Управление репутацией: пошаговое руководство

- -
- 100%
- +
Метрики (измеряются в сравнении с конкурентами):
• Количество сообщений, где компания играет главную роль.
• Индекс заметности.
• Охват.
• Упоминания в нужном контексте.
• Индекс прямой речи.
Цель 6: Маркетологу или пиарщику получить премию
Самый спорный, но порой востребованный запрос. Чтобы получить премию, не всегда достаточно иметь высокий охват, нужно выполнять поручения руководства. Например, ваш шеф мечтает попасть на страницы Forbes/ Harvard Business Review/ еженедельника «Охота и рыбалка». Публикация в Forbes может быть менее эффективной, чем 20 комментариев в популярных отраслевых СМИ, но поручение есть поручение.
Метрика: После работы со СМИ нужно отследить появление статьи. Для этого настраиваем мониторинг по ключевым словам.
Считаем убытки от негатива в интернете
Среди всех методов оценки репутации стоит отдельно выделить оценку стоимости негативных публикаций. Как правило, негатив в интернете – это недополученная прибыль для бизнеса. В особо серьёзных случаях она может исчисляться миллионами, если вовремя не принять меры и не погасить скандал в самом начале. Не стоит недооценивать или переоценивать негатив – нужно конвертировать его в рубли. Одно можно сказать точно – если на первой позиции стоит негатив о вас и вашей фирме, то вы определённо теряете выручку и клиентов.
Важный негатив от малозначительного различается по количеству трафика, проходящего через него. Поэтому обязательно оценивайте охват негатива. Когда вы видите негатив о вашей компании, вас должен волновать не смысл написанного, а потенциальный охват. Задайте себе вопросы:
• Сколько человек в день видят это?• Сколько человек будут видеть это через месяц?Бывает так, что автор создал одну негативную площадку с одним негативным постом. Пиарщик годами пытается его удалить, потому что владелец компании помнит об этом негативе, про который все давно забыли. Научитесь холодно оценивать негатив. Конечно, неприятно, когда пишут гадости, но в первую очередь думайте о том, сколько денег из-за негатива вы теряете.
Посчитать репутационные потери от конкретного негатива в топ-10 вполне реально, пусть и с погрешностью 20%. Точность будет зависеть от используемых методик анализа.
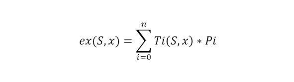
Методика №1. Индекс репутации компании в поисковых системах – Ex
Позволяет посмотреть на изменение репутации в динамике, то есть после запуска и во время реализации SERM-кампании. Ex может иметь значение от минус 100% до плюс 100%, с его помощью можно определить, какое впечатление о бренде получит случайный пользователь, столкнувшийся с вашей организацией в сети.
Как рассчитывается индекс
В первую очередь необходимо провести мониторинг упоминаний в наиболее популярных в России поисковых системах – Яндекс, Google и Mail.ru. Введите в поисковую строку каждого поисковика запросы «услуга + отзывы», «название бренда + отзывы» и другие ключевые запросы из сформированного ранее списка брендовых запросов. Справа от выдачи в Яндексе вы увидите количество запросов ваших потенциальных клиентов. Например:
Нашлось 9 млн результатов
48 тыс. показов в месяц
По результатам опроса поисковиков составьте таблицу тональности результатов поисковой выдачи:

Формула расчёта тональности страницы:
T = (r+ – r-) /r*100%
Далее определяется индекс репутации Ex поискового запроса «x» для каждой поисковой системы:

P – вероятность перехода пользователя по результату в поисковой выдаче. Значение зависит от места в топе (см. таблицу).

Вероятность перехода для позиций в топ-10 Яндекса9
Затем по первой нижеприведённой формуле подсчитайте индекс для каждой поисковой системы. По второй формуле определите индекс в целом для всех поисковиков:

Регулярный мониторинг Ex позволяет проверить эффективность SERM-кампании, скорректировать её при необходимости, отметить рост упоминаний и других показателей.
Методика №2. Более простой способ оценки репутации
Составьте таблицу с результатами поисковой выдачи по ключевым запросам. Разметьте таблицу цветом в зависимости от тональности:
• Красный – негатив
• Зелёный – позитив либо ваш подконтрольный сайт
• Синий – нейтральный контент с рисками (напр., отзовик)
• Серый – нерелевантный контент
Посчитайте, сколько трафика получают негативные сайты. Это можно сделать, забив тот же ключ в Яндекс Wordstat – так вы узнаете общее количество запросов. Затем общее количество запросов распределяется по данным о кликабельности позиций в Яндексе (см. таблицу выше).
Умножаем данные из Wordstat на процент переходов для каждой позиции в топ-10 Яндекса. Суммируем негатив и получаем количество клиентов, потерянных из-за негатива в сети ежемесячно. Умножьте каждого пользователя на стоимость привлечения одного клиента – эти данные должны быть у маркетологов. Сложите с произведением количества потенциальных клиентов и средней прибыли от одного клиента. Получаем потенциальный убыток от негатива в сети.
Не забывайте, что это только данные по Яндексу. Поэтому полученную цифру можно смело умножать на 2, так как доля Google в предпочтениях российских пользователей примерно равна доли Яндекса.

Заполните таблицу.
По самому важному ключевому запросу сделайте мониторинг выдачи топ-10 Яндекса и Google. Не забудьте включить анонимный режим в вашем браузере. В Chrome и Opera это сочетание клавиш CTRL+SHIFT+N. В Mozilla Firefox – приватное окно в настройках. Укажите в Яндексе ваш регион.
Каждую позицию отметьте цветом: позитив (зелёный), негатив (красный), нейтральная тональность (синий), нерелевантный контент (серый). Смотрите только ту страницу, на которую переходите. Не просматривайте сайт целиком (так поступают только 7% пользователей).
На сайте Яндекс. Wordstat посмотрите частоту упоминания запроса, который вы выбрали. Умножьте это число на значение в колонке CTR и сложите показатели строчек, отмеченных красным цветом. Так вы узнаете, сколько людей ежемесячно просматривают негатив про вас.
Это очень приблизительный подсчёт, но из него понятен порядок стоимости вашей репутации10. Иногда сумма получается незначительная. В таком случае управление репутацией не так актуально, как скрытый маркетинг. Но помните, что 10—30 запросов о вашей компании в месяц могут исходить от ваших ключевых партнёров или инвесторов. Это чаще всего касается политиков, топ-менеджеров или известных персон.
Этап 4. Формируем программу управления репутацией
После того, как вы обнаружили все доступные упоминания о вас и компании, оценили их влияние на вашу репутацию, вы поняли, как выглядите в глазах ваших ЦА.
Теперь вы знаете:
• Скольких потенциальных клиентов интересует ваша репутация.
• На каких площадках чаще всего о вас пишут отзывы.
• Каково сложившееся мнение ЦА о работе вашей компании и о вашей продукции.
• Какой эмоциональный окрас несут отзывы – положительный, отрицательный, нейтральный – и почему. От этого зависит стратегия дальнейших действий.
• Какие основные проблемы компании/продукта выделяют ваши клиенты.
Следующий шаг – подвести итог аудита репутации: составить программу дальнейших действий. Так вы перейдёте к практической части управления репутацией.
В зависимости от частоты появления упоминаний вы будете знать, с какой интенсивностью нужно проводить регулярный мониторинг и какие инструменты для этого понадобятся.
По каждому выявленному факту негатива составьте перечень мер реагирования. Вы можете:
• связаться с автором
• ответить на негатив
• попытаться удалить негатив или вытеснить его из топ-10
• принять решение об изменении бизнес-процессов.
Постарайтесь выявить потенциальные источники негатива, которым следует уделять повышенное внимание. Это могут быть сайты или форумы, на которых обсуждают ваш продукт, а может быть хейтер, регулярно пишущий негатив о вашей компании. Поставьте эти площадки на регулярный мониторинг и в будущем постарайтесь предельно оперативно реагировать на появляющийся там негатив.
Не забывайте про размещённый в сети позитив о вас. Определите «островки лояльности», где вы можете рассчитывать на поддержку аудитории. В дальнейшем постарайтесь сделать акцент на этом позитиве с помощью SEO, ссылок в соцсетях и других способов привлечения внимания аудитории.
В зависимости от направления вашего бизнеса и особенностей тематики сформируйте список площадок для размещения информации. Это могут быть СМИ, каталоги, паблики или агрегаторы.
Составьте перечень тем и график «посева» информации о вас (контент-план). Укажите в нём:
• тезисы
• даты публикации
• площадки, на которых будет размещаться информация.
Очень важно, чтобы ваши тезисы отвечали запросам ваших ЦА. Проверьте, все ли запросы ваших ЦА вы отразили в перечне тезисов. Планируйте равномерное размещение тезисов по разным площадкам, чтобы не возникло перекоса в темах.
Составьте перечень технических шагов, которые нужно провести перед началом практических мероприятий по управлению репутацией. В этот перечень необходимо включить:
• формирование пула площадок для публикации
• регистрацию официальных и вспомогательных аккаунтов на этих площадках
• наполнение публичных профилей базовой информацией (описание, аватары, контактные данные, ссылки)
• переговоры с форумами о взятии под контроль определённых веток обсуждений или об удалении отзывов и т. д.
Программа управления репутацией не имеет общего шаблона и зависит исключительно от вашей цели и сложившейся ситуации. Одним компаниям нужно поработать с отзывами, другим – нарастить присутствие в СМИ, третьим – вытеснить негатив из поисковой выдачи. Эти и другие вопросы практики управления репутацией мы рассмотрим в дальнейших главах.
Глава 3. Зачем нужен мониторинг, как его настроить и использовать?
• Что можно выяснить в результате мониторинга?
• Как правильно настроить мониторинг?
• Как оптимально подобрать бесплатные и платные инструменты для автоматизации мониторинга?
Буквально до недавнего времени настроениями людей во всём мире управляли СМИ. Сейчас мы вступили в новую эпоху – на смену традиционным медиа пришли блогеры и комментаторы. Мы должны воспринимать каждого пользователя интернета и социальных сетей как средство массовой информации со своей уникальной аудиторией – друзьями и подписчиками. Благодаря аудиторному весу конфликтные ситуации или значимые комментарии не остаются без внимания общественности. Голос любого обиженного может быть мгновенно растиражирован блогером с миллионом подписчиков – для этого ему достаточно одного клика «репост».
В критической ситуации (или при грамотной организации процесса) информация распространяется в интернете в считанные часы, а подчас – и минуты. Для бизнеса именно скорость распространения информации всё чаще чревата неопределённостями, которые превращаются в риски. А риски реализуются настолько быстро, что даже радикальные меры не помогут компаниям остановить потери репутации, прибыли, своей доли рынка, а также утрату потребительских предпочтений и других факторов успешного бизнеса.
Чтобы исключить неожиданности и заблаговременно обнаружить зачатки кризисных явлений, у бизнеса есть только один путь – постоянный мониторинг стратегически важной информации.
Мониторинг – это систематический сбор и обработка информации, которая может быть использована для:
• принятия управленческих решений или для разработки стратегии бизнеса
• получения обратной связи о том, как целевые аудитории оценивают предпринятые компанией шаги
• оценки того, как общественность воспринимает работу компании.
Для бизнеса мониторинг выполняет одну (или несколько) из следующих задач:
• Выявляет состояние критических или находящихся в состоянии изменения явлений, требующих реакции со стороны бизнеса. Прежде всего, это мониторинг уровня клиентского сервиса, а также наблюдение за действиями властей.
• Выстраивает отношения бизнеса с окружением, обеспечивает получение обратной связи в отношении ранее предпринятых бизнесом шагов. Таким образом компания узнаёт, как целевые аудитории относятся к её инициативам.
• Устанавливает соответствие правилам и контрактным обязательствам. За это направление отвечают: мониторинг действий поставщиков, высказываний сотрудников компании о ней, выявление информации о противоправных действиях в отношении компании.
В ходе мониторинга исследуются:
• публикации СМИ, блогов, форумов и соцсетей• комментарии к ним• видео- и аудиоматериалы• официальные документы и их проекты.Мониторинг направлен на заблаговременное предупреждение рисков. Он используется для того, чтобы компания как можно раньше была готова к изменениям на рынке и не допустила наступления кризиса в своём развитии.
В результате мониторинга можно:
1. Узнать о том, что пишут ваши клиенты о работе компании
Клиенты неспроста пишут негативные комментарии о компании на форумах, отзовиках и в соцсетях. Значит, что-то пошло не так и где-то есть сбой в работе. Чтобы потенциальные покупатели не убегали от вас, обратите внимание на отзывы и исправьте ситуацию. Тем самым мониторинг позволяет выявить слабые места в работе и скорректировать бизнес-процессы. Правильно настроенный мониторинг подчас даёт не меньше информации, чем дорогостоящее маркетинговое исследование. Мониторинг общедоступных сообщений о деятельности компании и её руководства служит для предупреждения внешних и внутренних репутационных угроз и своевременного реагирования на них.
Также с помощью мониторинга компания может выявить:
• информацию об аудитории товара или услуги
• мнение аудитории о работе компании
• недостатки сервисного обслуживания
• попытки конкурентов очернить вас в глазах клиентов.
2. Разведать информацию о конкурентах
Чтобы не потерять, а увеличить свою долю на рынке, компания должна быть готова к тем шагам, которые предпримут конкуренты. Вы с конкурентом делите одну нишу рынка и одних и тех же клиентов. Если у него появится новая услуга, не отставайте и тоже расширяйте свой бизнес. А если конкурент потерпел провал, его пример даст вам возможность избежать таких же ошибок. Ваша задача – максимально оперативно отследить эти ошибки.
3. Учесть интересы рынка и быть в тренде
Из социальных медиа можно узнать тренды сезона и последние новости. Если не следить за ними, то есть вероятность стать последним в гонке за клиентами.
Любому изменению могут предшествовать разные сигналы. Остаётся уловить их и интерпретировать. Для этого нужно отчётливо представлять, как будут выглядеть эти сигналы и где они могут проявиться.
Например, для компаний, которые производят высокотехнологичные продукты, важно не пропустить появления инноваций в своей отрасли. Для этого компания должна, например, отслеживать информацию о регистрации новых патентов. Зачастую эти сведения являются открытыми, что помогает без особого труда узнать о перспективах конкурента задолго до того, как новый продукт реально выйдет на рынок.
Своевременно полученная информация о судебных делах в отношении конкурентов, поставщиков, ключевых клиентов может быть использована для:
• предотвращения подобных исков к вашей компании
• оперативного сокращения дебиторской задолженности
• заблаговременного формирования публичной позиции компании в отношении конфликта
• выяснения арбитражной практики по определённому роду дел.
Мониторинг информации является одной из базовых составляющих управления репутацией в интернете. Более того, без тщательного мониторинга управление репутацией невозможно.
До начала первых практических шагов по управлению репутацией необходимо при помощи инструментов мониторинга провести полноценное исследование текущего состояния репутации. По его результатам будет строиться дальнейшая репутационная стратегия.
Как настроить мониторинг?
Этап 1. Определите предмет и цели мониторинга
Для начала поймите, информацию о каких объектах, событиях или людях вы хотите отслеживать, а также сформулируйте, зачем вам это нужно. От этого будет зависеть вся дальнейшая настройка вашей системы мониторинга, начиная с поисковых запросов и заканчивая набором применяемых инструментов и пулом источников, подлежащих мониторингу.
Объекты мониторинга
Чаще всего для бизнеса актуален мониторинг следующих направлений:
• Деятельность компании.
• Товары или услуги компании.
• Лица, представляющие компанию.
• Действия основных игроков рынка, конкурентов и властей в отношении компании.
• Значимые для работы компании изменения в отрасли:
– слияния и поглощения
– заявления государственных органов
– изменения законодательства
– судебная практика
– отставки и назначения и др.
• Актуальные тренды и внешние вызовы, требующие реагирования со стороны компании (например, силами пресс-службы, юридического отдела или службы безопасности).
• Настроения потребителей по отношению к деятельности подразделений и должностных лиц компании.
В зависимости от цели и объекта существуют следующие виды мониторинга:
1. Мониторинг информационного поля бренда
Этот формат мониторинга представляет собой отслеживание упоминаний бренда на специализированных сайтах, форумах, отраслевых площадках и в крупных сообществах. В результате исследуется общее количество упоминаний, а также доля положительных и отрицательных упоминаний.
Такой мониторинг восприятия бренда целевыми аудиториями позволяет:
• узнать состояние общественного мнения о конкретном проекте, продукте или бренде;
• выявить площадки в интернете, где бренд наиболее упоминаем;
• вычислить сторонников бренда для их последующего привлечения в качестве экспертов или противников при подготовке превентивных ответов на острые публичные вопросы.
Из этого типа мониторинга вытекают ещё два вида:
• Мониторинг имиджа топ-менеджмента – отслеживает влияние экспертов на аудиторию, их авторитет.
• Мониторинг отрасли – изучает тренды отрасли и упоминание бренда в её рамках.
Они подчинены информационному полю, поэтому мы не выделяем их отдельно.
2. Мониторинг конкурентов
Представляет собой отслеживание упоминаний о конкурентах и их деятельности в интернете: мониторинг корпоративных блогов, социальных сетей (включая профили сотрудников).
Основная цель такого мониторинга – выявление слабых сторон конкурентов: от поиска инсайдерской информации до обнаружения негативных комментариев в их адрес.
3. Мониторинг клиентского сервиса
Максимально широко изучает онлайн-взаимодействие с клиентом:
• мониторинг потребностей клиентов
• сбор отзывов о качестве продукции и сервиса
• благодарность за отзывы и вопросы
• своевременное реагирование на проблемы клиентов
• внедрение новых digital-сервисов, упрощающих общение с клиентом.
Поскольку современный бизнес в конкурентных отраслях стремится стать максимально клиентоориентированным, мониторинг клиентского сервиса даёт множество преимуществ в отношениях с конкретными людьми, которые собираются воспользоваться услугой или уже пользуются ею:
• Помогает компании вовремя решить проблемы клиентов. Это повышает авторитет компании и позволяет ей наладить долгосрочные и доверительные отношения с клиентом.
• Даёт возможность компании построить собственное информационное поле вокруг своих клиентов, не давая конкурентам места в сетевом пространстве клиента.
• Позволяет направить негативную информацию от клиента внутрь компании, а не в публичное пространство.
• Даёт сигналы о необходимости корректировки бизнес-процессов, связанных с клиентским сервисом.
4. Мониторинг антикризисных коммуникаций
Применяется для проактивного выявления потенциальных угроз, критических оценок, новаторства конкурентов и для своевременной корректировки имиджа или продукции. Для этого необходимо обнаружить сайты с критически настроенными к вашей компании посетителями, а также следить за информационными всплесками как негативной, так и позитивной эмоциональной окраски.
Антикризисный мониторинг также необходим при ведении информационных войн в интернете для отслеживания активности оппонентов на площадках, где ведутся эти мероприятия.
5. Мониторинг при разработке продукта
Этот маркетинговый мониторинг используется при планировании стратегии и тактики развития бренда/товара/услуги и заключается в изучении:
• комментариев в адрес текущей продукции
• новых потребностей и запросов аудитории
• обратной связи по итогам бета-тестирований
• интересных решений в продуктах конкурентов.
Сюда также относится мониторинг пользовательских замечаний об ошибках на вашем сайте или в приложении.
Такой мониторинг позволяет компании узнать о новых способах применения и распространения существующих продуктов, а также открыть для себя уникальные качества продукта с точки зрения потребителей.
6. Мониторинг эффективности рекламы и маркетинга
Выявляет:
• отношение аудитории к рекламной кампании и к бренду в целом
• охват распространения рекламных сообщений, уникальных URL и хештегов
• реакцию аудитории на рекламные активности компании
• отклик интернет-сообщества на провокации вирусным контентом.
Основная цель такого мониторинга – поиск площадок, подходящих конкретному бренду для выстраивания коммуникаций с аудиторией.
7. Мониторинг поисковой оптимизации (SEO)
Заключается в подборе необходимых ключевых слов, которые используются копирайтерами при написании текстов для сайта компании и при разработке интернет-рекламы.
С помощью SEO-мониторинга можно выяснить новые ключевые слова в отрасли и их эффективность, обнаружить новые площадки для продвижения бренда, привлечь новую аудиторию, и, что немаловажно, создать имидж объекта продвижения.
8. Мониторинг публикаций СМИ
Даёт возможность контролировать следующее:
• Интенсивность PR-освещения – количество материалов о компании или по другой интересующей тематике.
• Каналы распространения информации – перечень СМИ, в которых освещается деятельность компании или важные для неё события.
• Тематическая направленность – перечень основных тем и событий, в контексте которых упоминается компания, её менеджмент или продукция.
Значимость этого типа мониторинга зависит от частоты упоминаний компании в СМИ.
Если компания не очень популярна в среде журналистов и не располагает серьёзным PR-бюджетом, мониторинг поможет ей выявить лояльных журналистов и СМИ. Они с наибольшей вероятностью могли бы написать о компании, причём совершенно бесплатно.
9. Мониторинг поисковой выдачи
Самостоятельный мониторинг позволит найти упоминания, которые попали в поисковую выдачу.
В поисковиках можно отследить упоминания – за последний месяц, неделю и даже за 24 часа. Очень удобно отслеживать потенциально опасный негатив.
10. Мониторинг изменений на сайтах
Порой бизнесу требуется вовремя узнать о том, что на определённом сайте появилась новая информация. Это может быть новый прайс-лист конкурента, объявление о важном тендере, раскрытие информации для инвесторов и т. д. В таких случаях помогает мониторинг изменений на сайтах.
В процессе управления репутацией данный вид мониторинга используется в отношении сайтов, определённых в качестве потенциальных источников репутационных угроз.





