimental data. We will note that Lagrange functions were used in literature to solve a number of optimization problems of management science [3]. Let us emphasize that determination of the Lagrange function is the key problem that can only be solved in practice by making the data of theoretical calculation fit the experiment. It can not be done using theoretical methods only. But what we can do quickly is to make the first obvious trial step. Here we assume that to a certain degree of approximation, the Lagrange function resembles (in appearance only!) the Lagrange function of its physical prototype, a system of N+M point material particles with certain potentials. All assumptions made here can be thoroughly analyzed later at the second stage of investigation and left unchanged or made more accurate after comparison with the experimental data. Accomplishment of this stage will naturally require great effort and expense. For now, we will accept these assumptions and consider that Lagrange functions have the same form as those of their physical prototype, but all parameters and potentials of the economic system will be chosen on the basis of economic experience, not taken from the physical prototype. We consider that by adjusting parameters and potentials to the experiment we can smooth out the negative influence of assumptions made for solutions of equations of motion obtained in this particular way.
So, according to our approach, equations of motion in classical economy are nominally identical to those in the corresponding mechanical system. However, their constants and potentials will have another essence, other dimensions and other values. A great advantage of classical economies consists of the fact that mathematical solutions of these equations, analytical or numerical, have been found for a great number of Lagrange functions with different potentials. That is why it is of great help to apply them. Allow us to turn to relatively simple classical economies.
Let us consider a case of the classical economy with a single good, a single buyer, and a single seller, where environmental influence and interaction between a buyer and a seller can be described with the help of potentials. The Lagrangian of such an economy has the following form:

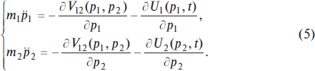
In (4) m1 and m2 are certain unknown constant values or parameters of economic agents who are the buyer and the seller respectively. The first two members of equation (4) in classical mechanics correspond to kinetic energy, and the remaining three to potential energy. Understanding the conventional character of these notions, we will use them for economy as well. Potential V12 (p1, p2) describes interaction between the buyer and the seller (it is unknown a priori), and potentials U1(p1, t) and U2(p2, t) are designed to describe environmental influence on economy. They are to be chosen with respect to experimental data according to the dynamics of the modeled economy. Lagrange equations have the following form for this type of Lagrangian:

This system of two differential second-order equations of time t represents equations of motion for a selected classical economy. According to their form they are identical to the equations of motion of the physical prototype in physical space. In the latter system (5), the second Newton’s law of classical mechanics is designated: “product of mass by acceleration equals force”. And quite another matter is that potentials can be significantly different from the corresponding potentials in the physical system. We should mention once again that these potentials are to be discovered for different economies by detailed comparison of results of computation of equations of motion of economies with experimental or research data, or in other words, with data of empirical economics. At the initial stage it is natural to try to use known forms of potentials from physical theories, and we are going to do that in future. Let us note that the purchase-sale deal or transaction in the market between the buyer and the seller will take place at the time tE when their trajectories p1(tE) and p2(tE) intersect: p1(tE) = p2(tE) = pE, as it is shown in Figs. 2, 3 for the model grain market. The equilibrium value of price, pE, is indeed then the real price of the good or commodity in the market, what we refer to as the market price of the good. See formulas, figures and discussions for classical economies in Chapter I.
It is interesting that a number of some common features of classical economy with equations of motion (5) are common for almost all constants mi and potentials V12 and Ui. Let us consider a case where external potentials Ui (pi) do not depend on time and represent potentials of attraction with high potential walls at the origin of coordinates that prevent economy from moving towards the negative price region. Further potential V12 depends only on the module of price differences of the buyer and the seller p12=|p2 – p1|, namely,

Fig. 2. The trajectory diagram showing dynamics of the classical one-good, two-agent market economy in the price-time coordinate system.

Fig. 3. Dynamics of the classical one-good, two-agent market economy in the price-quantity space, where quantity of the good traded, q, is constant. The economy is moving really in the price space.
We assume that potential V12 describes the attraction between the buyer and the seller and has its minimum at the point p012. Then the solution of equations of motion describes movement or evolution of the entire economy as follows: the center of inertia of the whole system, introduced to theory by analogy with the center of inertia of the physical prototype, moves at a constant rate Ṗ, and the internal movement, i.e., of buyers and sellers relative to each other, represents an oscillation, usually anharmonic, around the point of equilibrium p012. This conclusion is trivially generalized for the case of an arbitrary number of buyers and sellers.
So we get classical economy with the following features:
1. Movement of the center of inertia at a constant rate signifies that if at some point of time a general price growth rate were Ṗ, then this growth will continue at the same rate. In other words, this type of economy implies that prices increase at a constant rate of inflation (or rate of inflation is constant).
2. Internal dynamics of economy means that economy is oscillating near the point of equilibrium. In this case, economy is found in the equilibrium state only within an insignificant period of time, just as a mechanical pendulum is, at its lowest point, in an equilibrium state for a short period of time. Moreover, rates of changes in the relative prices of sellers and buyers are maximal at the point of equilibrium, just as for the pendulum the rate of movement is also maximal at the point of equilibrium. According to our view, oscillations of economy relative to the point of equilibrium p012 represent nothing but the economy’s own business cycles, with a certain period of oscillation that is determined by solving equations of motion with specified mass mi and potential V12. These results correlate to the Walrasian cobweb model which is well known in neoclassical economics.
It is obvious that in the broad sense of the word, classical economy is the new quantitative method of describing the market economies, in which the first priority role in the establishment of market prices play the straight negotiations of buyers and sellers as to parameters of transactions. It is clear that this price formation is not intrinsic to the huge markets of contemporary economies, but is unique to the relatively small markets for the initial period of the formation of valuable market relations and corresponding markets in the distant past, when markets were small, undeveloped and by the sufficiently slow, i.e., in which the transactions were accomplished after lengthy negotiations.
3. Conclusions
In this Chapter we developed classical economies and derived the corresponding equations of motion, namely the economic Lagrange equations in the price space. Intuitively, we suppose that the applied least action principle can be treated to some extent as the market-based trade maximization principle. The relationship between these two principles becomes more clear within the framework of quantum economy (see the following Chapters). The extension of the method for the price-quantity space is straightforward therefore we will not do it here (respective formulas, figures and discussions can be found in Chapter I). Conceptually, we can regard Lagrangian as the mathematical classical representation of the market invisible hand concept. Note that, according to the institutional and environmental principle, Lagrangian include not only inter-agent interactions but also the influences of the state and other external factors on the market agents. Therefore, figuratively, we can say that the market invisible hand puts into practice simultaneously plans and decisions of both the market agents and the state, other institutions etc. As is seen from the above shown example, physical classical models or simply classical economies deserve thorough investigation, as they happen to become an efficient tool of theoretical economics. However, there are reasons to believe that quantum models where the uncertainty and probability principle is used for description of companies’ and people’s behavior in the market are more adequate physical models of real economic systems. Recall that probability concept was first introduced into economic theory by one of the founders of quantum mechanics, J. von Neumann, in the 40s of the XX-th century [4].
References
1. L.D. Landau, E.M. Lifshitz. Theoretical Physics, Vol. 1. Mechanics. Moscow, Fizmatlit, 2002.
2. L.D. Landau, E.M. Lifshitz. Theoretical Physics, Vol. 3. Quantum Mechanics. Nonrelativistic Theory. Moscow, Fizmatlit, 2002.
3. M. Intriligator. Mathematical Methods of Optimization and Economic Theory. Moscow, Airis-press, 2002.
4. J. von Neumann and O. Morgenstern. Theory of Games and Economic Behavior. Princeton University Press, 1944.
CHAPTER IV. Functions of Supply and Demand
“Economics is not about things and tangible material objects; it is about men, their meanings and actions. Goods, commodities, and wealth and all the other notions of conduct are not elements of nature; they are elements of human meaning and conduct. He who wants to deal with them must not look at the external world; he must search for them in the meaning of acting men”.
Ludwig von Mises. Human Action. A Treatise on Economics. Page 92PREVIEW. What are Functions of Supply and Demand?
In the present Chapter the notion of supply and demand functions in the market, traditional to economics, is exposed to critical rethinking from the point of view of the uncertainty and probability principle. The Stationary Probability Model in the Price Space is developed for the description of behavior of a seller and a buyer in the price space of a one-good market in an economy being in a normal stationary state. Within the framework of the model, the terms supply and demand have changed their meaning; a new definition of the seller’s supply and the buyer’s demand functions is given. These functions are probabilistic in nature and they are normalized to their total supply and demand expressed in monetary units. In other words, they are the seller’s and buyer’s probability distributions in making a purchase/sale transaction in the market for a certain sum of money, respectively. Further, with the help of the proposed additivity and multiplicativity formulas for supply and demand, the Stationary Probability Model in the Price Space is extended to economies having many goods and many agents in the price space. With this strategy the probabilistic supply and demand functions of the whole market are constructed. As a main result of the work, we have laid the groundwork for probability economics. It is defined as a new quantitative method for description, analysis, and investigation of the model as well as real economies and markets.
1. The Neoclassical Model of Supply and Demand
An old joke in a well-known economics textbook says that creating an economist is as simple as teaching a parrot to pronounce words “supply” and “demand” (S&D below). My former managerial economics lecturer shared his own humor on this subject: If one understands the theory of S&D elasticity, you‘ve got yourself a new economics professor! These jokes reflect an important role which is played in economics by the S&D concept, the formal realization of which we will call the traditional neoclassical model of S&D. Below we will give the most widespread version of the description of this model from the textbook [1]. To start with, we will see how economics defines the demand of each individual buyer [1]. It is possible to present demand in the form of a scale or a curve showing quantity q of a product that a consumer desires, is able to buy at each given prices p, and at a certain period of time. Further, the radical property of demand consists of the following: at an invariance of all other parameters (ceteris paribus), reduction of price leads to the corresponding increase of the quantity demanded. And, ceteris paribus, the inverse is also true; an increase in price leads to the corresponding reduction of the quantity demanded. In short, there is an inverse relationship between the price p and the quantity q demanded. Economists call this inverse relationship the law of demand.
The simplest explanation of the law of demand: a high price discourages the consumer to buy, and a low price strengthens their desire to buy. The additivity rule is used to obtain the demand function of the whole market, i.e., all individual demand functions are simply summarized for obtaining the market demand function D(p). The graph of the traditional demand function for a grain market is displayed in the Cartesian (P, Q)-plane in Fig. 1.
This example is intentionally taken from the textbook [1] where it has number 3–1. In order to avoid misunderstanding, we will make some remarks concerning this and all other drawings in this work. First, unlike the textbook [1], we plot price p on the horizontal axis P and quantity q on the vertical axis Q in the Cartesian (P, Q)-plane because price is an independent variable in all our theoretical constructions and conclusions. In exact sciences, an independent variable can only be plotted on the horizontal axis. Second, we measure quantity of grain in metric tons (ton) per a year (ton/year), and the price in American dollars ($) per ton ($/ton).

Fig. 1. Graph of the traditional neoclassical demand function D(p) for the model market of grain [1].
Thus, according to the textbook [1], demand is simply the plan or intention of a buyer concerning product purchase which is expressed in the form of tables (or curves). We will discuss in detail later how adequately such tables and curves can reflect the behavior of buyers in the market, and we will now make some remarks concerning the form of representation of buyer’s intentions in the given model.
First, the law of demand itself follows from neither an experiment, nor a theory; it is a statement as a whole which is consistent with common sense and elementary conclusions from real life. However, all of these conclusions are the result of observations of the behavior of real market prices and demand in the day-to-day activities of markets. In the market we only concern ourselves with real prices, real transactions, and the real sizes of these transactions. Sometimes, attention is given to total demand, but not at all to market demand functions or tables. Therefore, direct transfer of this empirical law on a quite abstract, uncertain and obscure demand function of an individual buyer is unnecessary.
In other words, the law of demand means the reflection of real market processes connected with continuous changes of S&D in the market over time. The traditional demand function is an attempt to describe a situation in the market where nothing changes. It is not a dispute about how correct or incorrect a traditional agent’s demand function is. Instead, we can say that there is no basis on which to consider this model, reasonably, logically, or empirically. In principle, it is impossible to deduce a traditional agent’s demand function from the data concerning the whole market. And there is no convincing empirical data, testifying that a buyer’s behavior in the market is reflected by such a downward-sloping demand curve in the interval of all possible prices from zero to infinity. To understand our logic, the reader can try to draw on paper a demand curve of a buyer who wants to buy a new Mercedes car at a price of 100 000 $/car, or to buy shares at the stock-exchange for 100 000 $. We are sure that he or she will meet obstacles and recognize that there is something wrong with the traditional model. Moreover, logically it is impossible to construct a traditional function of the whole market making use of empirical data for the same reasons as that for functions of an individual agent. We will concern ourselves with this question once again in the end of Chapter.



