Пол и гендер

- -
- 100%
- +
Энергообмен. И. А. Корниенко (1979) показано, что у девочек во всех возрастах (с 5 до 11 лет) энергообмен покоя ниже, чем у мальчиков (рис. 2.3).

Эта же тенденция выявлена и в зарубежных исследованиях. Г. Моно (1973) отмечает, что в состоянии покоя уровень основного обмена у мужчин примерно на 5 % выше, чем у женщин, и ссылается на данные Флейша (Fleisch, 1951), который обобщил результаты разных авторов, относящиеся к нескольким тысячам человек, и показал, что более интенсивный основной обмен у мужчин касается не только детей, но и взрослых (рис. 2.4)

Емкость анаэробных энергетических систем (АТФ, КФ, гликоген) у женщин ниже, чем у мужчин, что связано не с меньшей концентрацией этих энергоисточников в мышцах (она у мужчин и женщин примерно одинаковая), а прежде всего с меньшей мышечной массой у женщин. Отсюда и более низкая работоспособность женщин в кратковременной интенсивной работе.
Дыхательная система. До периода полового созревания, когда различия в размерах тела между мальчиками и девочками минимальны, максимальное потребление кислорода (МПК) тоже почти одинаково. У молодых мужчин МПК в среднем на 20–30 % больше, чем у женщин. По мере старения различия в МПК между мужчинами и женщинами становятся меньше (рис. 2.5).

Даже рассчитанное на килограмм веса тела МПК у женщин меньше, чем у мужчин. Однако среди мужчин и женщин одного возраста наблюдаются значительные индивидуальные вариации в величинах МПК. У физически более подготовленных женщин МПК такое же, как у физически плохо развитых мужчин.
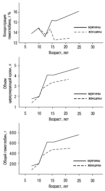
Более низкое МПК у женщин обусловлено тем, что максимальное количество кислорода, которое может переноситься из легких в ткани, у женщин меньше, чем у мужчин. Это различие связано с меньшим у женщин количеством эритроцитов, а следовательно, и гемоглобина, меньшим объемом циркулирующей крови (600 мл против 800 мл у мужчин), меньшим объемом сердца и полостей желудочков, меньшим систолическим объемом (рис. 2.6).

В то же время до периода полового созревания концентрация гемоглобина в крови у мальчиков и девочек почти одинаковая.
По данным Т. Д. Кузнецовой (1983), до 12 лет половые различия по величине легочных объемов выражены слабо. Это объясняется тем, что прирост объема дыхания у девочек с 6 до 14 лет выше, чем у мальчиков того же возраста, и в результате величина объема дыхания девочек практически становится равной таковой мальчиков.
У взрослых женщин частота дыхания большая, чем у мужчин, а глубина меньше; вследствие этого жизненная емкость легких (ЖЕЛ) у женщин в среднем меньше на 1 л (по данным других авторов – еще меньше: на 1, 7 л), чем у мужчин, а максимальная легочная вентиляция – на 30 % (рис. 2.7). Таким образом, с возрастом половые различия по жизненному объему легких увеличиваются. Так, в раннем детстве у мальчиков он в среднем выше на 7 %, чем у девочек, а в зрелом возрасте разница между мужчинами и женщинами достигает уже 35 %. Кроме того, у женщин заметно ниже диффузная способность легких для кислорода.
С 6–7 лет у девочек преобладает грудной компонент дыхания, а у мальчиков – брюшной.
Гормональная система. В. И. Чемоданов (1983) получил данные, которые свидетельствуют о наличии существенных половых различий в экскреции катехоламинов уже в период первого и второго детства. Первое увеличение экскреции у девочек опережает на 1–1,5 года таковое у мальчиков; у мальчиков этот пик наблюдается в 6–7 лет, и его амплитуда значительно больше, чем у девочек. Второе повышение у девочек наблюдается в 9 лет и носит отчетливый характер. У мальчиков второй пик проявляется в 10–11 лет и имеет сглаженный характер. Интенсивность метаболизма адреналина и норадреналина у мальчиков происходит несколько интенсивнее, чем у девочек.

Активность системы серотонина выше у девочек, чем у мальчиков, а гистамина – наоборот, выше у мальчиков, чем у девочек.
Наиболее существенные различия в гормональной системе у лиц мужского и женского пола состоят, конечно же, в количестве в их организме мужских (андрогены) и женских (эстрогены, прогестерон) половых гормонов.
* * *
Древнее житейское представление о глазах как о «зеркале души» (величина зрачка) 150 лет назад было дополнено научным заключением о глазах как о «зеркале тела». Таким вторым «зеркалом» является структура радужной оболочки. А. Я. Зайцев и И. М. Палей (1998) совместили изучение этих «зеркал» и выяснили, что соотношение между площадью зрачка и площадью радужки у мужчин и женщин разное. В мужской группе площадь радужки превышает площадь зрачка в значительно большей степени, чем в женской группе. Это различие в тенденции выражается в том, что абсолютная площадь зрачка у женщин больше, чем у мужчин, даже в спокойных фоновых условиях. Примечательно, что разница в относительных величинах зрачка и радужки коррелирует с эрготропностью – трофотропностью. Для мужчин характерно преобладание эрготропности, а для женщин – трофотропности.
Авторы полагают, что обнаруженные различия являются частным случаем различия акупунктурной «насыщенности» кожи у мужчин и женщин. Они ссылаются при этом на данные Е. С. Вельхова, который показал, что количество акупунктурных точек у мужчин в 2,4 раза больше, чем у женщин.
2.3. Половые различия в темпах моторного развития
По данным П. С. Бабкина (1975), половые различия в психомоторике начинают проявляться у детей уже на безусловно-рефлекторном уровне. Так, у девочек по таким рефлексам, как глоточный, хоботковый, Майера, Кернига, контрлатеральный Брудзинского, брюшные гипои арефлексия чаще наблюдаются у девочек, чем у мальчиков. И только по рефлексу Тромнера гипои арефлексия чаще наблюдаются у мальчиков, чем у девочек.
Мальчики на 2–3 месяца позже, чем девочки, начинают ходить, речь у мальчиков тоже появляется позже на 4–6 месяцев. Однако сроки моторного развития мальчиков и девочек грудного возраста во многом зависят от типа телосложения (табл. 2.4).
Таблица 2.4. Средний возраст (месяцы) по этапам моторного развития детей грудного возраста разного типа телосложения (по данным Хазановой А. Б., 1975)
Как видно из таблицы, по способности держать голову девочки торакального типа опережают мальчиков всех типов, а девочки мышечного типа уступают мальчикам всех типов. По способности переворачиваться девочки мышечного типа опережают мальчиков мышечного и дигестивного типа, а девочки торакального типа отстают в сроках от мальчиков всех типов и т. д.
Во многом благодаря морфологическим и физиологическим различиям, проявляющимся после периода полового созревания, по мышечной силе и быстроте, а также аэробной выносливости лица мужского пола превосходят лиц женского пола.
2.4. Половые различия в проявлении свойств нервной системы и темперамента
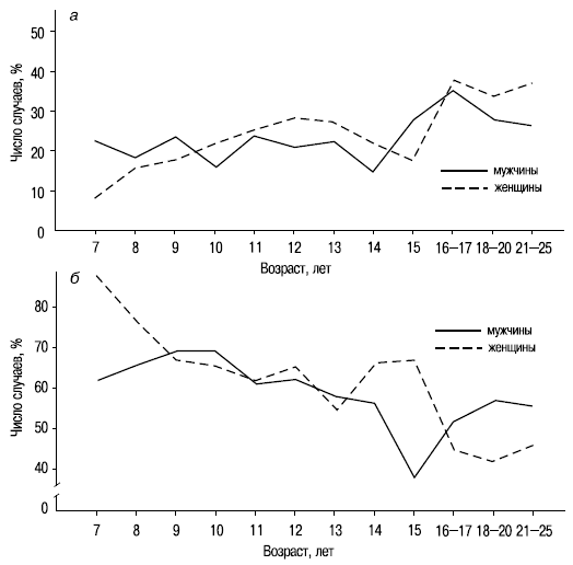
Сила нервной системы. По данным А. М. Сухаревой (1972), увеличение с возрастом количества лиц, имеющих большую и среднюю силу нервной системы, выражено у лиц как мужского, так и женского пола, но у последних более ярко – за счет того, что девочек 7–8 лет со слабой нервной системой больше, чем мальчиков того же возраста, а в возрасте 18–25 лет различий между лицами мужского и женского пола в количестве лиц с сильной и слабой нервной системой нет (рис. 2.8).

Подвижность нервных процессов. По данным Н. Е. Высотской (1972) и А. Г. Пинчукова (1974), среди мальчиков 7–16 лет количество лиц с подвижностью как возбуждения, так и торможения больше, чем среди девочек (рис. 2.9). Затем с подвижностью возбуждения больше становится женщин.

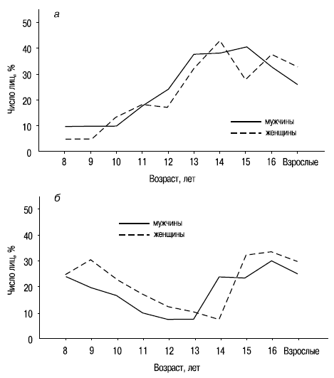
Баланс нервных процессов. Существенных различий между школьниками мужского и женского пола по внешнему балансу нет. До периода полового созревания лиц с преобладанием торможения несколько больше среди девочек, так же как и после него. В пубертатном возрасте с преобладанием торможения больше мальчиков. Возможно, это связано с тем, что этот период наступает раньше у девочек и, следовательно, раньше уменьшается (в связи со сдвигом баланса в сторону возбуждения) число лиц с преобладанием торможения. По количеству лиц с преобладанием возбуждения различий между лицами мужского и женского пола практически не было во всех возрастных группах (рис. 2.10).

Лабильность. По данным Е. В. Воронина (1984), между мужчинами и женщинами различия по лабильности есть, хотя и несущественные: лабильность на свет была в среднем равна соответственно 39,2 и 38,9 единиц, а на звук – 75,9 и 74,5 единицы. Н. М. Пейсахов и А. О. Прохоров (1975) нашли статистически достоверные различия по КЧМ в пользу мужчин.
Свойства темперамента. И. М. Владимирова (2001), используя опросник Д. Кейрси для выявления типов темперамента, установила, что в выборке мужчин оказалось вдвое больше лиц сенсорного планирующего (SJ) и вчетверо – интуитивного рационального (NT) типа, в группе женщин – вдвое больше лиц интуитивного эмоционального (NF) типа. Девушки оказались более экстравертированными, эмоциональными, с лучше развитой интуицией, более естественными и спонтанными, чем юноши. Юноши же отличались рациональностью и планомерностью.
По данным Н. Герасимовой (1998), общительность женщин 20–25 лет значительно выше таковой у мужчин того же возраста.
Распространенность типов с акцентуацией характера по А. Е. Личко. М. К. Омаровой (2002) выявлено на большом контингенте обследованных, что у юношей достоверно чаще, чем у девушек, встречается эпилептоидный и гипертимный типы, а у девушек – лабильный и психастенический типы. Остальные типы представлены у тех и других практически одинаково (табл. 2.5).
Таблица 2.5. Частота разных типов акцентуации у юношей и девушек (процент случаев)
2.5. Половой диморфизм мозга и функциональная асимметрия
О различиях в функциональной асимметрии двух полушарий у мужчин и женщин писали давно. В настоящее время большинство авторов считают, что латерализация полушарий[5] четче выражена у мужчин. Леви (Levy, 1978) пишет, что женский мозг подобен мозгу мужчин-левшей, т. е. характеризуется пониженной по сравнению с мужчиной-правшой асимметрией полушарий. Макклон (McClone, 1980) на основании обзора литературы приходит к такому же выводу.
У мальчиков левое полушарие развивается медленнее, чем правое, а у девочек – наоборот. При этом левосторонняя функциональная асимметрия полушарий у девочек появляется после 2 лет, а у мальчиков лишь к 5–6 годам (Коновалов В. Ф., 1987).
Хотя некоторые ученые называют правое полушарие «женским», другие авторы считают, что различия между мужским и женским мозгом касаются лишь отдельных функций (Спрингер, Дейч, 1982).
Н. Гешвинд (Geschwind, 1978), Горски (Gorski, 1991) и другие исследователи считают, что мужской и женский мозг различаются по размеру, числу нейронов и наличию дендритных разветвлений. Предполагают, что эти различия обусловлены влиянием половых гормонов, однако не исключается и влияние факторов окружающей среды. Проявления полового диморфизма у людей обнаружены в гипоталамусе (он больше развит у мужчин) и ряде других структур головного мозга (Swaab, Fliers, 1985). У мальчиков в отличие от девочек правое полушарие (отвечающее за способность решения пространственных задач) больше, чем левое (La Coste et al., Kimura, 1992). У женщин же отмечается более крупная задняя часть мозолистого тела, соединяющая своими волокнами правое и левое полушарие (Allen et all, 1991). Этим объясняют большую беглость речи и меньшую речевую латерализацию женщин (Hines et al.,1992). Также больше у женщин передняя спайка мозга (anterior commissure) (Allen, Gorski, 1991).
Для объяснения половых различий в асимметрии мозга было выдвинуто несколько гипотез. Д. Уэбер (Waber, 1976) предположила, что асимметрия связана не с полом как таковым, а с разными темпами развития мужчин и женщин. Однако это не объясняет наличия различий в асимметрии у взрослых мужчин и женщин. Леви (Levy, 1978) полагает, что в основе половых различий в латерализации функций лежат эволюционно-социальные факторы: мужчины занимались охотой и руководили переселением, что и привело к лучшему у них развитию пространственных способностей, а вербальное превосходство женщин обусловлено воспитанием детей, что требует словесного общения. Однако имеются данные, что и у животных в отношении мозга наблюдается та же тенденция: асимметрия мозга у самцов крыс, кошек и китов выражена в большей степени, чем у самок (Бианки В. Л., 1985; Walker, 1980).
Имеются данные, что у мальчиков в момент рождения более зрелым является правое полушарие, а у девочек – левое (поэтому они начинают раньше говорить, чем мальчики). Худшее развитие левого полушария у мальчиков связано с тем, что, как утверждает Гешвинд, тестостерон в период внутриутробного развития человека замедляет развитие левого полушария головного мозга. Следствием этого является увеличение у представителей мужского пола правого полушария. Таким образом, именно им на роду написано стать выдающимися музыкантами, художниками, математиками. Этот вывод вроде бы подтверждается данными В. Д. Еремеевой и Т. П. Хризман (2001): в массовой школе более успешны в начальных классах мальчики правополушарного типа («художники») и девочки левополушарного («мыслители»). Однако в гимназии, где в первом классе введен иностранный язык и предметы преподаются разными учителями, у мальчиков картина обратная: более успешно учатся левополушарные, а не правополушарные.
По данным Д. Джианнитропани (Giannitropani D., 1981), у мужчин функциональная асимметричность мозга выражена сильнее, чем у женщин. Амплитудные характеристики альфа-ритма ЭЭГ у женщин в левом полушарии выражены слабее, чем в правом; у мужчин наблюдается обратная картина (Haynes W., Moore W., 1981). В. Ф. Коновалов и Н. А. Отмахова (1984) нашли, что межполушарная функциональная асимметрия (по ЭЭГ) у женщин при запечатлении различной информации выражена меньше, чем у мужчин. К сходным выводам при изучении функциональной асимметрии с помощью регистрации ЭЭГ пришли и другие исследователи (Ray W. et al., 1976; Trotman S., Hummond G., 1979; Warrenberg S., Pagano R., 1981).
Еще в древних мифологиях и обрядах правая сторона тела ассоциировалась с мужским, а левая – с женским началом (Иванов В. В., 1978). Конечно, эти представления были наивными, и все же половые различия в проявлении функциональной асимметрии выявляются.
Важной психофизиологической характеристикой является функциональная асимметрия больших полушарий головного мозга. Большинство авторов подчеркивают, что асимметрия мозговых структур больше выражена у мужчин по сравнению с женщинами, у которых речевые и пространственные способности представлены билатерально (Вольф, Разумникова, 2004, Доброхотова, Брагина, 2004). Различная выраженность межполушарной асимметрии обнаружена и в организации эмоций: у мужчин эмоциональная активность в основном проявляется в одном полушарии, а у женщин в обоих полушариях (Wanger et. al., 2003). Женщины демонстрируют более сильные психофизиологические ответы на эмоциональные стимулы. Такие различия могут быть обусловлены как биологическими факторами, так и социально-психологическими, допускающими более активное проявление эмоциональных реакций у женщин. Особенности межполушарного взаимодействия генетически запрограммированы, однако возможны их перестройки под влиянием различных социальных факторов.
Реброва Н. П., 2008, с. 327.По данным Брайдена (Bryden M., 1977), мужчины более склонны считать себя левшами, чем женщины. Однако встречаются и несовпадения самооценки с объективными данными. Показано, что леворукость у женщин связана с хорошими пространственными навыками, а у мужчин – c плохими.
Мужчины и женщины различаются по билатеральной электрокожной активности (Ketterer M., Smith B., 1977), по взаимосвязи разных форм асимметрии больших полушарий (Gur R. E., Gur R. C., 1977), латерализации эмоций (Alford R., Alford K., 1981; Borod J., Caron H., 1980; Graves R. et al., 1981; Ladavas E. et al., 1980). Показано, что при осмыслении слов мужчины пользуются преимущественно левым полушарием, а женщины – обоими. По теории Г. Ленсделла (Lansdell H., 1962), подтвержденной его собственными наблюдениями над больными эпилепсией и данными более поздних исследований, отделы мозга, отвечающие за пространственные и вербальные способности, у мужчин располагаются в противоположных полушариях, а у женщин приблизительно поровну в обоих полушариях. В связи с этим у мужчин поражение левого полушария ухудшает выполнение вербальных тестов, а поражение правого полушария – невербальных, у женщин успешность выполнения вербальных и невербальных тестов не зависит от того, какое полушарие повреждено. И если в результате несчастного случая повреждается левое полушарие, у женщин восстановление основных функций (за счет правого полушария) происходит быстрее, чем у мужчин.
При повреждениях левого полушария в результате кровоизлияния, опухоли или при оперативном удалении части височной доли по поводу эпилепсии дефицит вербальных функций у мужчин бывает гораздо больше, чем у женщин. Аналогичные повреждения правого полушария также приводят к большему дефициту функций невербального характера у мужчин по сравнению с женщинами (McGlone J., 1978). Афазия вследствие повреждения левого полушария возникает у мужчин в 3 раза чаще, чем у женщин, и имеет тяжелый характер. На этом основании был сделан вывод, что у женщин языковые и пространственные способности представлены более билатерально, чем у мужчин (MсGlone, 1980).
…Существуют предположения, что «центр» мужского полового поведения расположен в правой части, а женского – в левой части гипоталамуса (Филиппов Б. Е., 1992).
Известно, что существуют половые различия в организации центров, регулирующих секрецию гонадотропинов. «Женский» центр локализован в преоптической (в медиальном преоптическом ядре) и переднегипоталамической (в переднем гипоталамическом ядре) области мозга, а «мужской» – в области аркуатного ядра. Выявлены половые различия в размерах ядер преоптической области мозга, некоторых ядер гипоталамуса и миндалевидного комплекса.
Ткаченко А. А. и др., 2001, с. 24.Девочки распознают на ощупь предметы одинаково хорошо правой и левой рукой, между тем как мальчики значительно лучше распознают предметы, когда ощупывают их левой рукой.
В последние годы в мире ведется интенсивный поиск маркеров андрогенизации и дефеминизации ЦНС в пренатальный период, что часто рассматривается как важный механизм, лежащий в основе гендерных различий, носящих «эссенциальную» природу.
Ряд публикаций указывает на то, что отношение длины пальцев может рассматриваться как отражение процессов половой дифференцировки в период внутриутробного развития. Половой диморфизм касается второго и четвертого пальцев: у женщин указательный палец (2D) практически равен длине безымянного пальца (4D), тогда как у мужчин 2D в среднем короче, чем 4D, и эти соотношения устанавливаются в возрасте 2 лет (Manning J. et al., 1998). Меньшие 2D:4D отношения предполагают наличие воздействия больших уровней пренатальных андрогенов. Специальное исследование Вильямса и коллег (T. J. Williams, 2000) показало, что различия между полами были больше на правой руке.
Если представленная гипотеза справедлива, то можно предполагать, что маскулинизация мужчин эмбриональными андрогенами должна находить отражение в ряде полоспецифических особенностей.
Объектом изучения стали здоровые юноши 16–18 лет, которым предъявлялся универсальный трехфакторный семантический дифференциал Ч. Осгуда, полоролевой дифференциал, опросник «Уровень развития субъектности личности», методика Басса—Перри (BPAQ-24), а также было произведено измерение длины второго и четвертого пальцев обеих рук для составления пропорции длины пальцев (2D:4D).
Особый интерес представляли корреляционные связи между антропометрическими показателями (2D:4D) и результатами психологического тестирования. Оказалось, что достоверные связи есть лишь по методикам семантического и полоролевого дифференциалов.
Признаки снижения пренатального маскулинизирующего эффекта на правой руке сопровождались показателями ощущения недостаточной маскулинности и стремлением к ее преодолению. Такие молодые люди демонстрировали тенденцию к приверженности патриархатной модели гендерной схемы с признаками усиления поляризации на основе андроцентризма. Они стремились компенсировать субъективное ощущение недостаточной маскулинности через утверждение своего превосходства в интеллектуальной сфере. Признаки снижения пренатального маскулинизирующего эффекта на левой руке сопровождались иными изменениями. Такие юноши показывали усиление негативного отношения к лицам мужского пола и осознание своей фемининности – андрогинности, не приобретавшее характера внутриличностного конфликта. Обнаруживалось повышение значимости сексуально-эротической сферы и партнерских отношений с направленностью на более доминантного и поведенчески активного партнера.
Разделение выборки на четыре подгруппы в зависимости от соотношений 2D:4D на обеих руках позволило рассматривать среднегрупповые профили лиц с высокими и низкими андрогенезирующими влияниями.
В случаях недостаточной маскулинизации по показателям правой руки снижались показатели физической агрессии, выше оказывались показатели обдумывания и прогнозирования поведения, повышалась значимость идентификационного образа отца, выявлялась склонность к выбору более фемининных лиц противоположного пола (как вероятный способ самоутверждения), а гомосексуальность рассматривалась крайне негативно.
В подгруппе с недостаточной пренатальной маскулинизацией по параметрам пальцев левой руки более низкими оказываются показатели физической агрессии, гнева и враждебности. Большее значение придается эмоционально-коммуникативным качествам людей и межличностным отношениям, усиливается ориентированность на социум и окружающих людей. Показатели Я-идеального несколько завышены, более значим и близок к собственному Я образ желаемого любимого человека и сексуального партнера. Наблюдается улучшение отношения к своему телу, значительно более терпимое отношение к гомосексуалам.
Полученные результаты представляют несомненный интерес, так как не только продемонстрировали взаимосвязь между антропометрическими маркерами андрогенизации и гендерными особенностями, но и выявили наличие показателей, свидетельствующих о «разнополушарности» рук. Процесс неполной маскулинизации оказывал разнонаправленные воздействия на психологические особенности юношей в зависимости от преобладания этого эффекта на левом или правом полушарии.
Исаев Д. Д., Кравцов М. А., 2008, с. 285–287.Д. Лейк и М. Брайден (Lake D., Bryden M., 1976) выявили, что правое ведущее ухо у мужчин встречается чаще, чем у женщин (соответственно в 73,6 % и 62,2 %). Однако ряд исследователей считают эти различия случайными.
Вообще многие авторы отмечают, что выраженность функциональной асимметрии у женщин в целом ниже, чем у мужчин, и близка к таковой у амбидекстров и у лиц с семейной леворукостью (Jones B., 1979; Kail R., Siegel A., 1978; MacGlone J., 1980; Trotman S., Hummond G., 1979).








