Информатизация криминологической деятельности. Теория и методология

- -
- 100%
- +

Кроме статистической оценки согласованности мнений экспертов при обработке результатов экспертных оценок в виде количественных данных, содержащихся в анкетах, определяются также статистические оценки прогнозируемых характеристик: среднее значение прогнозируемой величины, дисперсия и др.
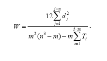
Обработка результатов экспертной оценки относительной важности факторов, от которых зависит рассмотренное выше повышение эффективности использования методик прогнозирования, показала, что коэффициент конкордации в нашем случае равен 0,56 для уровня значимости α = 0,001. Вероятность (а) того, что согласованность мнений экспертов есть случайное совпадение, определяется по таблице значений «хи-квадрат»11 [так называемого критерия Пирсона]:
χ2R =m(n−1)W ,
для числа степеней свободы V = n−1.
Из-за ограниченности материальных и людских ресурсов (компьютеров с надлежащим программным обеспечением, и квалифицированных криминологов) существует определенная граница роста эффективности использования методик прогнозирования и базы криминологических данных.
3.2.2. Формализованные методы, базирующиеся на фактографической информации
Экстраполяция, аналогия и моделирование. Основным инструментом любого прогноза является схема экстраполяции, которая базируется на предположении о сохранении в будущем прошлых и настоящих тенденций развития объекта прогноза. При прогнозной экстраполяции фактическое развитие увязывается с гипотезами о динамике исследуемого процесса.
Основу экстраполяционных методов прогнозирования составляет изучение временных рядов следующего вида:
yt = xt + εt,
где t – время; xt (тренд) – детерминированная неслучайная компонента, характеризующая существующую динамику развития процесса в целом; εt – стохастическая компонента процесса, отражающая случайные колебания или шумы процесса. Стохастическим называют явление, переход которого из одного состояния в другое не может быть достоверно указан на основе информации о его исходном состоянии и последующем преобразовании.
Задача прогноза состоит в определении вида экстраполирующих функций xt и εt на основе исходных эмпирических данных. Первым этапом экстраполяции тренда является выбор оптимального вида функции, описывающей эмпирический ряд. Следующим этапом – расчет параметров выбранной экстраполяционной функции.
В практических исследованиях в качестве модели тренда в основном используют линейную (y = ax+b), квадратичную (y = ax2 + bx + c), степенную (y = xa), показательную (y = ax), экспоненциальную (y = ex) и логистическую (кривая Перла y = a/(1 + be-ex)) функции в зависимости от соотношения между изменениями входной и выходной величин12.
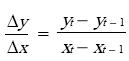
Так, если выполнено условие

или Δy/Δx = (yt – yt-1)/(xt – xt-1) = const, то принимается линейная модель y = a0 + a1x, где а0, а1, – параметры модели – коэффициенты, определяемые по методу наименьших квадратов. Далее, если Δln y/Δx = const, то принимается модель у = a0 xa1;
если Δln y/Δln x = const, то принимается модель у = a0 a1x;
если Δy2/Δx2 = const, то y = a0 + a1x + a2x2;
если Δ (x/y)/Δ x = const, то y = x/(a0 + a1x).
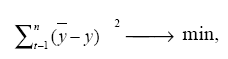
Сущность метода наименьших квадратов состоит в отыскании параметров модели тренда, минимизирующих ее отклонение от точек исходного временного ряда, то есть сумма квадратов отклонений стремится к минимуму:

где


Так, за 2014 год органами внутренних дел рассмотрено 29,28 млн заявлений, сообщений о преступлениях, об административных правонарушениях, о происшествиях, что на 3,3 % больше, чем за 2013 год (без учета Крымского федерального округа); для сравнения:
в 2013 – 28,35 млн сообщений о происшествиях, что на 7,5 % больше, чем за 2012 г.;
в 2012 – 26,24 млн сообщений о происшествиях, что на 6,6 % больше, чем за 2011 г.;
в 2011 – 24,61 млн сообщений о происшествиях, что на 3,1 % больше, чем за 2010 г.;
в 2010-23,88 млн сообщений о происшествиях, что на 4,8 % больше, чем за 2009 г.;
в 2009 – 22,79 млн сообщений о происшествиях, что на 6,0 % больше, чем за 2008 г.;
в 2008-21,50 млн сообщений о происшествиях, что на 4,7 % больше, чем за 2007 г.;
в 2007 – 20,53 млн сообщений о происшествиях, что на 6,6 % больше, чем за 2006 г.
В 2015 году зарегистрировано 2352,1 тыс. преступлений, или на 8,6 % больше, чем за 2014 год; выявлено 1063,03 тыс. лиц, совершивших преступления (+6,3 %); рост регистрируемых преступлений отмечен в 75 субъектах РФ, снижение – в 8 субъектах Федерации; для сравнения:
Таблица 2
Динамика преступности в Российской Федерации

Классический метод наименьших квадратов предполагает равноценность исходной информации в модели. В реальной же практике будущее поведение процесса в значительно большей степени определяется поздними наблюдениями, чем ранними (табл. 2).
Это обстоятельство породило так называемое дисконтирование, то есть уменьшение ценности более ранней информации. Его можно учесть путем введения в модель тренда некоторых весов рt < 1. Тогда

Весовые коэффициенты могут задаваться заранее в числовой форме или в виде функциональной зависимости таким образом, чтобы по мере продвижения в прошлое веса убывали, например рt = аt, где а < 1. К сожалению, формальных процедур выбора параметра не разработано, и он выбирается произвольно.
Метод наименьших квадратов широко применяется для получения конкретных прогнозов, что объясняется его простотой и легкостью реализации на компьютере. Он был использован при разработке количественного прогноза для обоснования показателей перспективных планов МВД, УВД. Недостаток метода состоит в том, что с его помощью можно получить надежный прогноз на небольшой период упреждения. Поэтому он относится главным образом к методам краткосрочного прогнозирования. Кроме того, существенной трудностью его является правильный выбор вида модели, а также обоснование и выбор весов во взвешенном методе наименьших квадратов.
Для реализации среднесрочных прогнозов наибольшее применение нашел метод экспоненциального сглаживания, который является обобщением метода наименьших квадратов.
Для того чтобы упростить оценку параметров зависимостей методом наименьших квадратов, предлагаем воспользоваться более эффективным методом графической оценки линейной регрессии для равноудаленных наблюдений13.
Равноудаленными наблюдениями для криминолога могут послужить, например, годовые показатели уровня преступности за пятилетний период или ежемесячные данные по конкретному виду преступлений в течение определенного числа месяцев текущего года.
Эффективный метод: ГРАФИЧЕСКАЯ (ЩЕНКА ЛИНЕЙНОЙ РЕГРЕССИИ ДЛЯ РЯДА РАВНОУДАЛЕННЫХ НАБЛЮДЕНИЙ
1. Нанесем N наблюдений (уровни преступности по годам за конкретный период) на график и обозначим точки через Р1, Р2,…, рn. Допустим, что интервал между ними равен h.
2. Построим ряд ординат Q1, Q2, …, Qn на расстоянии 2/3 h, при этом Q1 проходит через Р1.
3. Обозначим точку пересечения отрезка P1P2 с ординатой Q2 через A2, точку пересечения A2Р3 и Q3 через а3, …, точку пересечения AN-1 PN и QN через AN.
4. Проведем расчеты в обратном порядке. Начиная с PN, построим ряд точек BN-1, BN-2, …, b1, которые расположены на пересечении с ординатами q’n – i, q’n-2, …, q’1.
5. Линия регрессии (по методу наименьших квадратов) есть B1AN.
Эффективность метода = 100 %; работает быстрее обычного.
Пример. Верхняя половина графика иллюстрирует метод нахождения an (здесь N = 5). На нижней части графика показан обратный метод нахождения B1, а линия B1A5 дает оцененную линию регрессии: сумма квадратов расстояний точек графика (уровни преступности) от прямой (линии регрессии) минимальная.


Следующая группа методов прогнозирования включает в себя методы исторической, биологической и математической аналогии. Применение аналогии – общепринятый и естественный способ мышления. Выводы по аналогии вообще – это выводы, в которых посылки относятся к одному объекту (модели), а заключения – к другому (прототипу).
Метод исторической аналогии основан на установлении и использовании аналогии объекта прогнозирования с одинаковым по природе объектом, опережающим первый в своем развитии. Исторической аналогией следует воспользоваться в том случае, когда нужен более строгий метод, чем простое субъективное суждение. Если прогнозист может найти какую-либо ситуацию в прошлом, сходную с прогнозируемой им ситуацией, тогда он может считать, что последствия интересующей его ситуации будут аналогичны последствиям исторической ситуации.
В качестве примера рассмотрим возможность прогнозирования по аналогии ситуации принятия и распространения нововведения – автомобильного ремня безопасности для предупреждения и сокращения дорожного травматизма и летальных исходов при авариях на автострадах. Модельной ситуацией здесь будет опережающее по времени использования его для самолетов. Роль препятствия для прогнозируемой ситуации сыграл существенный фактор: исторически обусловленное сознание потребителя. В 1956 году предложение автомобильной компании «Форд» по комплекту безопасности, включающему в себя предохранительный пояс, не нашло поддержки у покупателей. И только в 1968 году, а в нашей стране в 1975 году, было решено устанавливать их на всех новых автомобилях14.
Прогнозирование по биологической аналогии использует результаты обширных исследований роста организмов и популяций. Этот рост, например, хорошо описывает логистическая функция y = a/(1 + be-ex), или кривая Перла. Пример: развитие клетки (биологический рост) и творческое совершенствование (изобретательская способность). Аналогия с биологическим процессом делает возможным использование кривых роста для прогнозирования скорости научно-технического прогресса, оказывающего влияние на преступность и борьбу с ней 15.
Чтобы не продлевать «от руки» (без всяких обоснований и расчетов) кривую роста за пределы, определяемые данными о прошлом развитии, к последним необходимо подобрать математическую функцию и затем использовать ее для оценки будущего (что и сделал Раймонд Перл, амер. биолог и демограф, именем которого названа кривая роста).
При установлении математической аналогии развития различных по природе объектов используется более изученное и более точное математическое описание одного из них для разработки прогнозов другого. В группе методов моделирования можно назвать вероятностное, сетевое, имитационное моделирование. Для моделирования преступности криминологами использовались модели множественной регрессии, факторного анализа, матричные и иные математические модели. Общим для всех видов математических моделей является использование математических средств для описания моделируемых объектов.
В качестве объектов моделирования в криминологии выступают взаимосвязь различных социальных процессов с состоянием, уровнем и динамикой преступности, структурно-динамические колебания преступности. Моделирование используется для прогнозирования не только преступности, но и различных аспектов индивидуального преступного поведения. Перенос информации с модели на прототип можно рассматривать как частный случай вывода по аналогии.
Моделирование как способ разработки прогнозов осуществляется путем построения поисковых (для определения возможных состояний явления в будущем) и нормативных (для определения путей и сроков достижения этих состояний, принимаемых в качестве цели) моделей с учетом вероятного или желательного изменения прогнозируемого явления на период упреждения прогноза по имеющимся прямым или косвенным данным о масштабах и направлении изменений. Имеют значение все возможные виды моделей: системы уравнений, графические изображения, подборки показателей, имитации, матрицы и т. д.
Прогнозирование преступности. В практике криминологических исследований известно несколько подходов к прогнозированию преступности на базе информационных и математических моделей. Так, С. Е. Вицин оценил прогностические функции трех видов моделей: 1) модели преступности, построенной на основе единого измерителя общественной опасности преступлений; 2) модели преступности на основе использования уравнений множественной регрессии; 3) матричной модели преступности.
Прогностические выводы из динамического ряда уровней преступности в «условных» преступлениях отнесены им к уровню «наивного» прогноза. Реализация прогностической функции модели второго вида признана очень сложной, поскольку в этом случае необходимо спрогнозировать не только развитие всех установленных факторов, непосредственно влияющих на преступность, но и изменение их количественных оценок. Наиболее эффективно, по его мнению, прогностическая функция в криминологии может осуществляться на основе матричных моделей преступности16. По специально подготовленной им методике (включающей в себя метод наименьших квадратов) прогнозы преступности на пятилетие разрабатывались во всех МВД, УВД страны еще в прошлом веке17.
Существуют и другие примеры использования моделирования для разработки среднесрочного прогноза преступности18. Определенный интерес в связи с использованием компьютера здесь представляют разработка и апробация сотрудниками ВНИИ МВД (М. Д. Волковым, К. К. Горяйновым, Л. В. Кондратюком) однофакторной и многофакторной прогностических моделей преступности в РФ (Ангаро-Енисейский регион)19. В первом случае авторы предложили модель зависимости коэффициента преступности от времени и миграционной подвижности населения. Тенденция изменения во времени параметров модели определена методом наименьших квадратов.
Во втором случае была получена модель зависимости коэффициента преступности от следующих факторов: доли активного населения; доли рецидивистов в общем числе лиц, совершивших преступления; коэффициента миграционной подвижности населения; комплексного показателя уровня урбанизации; удельных капиталовложений, объема товарооборота и бытовых услуг (на 10 тыс. населения).
Перечисление факторов здесь и далее помимо иллюстративной преследует еще одну цель: подчеркнуть необходимость их наличия в криминологическом банке данных и сложность использования апробированных методик в регионах, где отсутствует автоматизированный банк аналогичных данных.
Долгосрочное прогнозирование преступности (на период до 1990 г.) проводилось ВНИИ МВД с применением экспертных оценок еще в 1973 году20. Экспертам-криминологам (46 чел.) было предложено оценить влияние каждого из 39 криминологически значимых факторов на уровень преступности. В числе факторов, наиболее отрицательно влияющих на современное состояние преступности, эксперты назвали: ослабление социального контроля за личностью вследствие урбанизации и миграции (ранг 1); увеличение потребления крепких спиртных напитков на душу населения (ранг 2)…; несовершенство уголовного, уголовно-процессуального, уголовно-исполнительного законодательства (ранг 16); недостаточно высокий уровень эффективности правовых норм (ранг 17).
Для прогнозирования развития преступности на длительные сроки метод экспертных оценок оказался наиболее доступным. Вместе с тем обнаружилась слабая согласованность мнений экспертов (см. коэффициент конкордации), а по ряду факторов многие не могли дать гипотетические суждения. Последнее лишь подчеркивает, на наш взгляд, необходимость использования всего арсенала средств коллективных экспертных оценок (использования нескольких туров опроса, предложенного нами метода штрафов в оценке компетентности экспертов, взвешенных оценок криминологически значимых факторов и т. д.).
Для краткосрочных прогнозов хорошие результаты дают методы экстраполяции, в частности описанный выше и апробированный автором эффективный метод графической оценки линейной регрессии для равноудаленных наблюдений21.
Прогнозирование индивидуального преступного поведения на практике осуществляется в основном интуитивно, например, в отношении лиц, освобождаемых из исправительно-трудовых учреждений. В отличие от интуитивного прогноза, где предиктором выступает чаще всего начальник отряда, научно обоснованный прогноз строится криминологами на базе математического моделирования и фактографической информации.
Прогнозирование рецидива преступлений со стороны лиц, освобождаемых из учреждений уголовно-исполнительной системы (УПС), где они отбывали наказание впервые или во второй и более раз, осуществлялось несколькими авторами (А.П. Закалюком, А.П. Иващенко, В. А. Минаевым, а также А. Ф. Зелинским, Л. В. Чуприной и др.)22.
В работе А. П. Иващенко использовалась несложная прогностическая модель: Р = Σ aixi, где xi – конкретные значения признаков-индикаторов; і = 1, 2, 3, …, 30; ai – коэффициенты информативности этих признаков. Сложность в другом: в отборе и балльной оценке характеризующих личность рецидивиста признаков и выявлении связи между их совокупностью и степенью вероятности рецидива преступлений после освобождения.
Признаки-индикаторы составляют семь групп: относящиеся к социально-демографическим характеристикам личности (i = l ÷ 9); характеризующие преступное поведение (i = 10 ÷ 12) и процесс исправления и перевоспитания (i = 13 ÷ 15); содержащие оценку нравственно-психологической (і = 16 ÷ 24) и психической (і = 25, 26) сферы личности в процессе отбывания наказания, степени исправления осужденного и его будущего поведения (i = 27, 28); относящиеся к деятельности по обеспечению процесса социальной реадаптации (і = 29, 30). Из 30 признаков работающими являются 28, так как в данной модели для лиц, отбывающих наказание в виде лишения свободы впервые, ai = 0 (при і= 11, 12). Таким образом исключается число судимостей и интенсивность рецидива после освобождения в предыдущий раз. Для рецидивистов аі = 0 (при і= 15, 29), то есть нулевая информативность приписывается наличию взысканий за I последний год пребывания в учреждении УИС и установлению административного надзора по месту жительства на момент освобождения. Количественная оценка (в баллах) признаков-индикаторов вводится в компьютер в виде таблицы, обеспечивающей вычисление итоговой характеристики. Чем меньше число баллов получает обобщенная характеристика, тем больше вероятность рецидива.
Экспериментальное апробирование прогностических моделей позволило выделить пять интервалов, определяющих категорию прогноза. В первый интервал попадают лишь 12 % лиц, освобождаемых с итоговой характеристикой в 801-1400 баллов (891-1797 для рецидивистов) – крайне неблагоприятный прогноз, который оправдывается на 86,7 % (77,6 % для рецидивистов). Следовательно, эта категория лиц – объект профилактической работы. Для них в первую очередь и создан институт административного надзора. Следующие интервалы соответствуют неблагоприятному, неопределенному (50 % на 50 %, или fifty-fifty), благоприятному и весьма благоприятному прогнозам. Последний оправдывает себя на 84,9 % (87,3 % для рецидивистов).
Иной подход в изучении рецидивной преступности выбран В. А. Минаевым. С помощью метода экстремальной группировки параметров23 он выделил следующие существенные признаки: 1) отношение суммарного реально отбытого срока наказания в виде лишения свободы к суммарному сроку наказания, назначенному по приговору судов: более или менее 3/4 срока; 2) возраст на момент последнего освобождения: до или свыше 30 лет; 3) суммарный реальный срок нахождения в местах лишения свободы: более или менее 3 лет.
С помощью названных признаков В. А. Минаев выделил шесть групп и подсчитал для них коэффициент криминальной активности, равный отношению доли рецидивистов данной группы в общем количестве рецидивистов среди освобожденных к доле, которую составляет численность группы в общем количестве освобожденных.
Наибольшей криминальной активностью, как выяснилось, обладают лица в возрасте до 30 лет, отбывшие суммарно более 3/4 срока наказания.
Данный оригинальный подход применим к общему и специальному рецидиву, но сложность его внедрения в том, что в первичных электронных (машинных) документах не заложены данные о суммарных сроках наказания, назначенных по приговорам судов и реально отбытых в местах лишения свободы. Более того, нет учета детерминирующих поведение рецидивистов психологических аспектов, которые сказываются на ошибках прогноза индивидуального поведения.
Вероятность совершения преступлений повышают (в 2–3 раза) криминогенные качества и криминальные обстоятельства. Выявив у человека криминогенные качества, можно делать прогноз вероятности (Р) совершения им преступления. Так, если криминогенных качеств не более трех, преступление маловероятно (Р < 0,3); если от трех до семи, то преступление вероятно (0,3 ≤ P ≤ 0,7); свыше семи – преступление весьма вероятно (1,0 ≥ P > 0,7).
По мнению Л. В. Чуприной, типовой криминологический прогноз, значимый для принятия судом решений об условно-досрочном освобождении (УДО) и для формирования режима испытания при УДО, основывается на изучении рецидива преступлений среди различных категорий условно-досрочно освобожденных. При условнодосрочном освобождении из колонии общего режима рецидив в целом составляет 46 %, из колонии строгого режима – 51 %. При этом при УДО из колонии строгого режима уровень рецидива различен: среди условно-досрочно освобожденных лиц, осужденных за особо тяжкое преступление и не отбывавших ранее лишение свободы, он составляет 17,4 %. При этом поведение освобожденных условнодосрочно изучалось в течение криминологически значимого периода, который, по мнению большинства ученых, составляет три года. Установлено, что в среднем около половины всех освобожденных условно-досрочно вновь совершают преступление после УДО, причем порядка 50 % из них (совершивших преступление) – в течение испытательного срока.
С позиций прогнозирования рецидива всех освобожденных условнодосрочно можно разделить на три группы: а) не нуждающихся в профилактическом наблюдении; б) нуждающихся в профилактическом наблюдении на основе общих норм закона; в) нуждающихся в профилактическом наблюдении с использованием специальных ограничений и обязанностей.
Суд по месту отбывания наказания в случае положительного решения об УДО выносит одновременно решение о том, нуждается ли освобожденный в профилактическом наблюдении. При постановке на учет уголовно-исполнительная инспекция с участием полиции решает (с учетом мнения самого освобожденного) вопрос о необходимости возложения конкретных обязанностей и ограничений (запретов), входя в суд по месту жительства с представлением об их возложении (с возможностью последующей корректировки).
Таким образом требуется разработка процедуры принятия решения о применении УДО и установления содержания режима испытания в каждом конкретном случае на базе прогноза индивидуального преступного поведения условно-досрочно освобожденного, осуществленного с учетом социологического исследования лиц, совершивших преступление после УДО, с применением статистических методов и построения их криминологического портрета.





