Экономика с точки зрения физика

- -
- 100%
- +
С другой стороны, есть товары, которые принципиально не изменяются веками. Прежде всего, это продукты питания. В этом случае неизменившиеся товары становятся дешевле относительно новой номенклатуры при росте производительности.
Обозначу это как вывод 8. Так, в США закупочная цена за фунт кукурузы с одного доллара в начале 1960-х годов за 40 лет12 выросла до доллара с четвертью. А цена комбайна для уборки урожая поднялась за тот же срок с 16 тысяч до 140 тысяч долларов.
Изменения цен несопоставимы. Но урожайность за то же время увеличилась в три раза – с 30 до 90 ц/га (без учета трансгенных сортов). Производительность труда в сельском хозяйстве росла, что уменьшало цену кукурузы, и только благодаря инфляции (в том числе и белой) она чуть поднялась в номинальном выражении.
Но относительно других товаров и зарплат она сильно уменьшилась, поскольку всегда находились фермеры, не только использовавшие более производительную технику и более выгодные сорта, но и готовые работать больше, чем в среднем по стране, что держало цену низкой13.
Глава 7. Цепочки равенств производства – обмена
Приведу пример равенства для более сложного производства. Предположим, возникли такие условия, что пахарю приходится покупать не только плуг по цене ц1, но еще и борону за ц2. Общие его расходы ц стали равны ц1+ц2, а ценность (в этом примере – число в амбарах) выращенного зерна осталась прежней – Ц. Можно записать Ц = Ц1+Ц2 – это ценность совместного использования товара-плуга и товара-бороны. Тогда, после выравнивания чистой ценности и полученного дохода, при условии максимальной конкурентной производительности, имеем:
(6)

В левой части в одном и другом равенстве – доход пахаря: чистая ценность плуга и бороны в единицу времени, n1 – обмена плугов, n2 – обмена изготовителя борон за то же время.
Тогда n1ц1 = n2ц2
Пусть, как раньше, n1=3 – кузнец изготавливает три плуга за время, когда они выходят из строя, то есть обслуживает в год трех крестьян, и за это же время можно сделать n2=6 борон. Получается, что цена бороны будет ц2 =1/2 ц1 – в два раза меньше. Кстати, в данном случае разница в ценах пропорциональна разнице во времени, затраченном на изготовление единицы товара.
Чистая ценность за год (Ц – ц) t, или ((Ц1+Ц2) – (ц1+ц2)) t, будет 2/3 амбара за год. Ее, естественно, уменьшила необходимость платить за борону (было 3/4). Интересно, что из приведенной выше системы уравнений нельзя найти значения ценности отдельно для плуга Ц1 и отдельно для бороны Ц2, хотя их цены определяются однозначно. В принципе, знать значение ценности каждого товара при совместном их использовании и не нужно. Борона и плуг ценны только вместе. Но можно предположить, что вклад в общую ценность каждого товара пропорционален их ценам, тогда Ц2 = 1/2 Ц1. Отмечу, что здесь n1 и n2 – локальные производительности технологической цепочки «изготовитель плугов + изготовитель борон + пахарь».
Поскольку левые части в системе (6) при максимальной конкурентной производительности равны, систему можно переписать цепочкой равенств. Если на цену товара влияет использование к других производств, и расходы ск
(7)
(∑кЦк – ∑кцк) t = n1 (ц1 —с1) =… к …= nк (цк —ск)
Подобные уравнения можно написать для производства, состоящего из многих операций, например для оплаты труда рабочего, изготавливающего только гайки для колес комбайна на заводе. Ценность конечного изделия (комбайна) известна, локальная производительность рабочих, делающих разные части машины, – n1, n2,… nk, тоже определима. Значит, можно составить систему равенств для определения цен всех деталей при условии равной производительности по чистой ценности рабочих этого завода.
В случае технологических цепочек, когда один товар является сырьем для производства другого, образуется не система уравнений, а сразу цепочка равенств – последовательное применение равенства (5) ко всем технологическим операциям. Предположим, мы учитываем затраты с1 кузнеца на железо, которое ему продает рудокоп. Но эти затраты являются ценой, которую рудокоп получает за железо. Плуг – производственный товар для пахаря, он реализует его ценность, получает зерно. Руда – производственный товар для кузнеца, он реализует ценность руды, изготавливает плуг.
Так, выражение (ц1 – с1) – чистый доход кузнеца – эквивалентно чистой ценности (Ц-ц) t железа, товара рудокопа. Действительно, разность ц1 (ценность железа для кузнеца) и с1 (цена на его приобретение) можно рассматривать как чистую ценность товара «железо». Значит, для них применим тот же принцип равенства чистой ценности для покупателя и чистого дохода для производителя в единицу времени. Если пренебречь расходами рудокопа и другими затратами кузнеца, можно записать, что за определенный период чистая ценность n1 (ц1 – с1) равна n2с1, поскольку рудокоп тоже будет продавать товар так, чтобы получить чистый доход за единицу времени не меньший, чем у кузнеца и пахаря, – 2/3 амбара. Для товара «руда» также будет выполнено равенство (ц1-с1) = (n2 /n1) с1. Оно идентично равенству (4), только n2 /n1 – отношение, показывающее, насколько больше человек обслуживает рудокоп по сравнению с кузнецом за определенный период времени.
Те же рассуждения можно применить для любых звеньев цепочек. То есть в цепочке чистый доход одного участника рассматривается как чистая ценность его поставщика. Это заставляет для каждого производителя рассматривать значения не только цены, которую он получит, но и ценности, что важно для покупателя, пользователя его товара. Поэтому ценообразование каждой вещи производства ориентировано на две характеристики – чистую ценность для покупателя и затраты производителя – Рисунок 4.
В общем виде:
(8)
(Ц1-ц1) t = n1 (ц1-с1) =n2 (ц2-с2) =…,
в простейшем случае расходы кузнеца с1 связаны только с покупкой железа у рудокопа ц2, то есть с1 = ц2..
Конечная цена продуктов в технологической цепочке (руда → плуги →зерно), естественно, растет при обработке – с ск до ц1.
Что если цепочки равенств производства – обмена, написанные для экономической системы, не сходятся? Это значит, что нет условий обмена, образно говоря, есть товары для обмена, но изготовители не видят для себя справедливой выгоды в нем, экономическая система не организуется. Поэтому составляющие производства должны соответствовать равенству производства – обмена (5), а все вместе составляющие экономики – системе цепочек равенств (7) и (8).

Еще раз обращусь к проблеме ценности товаров – потребительских благ. Собственно говоря, вся экономика в конечном итоге нацелена на производство предметов потребления (включая товары общественного потребления) и услуг частным лицам. Напомню, что чистая ценность и, соответственно, цены товаров – потребительских благ определяются при сравнении чистого дохода от их производства с чистым доходом от производства товаров – средств производства, имеющих явную чистую ценность. Например, в идеальной рыночной экономике чистую ценность зерна для розничного потребителя можно определить по чистому доходу, который хлебопашец получил за этот объем зерна. Поэтому в цепочках, описывающих товары разных отраслей, равенство производства – обмена можно использовать еще и, так сказать, перекрестно, для разных производств.
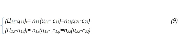
Разберу пример. Пусть экономика представлена системой из двух производственных цепочек: уже известные пахари – кузнецы – рудокопы и, предположим, швеи – ткачи – чесальщики.
Запишем такую систему равенств:
(9)

Пусть верхние уравнения – известный уже пример, в котором использование плуга приводит к получению чистой ценности (Ц11-ц11), выраженной в зерне, где ц11 – цена зерном за плуг, ц21= с11 цена зерном за руду для плуга.
Нижняя цепочка равенств описывает пошив платьев, не эксклюзивных, (Ц12-ц12) t – чистая ценность платьев, которые шьются за тот же период, за который выращивается зерно, ц12 — цена ткани на одно платье, ц22 – цена пряжи для ткани. Готовые платья, как и зерно, являются товаром для обмена, цену ткани и цену пряжи можно выразить в готовом потребительском товаре – потребительском благе, платьях. Действительно, потребительское благо – конечный товар, характеризующий работу всей технологической цепочки.
Тогда в условиях единого рынка, если производительные силы развиты одинаково, могут идти перекрестные обмены, когда чистая ценность потребительского товара сравнивается с чистым доходом, который за то же время получает производитель из любого другого сегмента производства. Будет формироваться единая цепочка равенства производства – обмена для производства всех товаров, в том числе потребительских (общественных благ):
(Ц11-ц11) t= (Ц12-ц12) t= ….
Равенства обмена в системе (9) соединяются – зерно, к примеру, полученное за руду, можно поменять на платья в такой пропорции, чтобы чистая ценность в обмене сохранилась. Это значит, что существует принцип сравнения и, следовательно, обмена любых товаров, в том числе товаров потребления – потребительских благ.
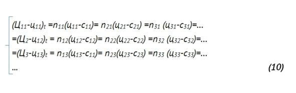
В среднем идеальную рыночную экономику описывает система равенств всех обменов товарами 1,2,3… за один период времени, в течение которого они производились или будут использоваться. При их объединении формируется цепочка равенств, которая описывает все процессы производства и обмена товаров в экономике:
(10)

Здесь левые части – чистая ценность потребительских товаров, произведенных за определенный период.
Более того, сырье для производства одного товара, здесь обозначенное как сii, тоже надо рассматривать как товар. Оно приобретено согласно равенству производства – обмена и тоже имеет цену, которая складывается из цен других товаров в равенствах (см. выше пример с товарами, получаемыми с помощью нескольких производств). Тогда к (10) надо добавить систему:

Таким образом, все производство можно описать цепочкой равенств производства – обмена за единицу времени, написанных для всех товаров и для производительности по чистой ценности каждого человека в каждой производственной операции. Это действительно для любых товаров, в том числе и потребительских благ.
Кстати, только учитывая это условие, можно говорить о том, что цена пропорциональна затратам труда, труда в широком смысле – физического, творческого, интеллектуального. При этом (оптимальная) чистая ценность всех видов товаров, произведенных для данной цепочки обменов за определенный срок, в среднем будет одной и той же.
Может показаться, что написанные выше равенства приводят к уравниловке. Разве все работают одинаково и получают тоже? В общем, полученные данные следует рассматривать для оптимальной (общественной) чистой ценности и оптимального чистого дохода, как усредненные по фирмам, в которых взаимодействия между работающими являются административными, а не рыночными. А вот в конкретной фирме люди получают разную зарплату: уборщик, как правило, меньше, чем высококлассный специалист. Роль «руки рынка» там выполняет администрация, увольняющая или наказывающая тех, кто, по ее мнению, работает недостаточно успешно. Также надо учитывать, что работник, использующий более современное технологичное оборудование, имел затраты на обучение, возможно, высшее образование, тратил время на изучение сложного оборудования. Так что и зарплата у него должна быть выше. Если у работника есть талант, его можно оплачивать больше, тоже считая его за результативное обучение.
С другой стороны, поскольку основная задача любой экономической организации – производство чистой ценности в виде товаров, услуг, изобретений, то внутри одной компании также можно использовать положения о чистой цене и чистом доходе. Действительно, в фирме тоже происходит выравнивание по производительности. Отстающих, ленивых, неудачников увольняют. Так что равенство производства – обмена не прямо, но учитывается и для внутренних транзакций, оно более универсально, чем рыночные отношения. К постоянно обновляющемуся производству применим и вывод о белой инфляции: при общем росте доходов от сложного производства, работники низкой квалификации тоже будут требовать и получать больше. В условиях постоянной модернизации это означает, что руководители будут использовать все возможности, чтобы повысить производительность малоквалифицированного труда. Так, уборщики в крупных компаниях используют полуавтоматические поломойные машины, вообще ручной труд максимально механизирован. Но подчеркну: выравнивание происходит благодаря тому, что каждый работает по максимуму (иначе уволят) и нет причин считать, что кто-то получает незаслуженное.
Менеджеры получают зарплату тоже по результатам работы, в основе которой лежит производство чистой ценности. Но их работа может рассматриваться как фактор, повышающий ценность выпускаемого всем предприятием продукта, а значит, влияющий на оплату труда и менеджеров тоже. Тогда их зарплата будет обратно пропорциональна количеству неопределенностей, уменьшающих чистую ценность продукта (при плохой организации производства, например, или неудачном выборе поставок), и прямо пропорциональна успешной работе предприятия.
Итак, производительность по чистой ценности для любых товаров данной экономики (экономикой я буду называть полную систему – цепочку взаимосвязанных равенств производства – обмена для страны или группы стран) одинакова. Это своеобразный инвариант экономики, он формирует определенный уровень экономического развития страны или группы стран. И наоборот, одна экономика от другой отличается именно средней производительностью по чистой ценности. Это утверждение обозначу как вывод 9. Напомню: даже если производительность в разных сегментах экономики растет неравномерно, инвариант сохраняется благодаря белой инфляции.
Но тогда из цепочек равенств производства – обмена (10) следует, что цена одного и того же товара тоже будет постоянной для любого участника данной экономики, это тоже своеобразный инвариант. То есть за данный товар будут платить одинаково и кузнец, и крестьянин, и швея. Благодаря инварианту могут легко, без сложных сравнений вещей через бартерный обмен, образовываться и новые звенья цепочки среди равенств (10) – определяться цена нового товара. Например, кузнец делает иголки для швеи из железа рудокопа: цепочка сразу формируется (из выражения (9)) (Ц12-ц13) t = n13 (ц13-с11) =n21 (ц11-с21). Только в этом случае будут другими число произведенных товаров – n13 – иголок, и их цена ц13. Но определить тогда цену иголок можно, зная чистую ценность пошива платьев, или чистый доход кузнеца при работе с иголками по сравнению с плугами, в примере – n13 / n11. Механизмом такого обмена выступает обезличенный обменный коэффициент – деньги, о чем будет сказано ниже.
Для другой экономики (с иной производительностью по чистой ценности) величина (Ц-ц) 0 у этого же товара будет другой, значит, другим будет и спрос, и доход производителя.
Вообще говоря, цена того или иного товара при данном экономическом инварианте определяется благодаря тому, что каждый производитель и покупатель может получить информацию о свойствах товара (например, прицениться к другим товарам). Вообще-то, это условие может быть обеспечено и без рынка, так что привычный свободный рынок для формирования цены по закону спроса и предложения не обязателен.
Сделаю важное замечание: вывод, что производительности по чистой ценности в разных сегментах производства уравниваются, явление не уникальное. Далее я покажу, что в макроэкономике это условие сходно с рикардианским уравниванием прибыли на капитал.
Глава 8. Деньги
В предыдущей главе указывалось, что цена каждого товара для данной экономики является своего рода локальным инвариантом, характеризуется оптимальной (общественной) чистой ценностью. Разница в ценах на конкретные товары обусловлена тем, что разное их количество нужно, чтобы сравнялись их чистые ценности. И вот сейчас можно вернуться к задаче нахождения пропорции обмена, о чем говорилось в самом начале, в первой главе. Итак, вещи Х и Y сравниваются для обмена по своей чистой ценности (Ц-ц), это общая для них характеристика: X (Ц-ц) и Y (Ц-ц). Пропорция обмена тогда находится из условия, чтобы количество одного и другого товара давало тем, кто их приобрел, равную чистую ценность: например, чистая ценность одного автомобиля равна чистой ценности тысячи гаек, значит, гайка в тысячу раз дешевле автомобиля. В случае развитых экономических отношений пропорции имеют математическое выражение:
– при выполнении для этих цен равенства производства —обмена, выражающее условие справедливости обмена для обеих сторон, без чего он не состоится,
– при формировании оптимальной общественной цены (и чистой ценности) – оптимальной среди частных предпочтений, что определяет закон спроса и предложения,
– при условии экономического инварианта, когда возможен обмен между разными, в том числе технологически не связанными между собой участниками хозяйственной деятельности, и, наконец,
– пропорция действительна для обменов только между участниками данной экономики.
И вот здесь можно увидеть, что условия инвариантности привносит в процесс обмена нечто новое. Итак, цены одинаковых товаров для любых участников одной экономики являются одинаковыми, производительность по чистой ценности, как говорилось, – одинакова. В этом случае результаты работы разных людей на разных технологических этапах разных производств, и цены разных товаров можно сравнивать с помощью обезличенной цифровой структуры – с помощью денег. То есть деньги – обезличенные коэффициенты сравнения чистой ценности, можно использовать и для обмена товаров, и для сравнения доходов (работы) производителей. Это определение и условия обмена, сформированные выше, я запишу как вывод 10.
Если бы в человеческой деятельности не было инварианта какой-либо экономической величины, то не существовало бы и денег. Действительно, обмены тогда не были бы связаны в цепочки, были бы разобщены и могли бы происходить какие угодно: бусы и зеркальца на самородки золота, как в колониальных державах, железные мечи на звериные шкуры и рабов, как в Древнем Риме… Цены товаров в таком обмене совсем не поддаются обезличенному математическому определению, на них влияют лишь локальные предпочтения.
И наоборот, существование денег, обезличенных обменных коэффициентов, свидетельствует о выполнении перечисленных выше условий обмена, прежде всего существовании экономического инварианта – величины, независимой для всех видов товаров и всех субъектов хозяйственной деятельности. По инварианту их и можно сравнивать.
Деньги становятся нужны развитой экономике, когда возникают цепочки равенств (10) и их объединение в одной экономике дает возможность сравнивать разные товары. И только в этом случае можно говорить не об обмене, пусть даже на золото, а о купле-продаже. Когда формируются цепочки, деньги перестают быть нужны как самостоятельный товар (золотые или серебряные диски) и становятся математическим коэффициентом для сравнения чистой ценности товаров и производительности (результата труда) в равенствах производства – обмена. Это первая и самая важная функция денег.
Верно и обратное: универсальная возможность сравнивать множество разных товаров (если их мало, то можно обойтись и бартером – в этом случае все знают примерную пропорцию обмена) требует, чтобы цена выражалась в универсальном, легко исчисляемом факторе. Возникает числовой формат, который облегчает сравнение чистого дохода производителя с чистой ценностью товара для покупателя.
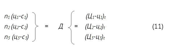
Тогда вид равенств производства – обмена становится следующим:
(11)

Здесь учитывается инвариант производительности по чистой ценности,
(Ц1-ц1) t =Д1= n1 (ц1-с1) = … Д2= … = Д3= n3 (ц3-с3) =………..
Надо отметить, что сумма всех используемых денег здесь не сумма всех цен, а только цен товаров, вовлеченных в обмены, которые совершаются в данный период, плюс средства, депонируемые на новое производство – с3
(12)
Д∑= ∑ (Ц-ц) \ t + с3
Далее, явный числовой характер денег облегчает определение чистой ценности по цене товара в выражении (1б). Деньги являются, в том числе средством, с помощью которого можно соотнести объективно исчисляемую ценность товаров – средств производства, с ценностью товаров – предметов потребления, которая для последних изначально субъективна14. Деньги, таким образом, ограничивают субъективность оценки товаров потребления. Они облегчают применение закона спроса и предложения; покупателям проще сравнивать чистую ценность разных товаров, когда они видят запрашиваемую цену в цифрах и одновременно качество вещей.
Также деньги – это обмен, разделенный во времени, точнее, выражение в настоящем будущей чистой ценности товара, который можно приобрести потом, позже. Это важное отличие от бартерного обращения «товар на товар» (1в). Определенная сумма денег выражает уже осуществленный труд, на который можно выбирать и приобретать в дальнейшем товары с определенной чистой ценностью15. То есть деньги – это также функционал времени, раз они представляют будущую, а значит, потенциальную чистую ценность. А потенциал может по разным причинам и не реализоваться, и поэтому финансовые операции могут приводить к неустойчивости: равенства производства – обмена могут нарушаться (при бартерном обмене такого нет).
Также, будучи числовым выражением цены, деньги тоже имеют двуединый характер, о чем говорилось в первой главе. Поэтому и измеряется величина денег в производительности, то есть в производной по времени, что и показывает система (11). Константы «сумма денег» не бывает, раз деньги – коэффициент обмена, процесса, то подразумевается время.
Третье. Раз деньги позволяют вести обмен с запаздыванием, опять – таки в отличие от бартера, создавая разрыв процесса обмена, то тогда к функциям денег относятся еще инвестиционность и накопление. Денежные знаки позволяют аккумулировать созданную чистую ценность, для того чтобы использовать ее в новых производствах. Более того, если планируемое новое дело обеспечит достаточно большой рост производительности по чистой ценности, то денежные знаки могут быть эмитированы в него в большем количестве, без прямого обеспечения уже созданными товарами. Ведь потом, благодаря новому производству, цепочки равенств сойдутся при большем значении чистой ценности, а значит, и большей сумме денег в обращении.





