За гранью видимого. Инструменты связи с потусторонним миром

- -
- 100%
- +

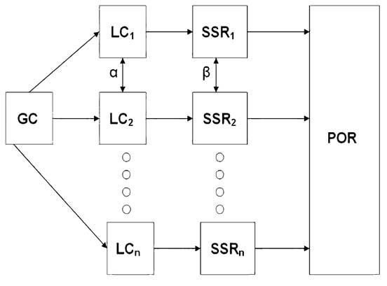
Рисунок 1.4. Диаграмма интерсубъективных информационных связей, где GC – глобальное сознание; LC1, LC2, …, LCn – его локальные аспекты (сознания живых существ); SSR1, SSR2, …, SSRn – вторичные субъективные реальности восприятия LC1, LC2, …, LCn соответственно; POR – первичная объективная (квантово-информационная) реальность; α – информационная связь в POR между группой субъектов LC1, LC2, …, LCn, порождающая согласование реальностей β
Еще один немаловажный момент – что говорит данная концепция о выживании индивидуального сознания после физической смерти:
«Поскольку локальное сознание наблюдателя LC по своей природе отлично от POR и первично по отношению к последней, после диссоциации LC с физическим телом и мозговой структурой оно продолжает свое непрерывное функционирование в качестве оператора POR в одной из других ее подпрограмм, конструируя иную SSR, по большей части не интерсубъективную по отношению к LC, восприятие которых погружено в земную, „физическую” реальность. Таким образом, единственное качественное различие между „воплощенными” и „развоплощенными” LC состоит в том, что они функционируют в разных субъективных реальностях, внешние законы которых могут отличаться друг от друга в большей или меньшей степени. Это относится как к реальностям „развоплощенных” LC, так и к рассмотренным выше „физическим” параллельным мирам. Однако данный факт ни в коем случае не означает невозможность обмена информацией между ними – как через общее сознание GC, так и посредством единой информационной структуры POR. Такой обмен информацией известен как „ченнелинг”, „медиумизм”, а также „инструментальная транскоммуникация”, в которой в качестве вспомогательных средств приема и записи информации используются технические устройства».
Модели и теории, использующие аппарат квантовой механики для описания взаимоотношений между сознанием и физической реальностью, были развиты Р. Пенроузом[31][32], А. Госвами[33], К. Поппером, Д. Экклсом[34], А. Букаловым[35][36][37].
После продолжительных исследований американский медик и биолог Роберт Ланца (личный сайт – robertlanza.com) пришел к модели биоцентризма, весьма сильно напоминающей авторскую квантово-информационную концепцию[38], [39].

Весьма хорошими научно-популярными работами, посвященными связи квантово-механических концепций с сознанием, а также наличию тонких миров, являются книги российских ученых: Михаила Заречного «Невидимая глубина Вселенной»[40] и Сергея Доронина «Квантовая магия»[41].
Детально разработанная квантовая парадигма субъективной физики также была предложена д-ром Верноном Неппе в его работе «Реальность начинается с сознания»[42].
В качестве инструмента, помогающего внести ясность в данную тематику, многими авторами привлекается модель виртуальной реальности. Так, в 2001 году д-р Ричард Томпсон выпустил монографию «Мир как виртуальная реальность»[43], где он подробно анализирует вопрос как с позиции современной науки, так и исходя из древних учений Востока. Тот же вопрос поднимают М. Талбот[44], С. Томияма[45], В. Ефремов[46], А. Паллакен[47].
Профессор Сет Ллойд в книге «Программируя Вселенную»[48] излагает свое понимание Вселенной как глобального квантового вычислительного комплекса и на этой основе пытается объяснить эволюцию всех ее иерархий и структур. Значительную часть книги автор посвящает энтропии, термодинамике и химическим законам, но, к сожалению, практически ничего не говорит о таких феноменах, как квантовая нелокальность и запутанные состояния, первостепенных для понимания рассматриваемой проблемы.
В моей короткой статье «О физической природе посмертного существования: информационная модель субъективных феноменов на основе нелокальных квантовых корреляций»[49] дается набросок теории, отвечающей на вопрос о том, как вычислительные ресурсы Вселенной могут быть задействованы для обеспечения бессмертия человеческой личности и внетелесной (асоматической) обработки информации, где деятельность мозга является лишь ее коррелятом, а не источником.
Глава 2. Предсказания о развитии ИТК
С середины XIX столетия стало появляться все больше изобретений, использующих принципы электромагнетизма для связи между людьми. Попутно начали рождаться предположения о возможности применения подобных же принципов для коммуникаций с миром иным. Большое количество сообщений, принятых на спиритических сеансах, содержали ссылки на возможность подобной коммуникации, а иногда – инструкции по созданию устройств.
Попытки развития технических средств для контактов с потусторонним миром обычно были тесно связаны с анонсами, многократно принятыми через медиумов, а позднее – через сами устройства. Вероятно, самое раннее из таких сообщений принадлежит барону Хелленбаху[50]. В 1885 году он акцентировал внимание на развитии электромеханических устройств, но предостерег от избыточного оптимизма, поскольку, по его мнению, первые контакты столкнутся с проблемой преодоления пропасти, лежащей между двумя измерениями.
В сообщении, принятом женой д-ра Карла Викланда[51], содержится предсказание:
«Скоро придет время, когда на Земле изобретут инструмент, через который все желающие смогут услышать величайших учителей Духовного мира. Над этим мы будем работать вместе. Не сейчас, но скоро».
В одной из записей[52], сделанных медиумом Стейнтоном Мозесом во второй половине XIX века, говорится:
«Будет создан инструмент, который сделает фактом контакт между двумя мирами, так, что даже наибольшие скептики убедятся в существовании жизни после смерти. Придет время, и все стоящие ныне барьеры будут устранены».
Вопросы жизни после смерти и возможности контактов с ушедшими глубоко интересовали известного изобретателя Томаса Алву Эдисона, родители которого были спиритуалистами. В журнале Scientific American от 30 октября 1920 года он писал:
«Если наша личность переживает смерть, тогда строго логично и научно будет допустить, что она сохраняет память, интеллект, а также другие способности и знания, приобретенные на Земле. Поэтому, если человек продолжает существовать после того, что мы называем „смертью”, разумно предположить, что люди, покинувшие этот мир, будут иметь желание вступить в контакт с теми, кого они оставили здесь. Я склонен верить, что та личность, которой мы станем после перехода в мир иной, будет иметь возможность воздействовать на материю. Коль скоро эта аргументация корректна, если мы сможем разработать инструмент настолько чувствительный, чтобы на него мог воздействовать субъект, выживший после смерти, то такой инструмент, будучи доступным, должен зарегистрировать что-либо».
В 1935 году медиум Эдит Эллис из Нью-Йорка цитирует сообщение от Вилфреда Брандона в своей книге «Открой дверь!»[53]:
«Все же наука находится на грани открытия секрета жизни после смерти. Она может все, но только не в состоянии связаться с нашим планом. Маркони и те, кто исследует чудеса эфира, со временем найдут соединяющую длину волны, и затем мы будем связаны общим пониманием Закона Жизни… Мы говорим, и звук остается навсегда. Мы также постоянно запечатляемся на космической фотографической пластине. Ваше радио уже сделало это понятным для вас. Каждый звук находится в пространстве. Нужно лишь механическое приспособление для того, чтобы связать тонкий мир с материальным. Как? Открытием универсальных законов вибраций, которые связывают три плана материи и даже, возможно, выходят за их пределы. Все медиумы – это лишь временное средство, к которому мы вынуждены прибегать для работы с вашими радиоинженерами до тех пор, пока не будет создан механизм, которым мы сможем управлять автоматически. Это возможно, и, вне всяких сомнений, станет следующим шагом после телевидения…
Вы находитесь между двумя полюсами: просветлением и самоуничтожением. Если вы направите время и деньги, которые вы сейчас вкладываете в оборону и развитие военной промышленности, на создание устройства для контакта с нами, то оно вскоре появится».
В 1936 году редактор Пауль Леймари опубликовал книгу Сюзанны Макс Геттинг «Сообщения освобожденного духа»[54]. В двадцать шестом сообщении, датированном 2 февраля 1930 года, говорится:
«Спиритуалистическое движение начинает распространяться. Мы будем говорить с вами посредством фонографа, и вы увидите нас на кинопленке… в будущем медиум станет играть пассивную роль… Во многих случаях устройства заменят медиумов… Медиум будет присутствовать лишь как источник энергии, создавая благотворную атмосферу посредством своих вибраций… Мы сможем воздействовать на ролик фонографа через вибрации наших волн. В этой форме наши мысли будут перехвачены как звуковые волны человеческого голоса, которые вы сегодня записываете. Когда вы их обнаружите, наши вибрации будут полностью идентичны речи. Это – работа адаптации… Волны, исходящие от сущностей, не обладают теми же самыми тонами, которые продуцируются человеческим голосовым аппаратом. Поэтому необходим очень утонченный продукт, на который можно воздействовать с чрезвычайной легкостью. Это даст нам возможность диктовать в фонограф точно так же, как мы диктуем медиуму… Это изобретение, естественно, еще не готово, но уже находится на стадии исследования в некоторых сверхземных мирах. Я подвожу итог:
1. Регистрация волн будет подобна радиоприему, за исключением того, что волны, которые мы пошлем вам, не будут звучать подобно человеческому голосу.
2. Оборудование будет трансформировать эти неразличимые волны в слышимые для человека звуки. В дальнейшем будет существовать адаптация визуальных средств, которая позволит удаленным сущностям быть сфотографированными. Это процесс, который даст великолепные результаты. Изображение и звук, исходящие от тех, кто „исчез с Земли”, дадут равным образом интересные озвученные изображения. Телевидение будет примером этого процесса. Мы применим ту же самую процедуру, с модификациями…
Медиумы подвергаются насмешкам, спиритуалисты очерняются. Будущая наука восторжествует в их оправдании, даже если сейчас она вопит в ужасе и злопыхательстве при упоминании о коммуникации между Землей и следующим миром».
В 1937 году философ, общественный деятель, создательница учения Живой Этики Елена Рерих писала[55]:
«Всем, желающим ближе подойти к явлениям надземным, можно посоветовать ознакомиться с обширнейшей литературой всех веков и народов, трактующих о мире потустороннем. Ведь большинство даже не подозревает, какое огромное количество трудов на эти темы существует в мире! Мир никогда не был лишен зрячих, которые, обладая более усовершенствованным организмом, могли видеть то, что скрыто от грубого физического глаза. Кто же отважится сейчас утверждать, что только потому, что он не видит X или Y лучей, или не ощущает наполнения пространства звуками, скажем, радиоволнами, то все это и не существует? Кто же отважится налепить на себя ярлык невежества такими утверждениями? Наука уже открыла лучи, которые могут делать физического человека невидимым. Кто возьмется утверждать, что в будущем не будет найден аппарат, который даст возможность заглядывать в Мир потусторонний так же просто, как мы видим и слышим человека посредством телевизии, хотя он находится за тысячи миль от нас? Почему люди так стремятся ограничить все возможности и, прежде всего, самих себя? Если уже рождаются дети, которые физическим зрением видят через самые плотные вещества, что было многократно доказано, то почему не верить тем, кто могут видеть мир тонкий и тоже физическим зрением? Это ограничение допущения или недостаток воображения нужно изжить, ибо иначе никакой прогресс в знании невозможен».
В книге «Эзотерическое целительство»[56], впервые увидевшей свет в 1952 году и переданной духовным наставником Тибетцем через теософа, писательницу, контактера, основательницу организации «Люцис Траст» Алису Бейли, можно прочесть:
«К концу двадцатого столетия для контакта с отошедшими душами будут использоваться электронные устройства, вместе с фотографированием мыслеформ, и это откроет новую эру духовной фотографии… Астральное тело будет доступным для фотографирования, но никогда – ментальное… Все же первая демонстрация существования после смерти, такая, которая может быть зарегистрирована на физическом плане, придет через радио… Сегодня не существует радио, которое было бы достаточно чувствительным, чтобы принимать звуки с астрального плана».
В книге «Большая проблема» английского ученого Л. Джонсона, изданной перед Второй мировой войной, приводится цитата из сообщения, переданного через одного из английских медиумов по имени Теннер. В этом сообщении, в частности, говорится:
«Исследуйте все возможные способы радиокоммуникации! Мы [мертвые] готовимся связаться с вами этим путем. Это зависит лишь от длины волны».
Глава 3. Первые опыты исследователей
С самого начала эпохи электромагнитных коммуникаций было задокументировано огромное количество аномальных сигналов. В силу массы причин только малая доля из них получила широкую огласку, и они все еще вдохновляют исследователей по всему миру.
Первую коммуникационную систему, основанную на законах электромагнетизма, создал Сэмюэл Морзе в 30-х годах XIX века. Он продемонстрировал ее в 1844 году. Это была, разумеется, телеграфная линия связи, сообщения по которой передавались в виде последовательности коротких и длинных сигналов, раскодировавшихся в буквы алфавита. В исходном варианте системы батарея и ключ Морзе на передающей станции приводились в действие находящимся на удаленной приемной станции электромеханическим преобразователем, соединенным длинным кабелем с передающей станцией. К другому выходу электромеханического устройства был подключен кабель обратного канала для возврата тока к батарее на передающей станции. Чтобы эти два кабеля никому не мешали, их закопали в землю.
Но вскоре оказалось, что можно обойтись без обратного кабеля, а вместо него использовать заземление. В новой системе остался только один кабель, а прохождение обратного тока, создающего замкнутую цепь, обеспечивалось с помощью воткнутых в землю металлических колышков. Такое решение получило известность как обратный ток через землю.
Как только эта система была задействована, начали поступать сообщения об аномальных всплесках мощности в цепи, настолько сильных, что, по словам операторов, между контактами телеграфных ключей проскакивали крупные голубые искры. В конце концов было решено, что больше нет необходимости применять в системе электрическую батарею, и телеграфные линии стали эксплуатироваться с использованием внутренней электроэнергии земли.
Чуть позже, начиная со второй половины XIX столетия, тот же самый принцип использовался на спиритических сеансах, когда буквы алфавита передавались собеседниками из Тонкого мира в виде последовательности ударов. Термин «духовный телеграф» широко применялся в те годы и даже был употреблен в качестве названия одного из периодических журналов спиритуалистов, основанного Самуэлем Байроном и Чарльзом Пэтриджем в 1852 году.
В 1849 году Александр Бейн изобрел электрохимический самописец, способный благодаря химическим процессам принимать и наглядно фиксировать поступающую информацию. Вскоре многие компании заменили свои старые электромеханические устройства этими более чувствительными электрохимическими агрегатами. Благодаря низкому потреблению тока они работали еще лучше, получая естественную электроэнергию из земли. Однако, когда многие телеграфисты по утрам возвращались на свои рабочие места, они обнаруживали, что самописцы ночью нарисовали какие-то обрывки фраз и странные геометрические узоры. Могло ли это быть первым контактом с разумом из другого измерения?
Всемирно известный изобретатель Никола Тесла, создавший электрические машины переменного тока, много времени посвятил изучению высоковольтной и высокочастотной электрической структуры нашей планеты. В процессе исследований, которые он проводил на своей научно-исследовательской станции в Колорадо-Спрингс, Тесла заметил, что его приборы воспринимают какие-то необычные сигналы. Вот что он написал об этом 19 февраля 1901 года в статье «Разговор с планетами»[57]:
«Я никогда не смогу забыть первые впечатления, которые я испытал, когда мне начало становиться ясным, что я наблюдал нечто, могущее, возможно, иметь неисчислимые последствия для всего человечества. Я чувствовал себя так, словно присутствовал при зарождении нового знания или откровения, содержащего великую истину… Мои первые наблюдения просто-напросто испугали меня, поскольку в них содержалось нечто загадочное, если не сказать сверхъестественное, а я тем вечером был один в своей лаборатории. Но в тот момент мысль о том, что эти возмущения представляют собой сигналы, посылаемые чьим-то разумом, еще не приходила мне в голову. Изменения, которые я заметил, имели периодический характер и содержали явное указание на то, что в них фигурируют число и порядок, поэтому я не мог соотнести их ни с одним известным мне случаем.
Разумеется, мне были известны электрические возмущения, возникающие под воздействием Солнца, полярных сияний и земных токов, но я был уверен так, как мог быть уверен в любом факте, что данные возмущения не были порождены ни одним из упомянутых явлений. Характер моих экспериментов предотвращал возможность появления изменений, вызываемых атмосферными помехами, о чем поспешно заявили некоторые.
Прошло определенное время, прежде чем меня осенило, что те возмущения, которые я наблюдал, могли быть следствием некоего разумного воздействия. И хотя я не мог расшифровать их смысла, для меня стало невозможным думать о них как о совершенно случайных событиях. Меня все больше охватывает чувство, что я оказался первым, кто услышал приветствие, направленное от одной планеты к другой. За этими электрическими сигналами скрывалась определенная цель…».
За несколько часов до разрушительного землетрясения в Сан-Франциско в 1906 году были зафиксированы сигналы бедствия. В 1918 году Гелдерт принял длинные сообщения через радио, принадлежавшее его умершему сыну, который при жизни был радиолюбителем[58].
Секретарь известного автора детективных романов Эдгара Уоллеса вскоре после его смерти в 1932 году, проигрывая на фонографе собственную пластинку, к своему изумлению обнаружил запечатленные на ней слова своего ушедшего шефа. В этом событии можно увидеть предзнаменование будущего «феномена электронного голоса»[59].
Самые ранние и многие последующие технические новшества также нашли свое отражение в области спиритуализма. Наиболее известные аналогии:
• постукивания в виде кода Морзе, использовавшиеся на спиритическом сеансе в 1881 году в присутствии компетентных наблюдателей[60];
• усилители слабых голосов, часто применявшиеся спиритуалистами вместо рупоров.
Первая из зафиксированных в истории успешных попыток построения специальных устройств для ИТК, по всей видимости, относится к опытам голландских физиков д-ра Матлы и д-ра ван Зельста, начавшимся в 1904 году. Их результаты[61] были опубликованы спустя восемь лет. Взяв за основу предположение о том, что ушедшие люди все еще существуют в некоторой материальной форме, они провели эксперимент по изменению давления в закрытом сосуде с водой после вхождения в него предполагаемой духовной сущности. Также этот эффект мог выборочно вызываться в одном из двух имевшихся в наличии одинаковых сосудов. Полученные результаты и их интерпретация привели ученых к изобретению прибора под названием динамистограф (рисунок 3.1), который представлял из себя колесо с нанесенным на него алфавитом, пробелом и точкой, вращающееся со скоростью 0,5 об/мин. При замыкании чувствительного электрического контакта лента перемещалась до нужного положения, и на ней отпечатывалась текущая буква. Само устройство вместе с источником питания находилось в стеклянном ящике размерами 1×0.8×2,4 м3. Даже при отсутствии оператора эта машина, чье функционирование весьма зависело от атмосферных условий, печатала осмысленные тексты. Эксперимент Матлы и ван Зельста так и не был повторен другими исследователями, однако он оказал весьма значительное влияние на развитие парапсихологии того времени.

Рисунок 3.1. Динамистограф Матлы и ван Зельста. Фото из книги: Matla, J.L.P.W., Zaalberg von Zelst, G.J.: Le Mystère de la Mort. Dynamistographie. Paris, 1912. Автор неизвестен
В 1915 году адвокат и радиолюбитель Дэвид Вилсон опубликовал несколько отчетов о своих экспериментах[62]. Незадолго до этого, в 1913 году, он принял через свою радиосистему при отсутствии антенны странные сигналы. Содержание сообщений касалось непосредственно его личной жизни. Вилсон использовал комбинацию батареи, детектора и гальванометра, показывающего спорадические отклонения. Путем исключений случайных флуктуаций он пришел к выводу, что это был код Морзе. Первое послание содержало следующий текст: «Большие трудности. Жди сообщения. Пять дней, шесть ночей». Ночью в присутствии независимых свидетелей он принял послание: «Попробуй удалить вибрацию». Позже Вилсон добавил к устройству ключ Морзе, управляемый живым оператором. Осмысленные слова и фразы приходили тогда, когда волновой детектор принимал паранормальные пульсации синхронно с импульсами, генерируемыми рукой оператора. Система позволяла принимать сообщения на множестве языков. В конце концов Вилсон заменил гальванометр тональным генератором. В эксперименте «Лондон – Париж» были приняты два идентичных сообщения на русском языке через два одинаковых устройства с разницей в 6 минут. Он так и не сделал официального заявления и позднее ушел в тень.
В ходе Первой мировой войны радиооператор Джордж Мелтон получил несколько странных сообщений, источником которых, как он заподозрил, были ушедшие персоны[63][64].

Рисунок 3.2. Психотелефон Мелтона, где F – пружина, B – надувной баллон, E – батарея, K – выход на наушники, M – мембрана
В 1920 году Мелтон открыл в себе медиумические способности. В ходе одного из сеансов он получил инструкции по постройке «телефона на тот свет». Первая его версия состояла из алюминиевого рупора в форме усеченного конуса длиной 60 см, с диаметрами оснований 7,5 и 20 см, внутри которого располагался микрофон, подсоединенный к источнику питания и идущий к наушникам. Это устройство позволяло усиливать слабые голоса, возникающие вблизи медиума, до приемлемого уровня слухового восприятия. Дальнейшая модификация (рисунок 3.2) представляла из себя ящик, внутри которого располагался микрофон, диафрагма которого была соединена с надувным баллоном.
Примерно в то же самое время появился «психотелефон» медиума Ф. Гриерсона[65]. Он был «музыкальным медиумом», известным под псевдонимом Джесси Шеппард, предшественником Розмари Браун.
В 1925 году бразильский исследователь Оскар Д’Аргонел написал книгу «Голоса из потустороннего мира по телефону»[66], в которой рассказал о длинных телефонных диалогах с духовными друзьями, включая множество интересных подтверждений и объяснений того, как именно его собеседники звонили ему. С подобным же явлением «звонков с того света» столкнулся д-р Шернус в конце 40-х годов. Исследователи Скотт Рого и Рэймонд Бэйлесс задокументировали большое количество случаев такого рода. Фундаментальная возможность телефонных контактов ИТК была продемонстрирована в последнее десятилетие XX века в виде записей диалогов и голосов на автоответчике.
31 июля 1929 года Генри Вандермюлен скончался в возрасте 15 лет. 16 декабря того же года он передал своему отцу через спиритическую планшетку данные для построения акустической системы, предназначенной для контакта с ушедшими[67], [68]. Это устройство, запатентованное в Бельгии 1 января 1931 года, состояло из двух стеклянных призм высотой 15 см и шириной 3 см с треугольными основаниями. Они располагались на ровной поверхности на расстоянии 5 см друг от друга (рисунок 3.3). Поверхность одной из призм была покрыта слоем смолы и подсоединялась к подвижному контакту, при замыкании которого срабатывал звонок. Согласно сообщениям, данное устройство неоднократно успешно использовалось во многих местах, и каждый раз, когда срабатывал звонок, происходили медиумические контакты.

Рисунок 3.3. Устройство Вандермюлена, где P – стеклянная призма, H – стеклянная призма, покрытая смолой, D – проволочная треугольная рамка, K – к звонку, B – батарея
В 1941 году медиумам Райту и Гарднеру предположительно удалось вступить в контакт с изобретателем Томасом Эдисоном, оставившим земной мир в 1931 году, и получить чертеж его устройства, на основе которого группа заинтересованных экспериментаторов предприняла попытки контакта[69].










