Экономика с точки зрения физика

- -
- 100%
- +
Если раньше деньги имели вид реального товара, обладающего объективной ценностью, признанной всеми (как правило, это было золото), то при развитии производственных и обменных отношений деньги стали товаром без самостоятельной стоимости: бумажные банкноты, цифры в компьютере.
Отказ от собственной товарной ценности денег и даже от материальной формы (сейчас это в основном электронные сигналы), конечно, удобен в современном мире. В общем, обеспечение не нужно для обращения. Важно только, чтобы система равенств (10) соблюдалась. Поэтому собственно деньгам не нужен товарный эквивалент – для денежного обращения нужны гарантии выполнения обмена.
Для того чтобы люди признавали в денежных знаках посредника, обладающего вышеуказанными возможностями, нужна сила, которая будет поддерживать и гарантировать подобную всеобщую договоренность и следование ей. Такую силу имеет только государство. И чем экономически могущественнее государство, тем больше признаются его деньги16. Особо отмечу: обеспечение денег – это не золото, не государственные запасы, а (средняя) производительность по чистой ценности в экономике государства. Но запасами, экономической информацией, действиями по улучшению имиджа государство подкрепляет номинал своих денежных знаков в обороте. Возвращение к золотому стандарту может произойти, только если государство разрушится в результате войны или революции, либо капитулирует перед экономическими проблемами.
Всевозможные криптовалюты, биткоины, например, останутся игрушками или инструментом для мелких спекуляций, пока эмитент не будет гарантировать надежность обмена с их помощью в пределах одной страны или стран одной экономики.
Наверное, негосударственные деньги могли бы выпустить крупные транснациональные корпорации, а лучше их союзы. Их влияние и возможности защищать свои интересы громадны. Но нужно ли это им? Государство и так является частью капиталистической экономики, выполняя такие функции, как сбор налогов, управление инфляцией, ведение войн, в том числе экономических, в пользу тех же корпораций. Так что маловероятно, что международные компании будут выпускать свои средства обращения или когда-либо использовать криптовалюты17.
Функцию денег как финансового капитала я рассмотрю ниже.
Глава 9. Развитие производства
«Богатство есть ограбление бедных», – говорил святой Августин. Да, так оно и было бы, если бы объем богатств, что бы под этим словом ни подразумевалось, не увеличивался во всем мире. Иначе одно и то же количество средств просто перетекало бы от слабых к сильным. Но сложно опровергнуть тот факт, что люди в наше время в целом жить стали дольше и богаче, чем, по крайней мере, в средневековье. Но что-то это богатство увеличило. Чего же стало больше? Товаров, услуг, умения производить. Значит, те, кто занят в изготовлении товаров, управлении производством, создании изобретений, способны увеличивать богатства. Это должно отражаться и в описании общественного производства и распределения.
Экономика, то есть система отношений в производстве и обмене, распределении и потреблении, характеризуется основным действием – созиданием. Этот процесс придает и производимым вещам, и человеческому труду ценность (и при обмене чистую ценность) – гуманистическую характеристику, присущую только целенаправленной человеческой деятельности. Процесс производства характеризуется тем, что ценность товаров выше по сравнению с первоначальными затратами (ценой). Более того, внедрение изобретений, новое производство, улучшение управление приводя к тому, что эта характеристика увеличивается или, иначе, производительность по чистой ценности растет.
Однако рассмотренные выше равенства производства – обмена подразумевают, что картина хозяйственной деятельности не меняется. Как учесть действия, направленные на расширение производства?
Необходимые для нового дела средства можно получить, отобрав часть дохода у производителя, увеличив величину расходов с в равенстве (5) и передав ее хозяину средств производства для их последующей модернизации. Либо свободные средства появляются, когда при внедрении новшеств получаемые средства обмена (покупательная способность денег, получаемых за единицу времени) увеличивают свою ценность, и за них можно купить больше товаров с высокой чистой ценностью. Тогда их можно направить на новое производство. В реальности, конечно, идут оба этих процесса.
Вывод 1 Главы 6 говорит о том, что увеличение значения с – расходов при производстве, уменьшает производительность труда по чистой ценности. Покупательная способность падает, люди хуже живут. Но если отбираемая величина с направляется на изготовление новых товаров с большей чистой ценностью, то в конечном итоге производительность по чистой ценности в среднем увеличивается, и благодаря белой инфляции уровень жизни повышается у всех. Разумеется, чистую ценность новых товаров уменьшают и расходы на обучение персонала, на переоснащение и так далее, но в конечном итоге чистая ценность от работы нового производства должна быть выше, иначе, зачем новшества нужны? Так что развитие производства в конечном итоге выгодно всем участникам экономической жизни18.
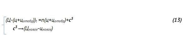
Таким образом, для того чтобы развивалась экономика, можно понижать чистую ценность товаров, отбирая больше средств с3 из правой части равенства производства – обмена, в надежде, что в будущем увеличится производительность по чистой ценности до (Цновое-цновое) t. Но это в ущерб настоящему, потому что тогда, чтобы сходилось равенство производства —обмена, нужно, чтобы росла цена ц продукта – на величину цотобр – товары дорожают:
(13)

Запишу это условие как развитие по варианту 1.
Если отбирать слишком много и дополнительные расходы с окажутся несоразмерно велики, то упадет ценность средств обмена, и населению будет просто не на что покупать новые товары, цепочки равенств производства – обмена для всех хозяйственных отношений не будут сходиться. Можно написать условие для величины с3, направляемой на развитие производства (как для частной фирмы, так и, через налоги, для производства общественного): отбираемая на развитие величина не должна быть больше величины, на которую вырастет чистая ценность товаров от нового производства
с3/t <∆ (Ц-ц) t – на единицу времени расходы на новое производство (переоснащение старого) меньше прироста чистой ценности создаваемых товаров19.
С другой стороны, из вывода 7 Главы 6 следует, что новое дело в устоявшейся системе экономических отношений может быть создано, если производительность труда повысилась и высвободились рабочие руки, когда возросла ценность средств обмена. Вспомним пример с кузнецом и пахарем: когда кузнец стал изготавливать больше плугов и производительность труда увеличилась, высвобождение рабочей силы (прежнее число кузнецов уже не нужно) компенсировалось потребностью в большем количестве новых товаров. В этом случае новые запросы разбогатевших участников экономической деятельности можно удовлетворить, развивая новое производство (Цновое-цновое), которое займет уволенных. Для этого люди сами сознательно могут передать часть своих средств с0 на новое производство, приобретая его акции, например. Это прямое перенаправление своей платы за труд, оно не влияет на цену старых товаров ц. Правда, хотя производительность выросла, уровень жизни не повышается, ведь денег у людей на сиюминутные расходы не прибавилось, они направлены на новое производство:
(14)

Обозначу его как вариант 2.
Варианты 1 и 2 различаются, в общем, тем, что в первом случае решение о перенаправлении части чистого дохода принимает хозяин (в том числе хозяин заемного капитала, банк через проценты или государство, если оно управляет хозяйственной деятельностью), хотя расходы, согласно равенствам производства – обмена, несут все, так как цена товаров возрастает; а во втором случае решение о вложении денег (о приобретении акций, о взносах в банк, прямое инвестирование в свое производство) принимают лица, в том числе работники, владеющие свободными средствами, на свое усмотрение. Например, аккумулирование средств для нового производства по варианту 1 происходит, когда банк получает проценты, учитываемые в цене продуктов, – это проценты, которые задолжавший производитель должен включать в цену продуктов, чтобы выплачивать долг. Когда при увеличении уровня жизни люди несут свои деньги в банк, он собирает средства на новое производство по варианту 2.
Наконец, вариант 3: средства на новшества могут быть эмитированы даже без прямого обеспечения, и это могут быть не деньги, а производные от финансовых инструментов. Неприятных последствий не будет, если чистая ценность товаров нового производства окажется выше, чем у старого. Эмитентами могут выступать не только производственные, но и финансовые организации, либо государство, страхующее от неудачного вложения, от необоснованного поступления денег в оборот. Далеко не всегда это удается, и эмиссия средств для нового производства может быть смешана с эмиссией кредитных ценных бумаг для неокапитала, что будет подробно рассмотрено ниже.
Конец ознакомительного фрагмента.
Текст предоставлен ООО «ЛитРес».
Прочитайте эту книгу целиком, купив полную легальную версию на ЛитРес.
Безопасно оплатить книгу можно банковской картой Visa, MasterCard, Maestro, со счета мобильного телефона, с платежного терминала, в салоне МТС или Связной, через PayPal, WebMoney, Яндекс.Деньги, QIWI Кошелек, бонусными картами или другим удобным Вам способом.
Примечания
1
Экономические теории, рассматривая товарообмен, используют понятие стоимости (потребительской или обменной) – свойство, приписываемое товару. Однако этот термин – искусственная конструкция. Работать стоит только с наблюдаемыми величинами. На практике известной и используемой величиной является только цена.
2
Цену можно определить как пропорцию обмена каждого товара на единый специальный товар, золото, например или, как в дальнейших примерах – зерно.
3
Предположим также, что таксист приобретет люксовый автомобиль, чтобы возить особых клиентов. Его доход за час будет гораздо больше, но и выплачивать за дорогую машину придется столько, сколько он получает за 7 часов ежедневной работы. Значит, именно ради тех денег, которые таксист получит за один, последний час восьмичасового рабочего дня, ради работы для себя он и приобретал автомобиль «люкс». И это количество денег, полученных за время работы «для себя», не может быть меньше того, что зарабатывает в день «для себя» таксист на простой машине – иначе нет прока в новом автомобиле, но и не может быть намного большей, поскольку тогда все таксисты пересядут на люксовые автомобили и собьют цену.
4
Это, конечно, не так для, например, картин художников, товаров уникальных, авторских, вообще для всего эксклюзивного; для изобретений, даже если они служат для массового производства. Но создатель такого товара все равно будет учитывать свои затраты, например муки творчества, и стараться оценить их по максимуму.
5
Пример – планшетные компьютеры. Они важная часть рабочего пространства жителя развитых стран и показатель элитарности в странах развивающихся. Цена на планшетник, например, в 1000 долларов для покупателя из развитой страны будет вполне доступной, чистая ценность (Ц-ц) при цене, равной недельной зарплате, его вполне устроит, даже если планшетник ему не очень нужен: ценность небольшая, но и цена тоже. Для покупателя из развивающейся страны цена в 1000 долларов за новый гаджет близка к среднегодовому доходу. Ценность этого товара должна быть очень большой, он должен быть просто жизненно необходим, чтобы его купил кто-то из основной бедной массы жителей.
6
Производитель в широком смысле тот, кто участвует в формировании равенства производства – обмена. Маркетинг, например, позволяет повысить эффективность предложения товара для людей, для которых его ценность максимально велика и таким образом, увеличить (оптимальную) чистую ценность товара. Менеджер, улучшающий производство, позволяет уменьшить затраты с и тоже изменить, через равенство производства – обмена, чистую ценность товара. Тогда и маркетолог, и организатор труда – тоже производители.
7
Здесь я не касаюсь доходов менеджеров и хозяев, эта тема будет рассмотрена далее.
8
Забегая вперед – и ценность (покупательная способность) денег.
9
Отмечу, что производительность конкретного человека зависит от его знаний, от физиологических качеств, ее ни в коем случае нельзя оценивать одинаково для всех.
10
Забегая вперед, замечу, что именно эта величина запредельного дохода имеет тенденцию к понижению. Но это не влияет на доход, получаемый при эксплуатации товара.
11
В этом случае уже нельзя говорить о единичном обмене. Речь уже идет об экономике – о системе экономических взаимоотношений.
12
С 2010 года цены на кукурузу растут из-за использования ее для выработки этанола – автомобильного топлива. Можно сказать, что изменилась ее ценность как нового товара, замены нефти.
13
Пример с кукурузой обычно служит иллюстрацией уничтожения мелкого фермерства. Для фермера принцип максимальной производительности (по чистой ценности) действует более жестко, чем для корпораций, которые следуют регламентирующим труд законам, и для компаний, где есть профсоюзы. Законы, межкорпоративные договоренности или профсоюзы ограничивают время труда и конкурентное давление. Этого нет у мелких производителей в сельском хозяйстве. Поэтому там тяжесть и продолжительность труда больше, чем в других секторах экономики, что сбивает цены конечной продукции.
14
Можно применить идею равенства производства – обмена (4) и к деньгам как к товару.
15
Соглашусь, что понятие «деньги» имеет некий сакральный смысл. Они позволяют получить сейчас будущую прибавочную ценность конкретного товара, нужного конкретному покупателю, хотя сами деньги – понятие унифицированное, обезличенное. Деньги – своеобразная энергия созидания, только отложенная с предыдущего производственного цикла.
16
Также и производные от денег ценные бумаги и вклады надежными делает в первую очередь мощь фирмы-эмитента.
17
Но если транснациональным корпорациями потребуется ввести свои денежные знаки, они никого не спросят.
18
Именно по этой причине в свое время луддиты не смогли получить достаточно большую поддержку даже среди безработных. Интуитивно было понятно, что использование машин приведет к повышению уровня жизни.
19
Собственно говоря, подобные условия, в несколько другом виде и с другим названием, изучают современные курсы экономической теории.





