Технология мягких лекарственных форм. Учебное пособие

- -
- 100%
- +

ВВЕДЕНИЕ
Мягкие лекарственные формы (мази, суппозитории) в последнее время имеют тенденцию к более широкому использованию в медицинской практике.
Данные лекарственные формы относятся к числу древнейших лекарственных форм. Указания на их использование с лечебной целью встречаются уже в папирусе Эберса. Они широко использовались Гиппократом, Авиценной, Галеном.
В настоящее время удельный вес мазей индивидуального изготовления в рецептуре аптек составляет 10 – 15 %, суппозиториев – до 3 – 4 %. Суппозитории находят особенно широкое применение в детской практике. Несмотря на некоторое снижение общего количества лекарственных форм аптечного изготовления, вопросы технологии мазей и суппозиториев, выбора основ для их изготовления по-прежнему актуальны.
Авторы стремились отразить в учебном пособии современные достижения фармацевтической технологии в области мягких лекарственных форм, в том числе гомеопатических, характеристику, рациональный подбор носителей и правила введения лекарственных веществ в мази и суппозитории.
При описании отдельных рецептов особое внимание было обращено на выбор рациональной технологии, введение лекарственных веществ с теоретическим обоснованием, а также на устойчивость лекарственных форм в период хранения.
Значительное место в учебном пособии отводится биофармацевтическим представлениям в области мягких лекарственных форм различных типов, подбору основы с учетом назначения лекарственной формы и т. д.
В учебном пособии приведены приложения, таблицы и другой справочный материал, необходимый для изготовления мягких лекарственных форм в аптеках, для выполнения самостоятельных работ на учебных занятиях.
СПИСОК УСЛОВНЫХ СОКРАЩЕНИЙ
б/в безводный
в/а внутриаптечный
в/м вода в масле
ГЛБ гидрофильно-липофильный баланс
ГФ IX Государственная фармакопея IX издание
ГФ X Государственная фармакопея X издание
м/в масло в воде
МФФ Международная федерация фармацевтов
МЦ метилцеллюлоза
МГД моноглицериды дистиллированные
Мм молекулярная масса
Натрий-КМЦ натрий-карбоксиметилцеллюлоза
НД нормативная документация
НИР научно-исследовательская работа
нст. к. нестандартные капли
ОП оксипропиленовый
ОЭ олигоэфиры
ПАВ поверхностно-активные вещества
ПАК полиакриловая кислота
ПВП поливинилпирролидон
ПВС поливиниловый спирт
ПМАК полиметакриловая кислота
ППК паспорт письменного контроля
ПЭО полиэтиленоксид
РАП редкосшитые акриловые полимеры
РПА роторно-пульсационный аппарат
СПХФА Санкт-Петербургская химико-фармацевтическая академия
ст. к. стандартные капли
Т пл. температура плавления ч. части
NH4САКАП редкосшитый акриловый сополимер производного акриловой кислоты с аллиловым эфиром пентаэритрита
q. s. сколько требуется (quantum satis)
Глава 1
МАЗИ
ОПРЕДЕЛЕНИЕ ЛЕКАРСТВЕННОЙ ФОРМЫ. КЛАССИФИКАЦИЯ МАЗЕЙ. ОБЩАЯ ХАРАКТЕРИСТИКА
Мази (Unguenta) – мягкая лекарственная форма, предназначенная для нанесения на кожу, раны и слизистые оболочки и состоящая из основы и равномерно распределенных в ней лекарственных веществ. В мази могут быть введены консерванты, поверхностно-активные вещества (ПАВ) и другие вспомогательные вещества, разрешенные к медицинскому применению.
Классификация мазей
Мази можно классифицировать по следующим признакам:
• по типу получения;
• по характеру действия;
• по месту нанесения;
• по консистенции;
• по типу дисперсных систем.
Классификация по типу получения. По типу получения мази представлены в виде:
• бесформенных систем (мази, пасты);
• формированных систем (мазевые и парафиновые карандаши, пластыри, свечи, шарики и палочки, полученные путем выкатывания или выливания).
Классификация по характеру действия. По характеру действия мази делят на мази поверхностного и глубокого действия.
Мази поверхностного действия. Такие мази не всасываются кожей и оказывают действие на эпидермис или на поверхность слизистых оболочек. Мази служат для сохранения нормальных физиологических функций эпидермиса, слизистых оболочек или предназначены для лечения заболеваний или повреждений поверхности кожи.
По функциям различают:
• Покровные (индифферентные) мази – для предупреждения высыхания, загрязнения и для смягчения эпидермиса.
• Защитные мази (пасты) – профилактические средства для защиты кожи от воздействия пыли, растворов кислот, щелочей, агрессивных жидкостей, воды.
• Косметологические и косметические мази – предназначены для смягчения, очищения и охлаждения кожи, а также для оказания антисептического действия и устранения косметических недостатков.
Мази глубокого действия. Такие мази всасываются кожей. В составе их основы необходимо наличие гидрофильных, жировых компонентов или ПАВ.
По функциям различают:
• Проникающие мази – лекарственные вещества из таких мазей всасываются кожей до более или менее глубоких слоев, через протоки потовых или сальных желез, но не проникают в кровоток (мази для лечения чесотки).
• Мази резорбтивного действия – лекарственные вещества достигают системного круга кровообращения и оказывают действие на весь организм.
Классификация по месту нанесения. По месту нанесения различают следующие мази:
1. Дерматологические (собственно мази) (Unguenta propria) – наносят на кожу.
2. Глазные (Unguenta ophthalmica) – на слизистую конъюнктивы.
3. Для носа (Unguenta nasalia seu renalia) – на слизистую носа.
4. Ректальные (Unguenta rectalia) – вводят в прямую кишку.
5. Вагинальные (Unguenta vaginalia).
6. Уретральные (Unguenta urethralia).
7. Стоматологические.
Классификация по консистенции. По консистенции различают:
• Линименты — мази в виде вязкой жидкости.
• Гели – мази вязкой консистенции, способные сохранять форму и обладающие упругостью и пластичностью. По типу дисперсных систем различают гидрофильные и гидрофобные гели.
• Кремы (мягкие мази) – мази мягкой консистенции, представляющие собой эмульсии типа масло в воде или вода в масле.
• Собственно мази – мягкая лекарственная форма, предназначенная для нанесения на кожу, раны или слизистые оболочки. Представляют собой свободные всесторонне дисперсные системы c пластичной или упруго-вязкой дисперсионной средой.
• Пасты – мази плотной консистенции, содержание порошкообразных веществ в которых превышает 25 %.
• Сухие мази (полуфабрикаты) предназначены для разведения.
В зависимости от консистенции мази втираются, намазываются или накладываются на кожу.
Классификация по типу дисперсных систем. По типу дисперсных систем мази делятся на гомогенные и гетерогенные.
1. Гомогенные мази характеризуются отсутствием межфазной поверхности раздела между дисперсной фазой и дисперсионной средой. Лекарственное вещество распределено в основе по типу раствора, т. е. находится в молекулярной или мицеллярной степени дисперсности.
По способу получения различают гомогенные мази:
• мази-сплавы;
• мази-растворы;
• мази экстракционные.
2. Гетерогенные мази характеризуются наличием межфазной поверхности раздела между лекарственным веществом и основой. В зависимости от характера распределения лекарственных веществ в основе различают мази:
• Суспензионного (устаревшее – тритурационного) типа.
Мази содержат твердые лекарственные порошкообразные вещества, измельченные до микроскопических размеров, нерастворимые в основе и распределенные в ней по типу суспензии.
• Эмульсионного типа.
Содержат жидкий компонент, нерастворимый в основе и распределенный в ней по типу эмульсии.
• Комбинированного типа.
Представляют собой сочетание предыдущих случаев.
Фармакологический эффект мазей зависит от следующих факторов:
– физико-химической природы лекарственных и вспомогательных веществ;
– концентрации и агрегатного состояния лекарственных веществ;
– технологии;
– структурно-механических (реологических) свойств мази (вязкость, пластичность, упругость и др.);
– способа нанесения и области применения мази;
– факторов внешней и внутренней среды (влажность, температура и др.);
– состояния кожи и слизистой оболочки.
При приготовлении, назначении и применении мазей необходимо учитывать состояние кожи и слизистых оболочек, в том числе их физиологические и возрастные особенности.
Биофармацевтические аспекты мазей. Схема структуры кожи человека
Кожа – сложный орган, который выполняет следующие функции: защитную, терморегуляции, секреторную и потоотделения, всасывания и, благодаря наличию рецепторов, носителя ощущений. Кожа взрослого человека имеет общую площадь около 1,5 м2 и состоит из трех слоев (рис. 1):
• эпидермис (подкожица);
• собственно кожа (дерма);
• подкожная жировая клетчатка.
Подкожица (эпидермис) состоит из постоянно меняющихся пяти слоев клеток. Представляет собой полупроницаемую мембрану, лишенную кровеносных сосудов.
Наружный слой подкожицы — роговой – состоит из кератинизированных клеток и пронизан протоками потовых и сальных желез, волосяными фолликулами. Эти клетки физиологически пассивны, выполняют защитные функции и представляют собой основной барьер для попадания лекарственных веществ и микроорганизмов в организм человека. Толщина первых двух слоев около 4 мм.
Дерма состоит из эластичных волокон, пронизанных кровеносными, лимфатическими сосудами и нервными окончаниями. В дерму также открываются протоки различных желез (потовых, сальных). Через дерму хорошо всасываются жирорастворимые вещества, которые иногда могут оказывать токсические эффекты (резорцин, цинка сульфат, кислота борная, кислота салициловая, хлороформ).

Рис. 1. Схема строения кожи человека:
1 – роговой слой; 2 – капиллярный слой; 3 – сеть капилляров; 4 – кровеносный сосуд
Подкожная клетчатка состоит из пучков соединительной ткани с зернами подкожного жира (см. рис. 1).
Пути проникновения лекарственных веществ через кожу. Всасывание лекарственных веществ происходит через эпидермис, сальные и потовые железы и волосяные луковицы (рис. 2). Количество всасываемого вещества зависит от площади нанесения мази и толщины кожи. Всасывание может быть усилено интенсивным втиранием мази и зависит от состояния кожи, наличия заболевания и величины рН. У здоровых людей значение рН составляет от 5,5 до 6,5 – 7,0. При воспалительных процессах рН кожи снижается. Количество всасываемого лекарственного вещества увеличивается с повышением рН.
Качество мази определяется многими показателями, в том числе способностью мазевых основ высвобождать лекарственные вещества и скоростью всасывания лекарственных веществ. Процесс всасывания складывается из следующих стадий:
• растворение лекарственных веществ в основе;
• диффузия лекарственных веществ в границах нанесения слоя мази;
• проникновение лекарственных веществ в кожу.

Рис. 2. Пути проникновения лекарственных веществ через кожу:
А – трансдермальный: 1 – межклеточный; 2 – трансцеллюлярный; Б – через поры: 3 – трансгладулярный (через стенки фолликул и протоки сальных и потовых желез); 4 – трансфолликулярный
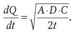
Рассчитать количество всосавшегося лекарственного вещества можно по формуле:

где Q – количество всосавшегося вещества за определенное время t; D – константа диффузии; А – концентрация вещества; С – растворимость лекарственного вещества в основе (определяется in vitro и in vivo).
МАЗЕВЫЕ ОСНОВЫ
Мази состоят из лекарственных веществ, определяющих медицинское назначение мази, и основы. Мазевые основы обеспечивают надлежащую массу мази, необходимую концентрацию лекарственных веществ, нужные физические свойства: консистенцию, плавкость, мягкость, намазываемость и др.
Сами основы могут иногда оказывать фармакологическое действие (например, бентонит, фитостерины оказывают противовоспалительное, ранозаживляющее действие и т. д.). То есть основы являются активным носителем лекарственных веществ. Заменяя основы, можно изменять резорбцию (всасывание лекарственных веществ) и пенитрацию (проникновение и насыщение лекарственными веществами органов, липоидных клеток).
Требования, предъявляемые к основам для мазей
• Соответствовать цели назначения мази.
• Обеспечивать нужную консистенцию мази и концентрацию лекарственных веществ.
• Химическая индифферентность.
• Нейтральность реакции.
• Фармакологическая индифферентность, отсутствие аллергизирующего действия.
• Определенные структурно-механические (реологические) характеристики.
• Хорошо воспринимать и отдавать лекарственные вещества.
• Легко наноситься и смываться с кожи и белья, немаркость.
• Устойчивость при хранении, микробиологическая стабильность.
• Должны быть дешевы, доступны.
• Обеспечивать хороший товарный вид.
Классификация мазевых основ
Основы для мазей классифицируют по следующим признакам:
• по источникам получения;
• по химическому составу;
• по отношению к воде.
Классификация по источникам получения. Различают основы:
• природные (жиры, жирные масла, вазелин, вазелиновое масло, ланолин, воск пчелиный, бентонит, ситостерин, крахмал, желатин, коллаген, хитозан и др.);
• полусинтетические (гидрогенизированные жиры, производные целлюлозы, натрия альгинат и др.);
• синтетические (силиконовые жидкости, аэросил, поливинилпирролидон, ПЭО, САКАП и др.).
Классификация по химическому составу:
• углеводороды;
• эфиры;
• полиорганосиликоны и др.
Классификация по отношению к воде:
1. Гидрофильные основы.
Гидрофильность – способность смешиваться с водой или растворяться в ней.
• Вещества, дающие устойчивые гели после набухания в воде с последующим растворением (растворы и гели полисахаридов, белков, олигоэфиров, полиэтиленоксидные основы и др.).

Рис. 3. Классификация мазевых основ по отношению к воде
• Вещества нерастворимые, но набухающие в воде (гели фитостерина и ситостерина, гидрофильных глинистых минералов).
2. Гидрофобные основы.
Гидрофобность (или липофильность) – способность смешиваться с жирами или растворяться в них и не смешиваться с водой (жировые, углеводородные, силиконовые).
3. Дифильные (гидрофильно-гидрофобные) основы:
• абсорбционные (безводные: гидрофильные и гидрофобные);
• эмульсионные (водосодержащие: типа вода/масло и масло/вода) (рис. 3).
Гидрофобные основы
Жировые основы. Животные жиры. Природные жиры представляют собой смеси триглицеридов предельных (стеариновой С17Н35СООН, пальмитиновой С15Н31СООН, миристиновой С13Н27СООН) и непредельных (олеиновой С17Н33СООН, линолевой С17Н31СООН) высших жирных кислот. Кроме сложных эфиров жиры содержа тнезначительное количество неомыляемых компонентов: свободные жирные кислоты, стерины (холестерин, фитостерин).
Жиры совместимы со многими лекарственными веществами, легко всасываются и обеспечивают глубокое всасывание лекарственных веществ.
Жиры содержат более 50 % ненасыщенных кислот, поэтому их не используют в мазях с окислителями и солями тяжелых металлов. Мази на основе жиров хранят не более 1 – 2 недель. При хранении жиры могут окисляться с образованием пероксидов, вызывающих разложение лекарственных веществ и оказывающих раздражающее действие на кожу.
Фармакопеи многих странограничивают применениежиров в составе основ. В производстве отечественных мазей используется свиной жир. В косметической практике в качестве основ используют жиры: говяжий, бараний, норковый, куриный, утиный, кашалотовыйикитовый. Жир свиной (Adeps suillus (axungia porcina) depuratus) не прогорклый – белого цвета. С химической точки зрения он представляет собой триглицериды олеиновой, пальмитиновой, стеариновой кислот, с содержанием небольшого количества холестерина, который обеспечивает эмульгирующие свойства основы. Смешивается примерно с 20 % воды. Температура плавления 34 – 46 °C.
Жир свиной наиболее близок по свойствам к человеческому жиру. Легко наносится и распределяется по коже, легко смывается, легко отдает лекарственные вещества, не раздражает кожу, не препятствует кожному дыханию. Сплавляется с другими жирами.
Недостатки свиного жира как основы: под влиянием кислорода воздуха, света, влаги он прогоркает, приобретает кислую реакцию, неприятный запах и раздражающее действие на кожу. Химически неиндифферентен. Непредельные жирные кислоты разрушаются с образованием озонидов. Несовместим с окислителями, йодидами, полифенолами, адреналином. Реагирует со щелочными соединениями, с солями тяжелых металлов (образует токсичные металлические мыла).
В мазях серной простой, калия йодида простой, скипидарной, йодной, йодоформной, карболовой, колларголовой, Дарье, Вилькинсона, календулы, в состав которых входит свиной жир, его заменяют консистентной эмульсионной основой типа вода/масло.
Жир бычий (Sebum bovinum) – представляет собой триглицериды пальмитиновой, стеариновой, олеиновой кислот. Температура плавления 42 – 50 °C. По свойствам уступает жиру свиному из-за высокой температуры плавления.
Бычий жир, а также бараний используются как уплотнители мазевых основ.
Растительные масла (жиры). Представляют собой смеси триглицеридов предельных и непредельных высших жирных кислот. По сравнению с животными жирами растительные масла содержат большее количество непредельных кислот. Хорошо всасываются и обеспечивают глубокую всасываемость лекарственных веществ.
Растительные масла (кокосовое, пальмовое, пальмоядровое, какао) при увеличении содержания предельных кислот могут иметь твердую консистенцию. Твердые растительные масла в качестве основы не обладают достаточной пластичностью, используются как уплотнители мазевых основ.
Жидкие растительные масла не пригодны в качестве основы в чистом виде. Применяются в качестве компонентов основ в линиментах (олименты), в смеси с твердыми веществами (твердыми животными жирами, восками, парафинами), для получения эмульсионных основ.
В зависимости от содержания непредельных кислот различают масла:
• невысыхающие (оливковое, персиковое, абрикосовое, какао, кунжутное, кокосовое, пальмовое, пальмоядровое);
• полувысыхающие (касторовое, подсолнечное);
• высыхающие (арахисовое, льняное, хлопковое).
Все невысыхающие масла хорошо переносятся кожей, смягчают эпидермис, всасываются. Высыхающие масла могут раздражать кожу.
Растительные масла при длительном хранении могут прогоркать (гидролизоваться вследствие содержания воды), образовывать пероксиды. Они более устойчивы к развитию микрофлоры, чем животные жиры, вследствие содержания фитонцидов.
Гидрогенизированные жиры. Для получения мазевых основ с мягкой консистенцией из растительных масел и жидких животных жиров используют направленную гидрогенизацию, фракционирование, переэтерификацию.
Гидрогенизированные жиры представляют собой полусинтетические продукты, получаемые при каталитическом гидрировании жидких растительных жиров. При этом происходит насыщение непредельных жирных кислот, консистенция жиров уплотняется. В зависимости от степени гидрирования можно получать продукты любой консистенции, с различными температурами плавления. Гидрированные жиры отличаются повышенной стабильностью при хранении.
В качестве основ используют:
• Гидрожир (саломасс) (Adeps hydrogenisatus) – смесь рафинированных растительных масел. По свойствам гидрожир близок к свиному жиру, но имеет более плотную консистенцию.
• Растительное сало (Axungia vegetabilis) – представляет собой сплав 80 – 90 % гидрожира и 20 – 10 % растительного масла.
• Комбижир (Adeps compositus) – сплав 55 % гидрожира, 30 % растительного масла и 15 % животного жира (говяжьего, свиного или гидрогенизированного китового). Температура плавления 26 – 32 °C. Хорошо намазывается. Совместим с большим количеством лекарственных веществ. Недостатком комбижира как основы является более медленное высвобождение лекарственных веществ по сравнению со свиным жиром.
В зарубежной практике в качестве основ для мазей с калия йодидом, экстрактом красавки, серой используют гидрогенизированные арахисовое и касторовое масла, имеющие вязкопластичную консистенцию, температуру плавления 38 – 41 °C, кислотное число 2,5.
Углеводородные основы представляют собой продукты перегонки нефти. Преимущественно состоят из смеси предельных углеводородов CnH2n+ 2 , характеризуются микробиологической и химической индифферентностью, хорошей смешиваемостью с жирами и маслами, совместимостью с большим количеством лекарственных веществ. Не всасываются. Плохо высвобождают лекарственные вещества. При длительном применении вызывают мацерацию эпидермиса кожи, возможны аллергические реакции. Нарушают газообмен кожи. Применяют как основы в мазях поверхностного действия.
Вазелин (Vaselinum) (ФС 42-2456-97) – смесь жидких и твердых (20 – 50 %) микрокристаллических углеводородов: изопарафинов и алифатических соединений с числом атомов углерода С17– С35, 10 % нормальных парафинов.
Представляет собой однородную тянущуюся нитями мазеобразную массу без запаха, от белого до желтого цвета. При намазывании на стеклянную пластинку дает ровную, несползающую пленку. При расплавлении образует прозрачную жидкость со слабым запахом парафина или нефти.
Практически нерастворим в воде, 95 %-м этиловом спирте, мало растворим в эфире, растворим в бензине, умеренно растворим в хлороформе. С жирными маслами, за исключением касторового масла, и жирами смешивается во всех соотношениях. Температура плавления от 37 до 50 °C, рН 6,5 – 7,5.
Вазелин обладает хорошей консистенцией, смешивается с глицерином (до 40 %), хорошо намазывается, сочетается с лекарственными веществами. Химически индифферентен, устойчив при хранении, не прогоркает. Не раздражает кожу и слизистые.
Недостатки вазелина как основы: плохо смешивается с водой, но инкорпорирует ее до 5 %, трудно смывается и удаляется с белья. Лекарственные вещества из вазелина практически не всасываются, поэтому мази на основе вазелина используют для поверхностного действия. Они на поверхности кожи образуют плотную пленку, нарушают газообмен, возможны аллергические реакции.
В качестве основы вазелин применяется с 1887 г. В настоящее время является основой большинства фармакопейных мазей: борной 5 %, висмутовой 10 %, дерматоловой 10 %, ксероформной 10 %, салицилово-бензойной (13,33 %; 6,67 %), стрептоцидовой 5 и 10 %, цинковой 10 %, ихтиоловой 10 и 20 % (см. табл. 8 – 10).
Конец ознакомительного фрагмента.
Текст предоставлен ООО «ЛитРес».
Прочитайте эту книгу целиком, купив полную легальную версию на ЛитРес.
Безопасно оплатить книгу можно банковской картой Visa, MasterCard, Maestro, со счета мобильного телефона, с платежного терминала, в салоне МТС или Связной, через PayPal, WebMoney, Яндекс.Деньги, QIWI Кошелек, бонусными картами или другим удобным Вам способом.



