О тестировании студентов гуманитарного вуза по Математике с помощью нейросетей

- -
- 100%
- +

Специальность: 040201.65 – Социология Группа: 11111 Дисциплина: Математика
Идентификатор студента:
Логин:
Начало тестирования:
Завершение тестирования:
Продолжительность тестирования:
Заданий в тесте: 44
Кол-во правильно выполненных заданий:
Процент правильно выполненных заданий:
1.ТЕСТОВЫЕ ЗАДАНИЯ.
ЗАДАНИЕ N 1
Тема: Точечные оценки параметров распределения
Проведено пять измерений (без систематических ошибок) некоторой случайной величины (в мм): 4,5; 5,2; 6,1; 7,8, 8,3. Тогда несмещенная оценка математического ожидания равна …
Выберите правильный ответ: 6,38; 6,42; 6,1; 6,4.
ЗАДАНИЕ N 2
Тема: Статистическое распределение выборки
Из генеральной совокупности извлечена выборка объема, гистограмма относительных частот которой имеет вид:
Тогда статистическое распределение выборки можно определить как …

ЗАДАНИЕ N 3
Тема: Интервальные оценки параметров распределения.
Дан доверительный интервал (4,26; 9,49) для оценки среднего квадратического отклонения нормально распределенного количественного признака. Тогда при увеличении надежности (доверительной вероятности) оценки доверительный интервал может принять вид …
Выберите правильный ответ: (4,14; 9,61); (4,26; 9,61); (4,14; 9,49); (4,06; 9,59).
ЗАДАНИЕ N 4
Тема: Элементы корреляционного анализа.
Выборочное уравнение прямой линии регрессии X на Y имеет вид x = – 4,72 + 2,36y. Тогда выборочный коэффициент корреляции может быть равен …
Выберите правильный ответ: 0,71; –0,50; 2,36; –2,0.
ЗАДАНИЕ N 5
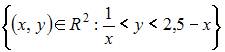
Тема: Мера плоского множества.
Мера плоского множества

Выберите правильный ответ: 15/8 – ln4; 5/8 + ln2; 1; 0.
ЗАДАНИЕ N 6
Тема: Отображение множеств.
Биективное отображение отрезка


Выберите правильный ответ: y = 0,5(x + 1); y = 0,5x + 1; y = x^2; y = x^3.
ЗАДАНИЕ N 7
Тема: Метрические пространства.
Функция

A2(x2, y2), …
Выберите правильный ответ: не удовлетворяет аксиоме треугольника; не удовлетворяет аксиоме симметрии; не удовлетворяет аксиоме тождества; удовлетворяет всем трем аксиомам метрического пространства
ЗАДАНИЕ N 8
Тема: Элементы теории множеств.
Даны два множества:



ЗАДАНИЕ N 9
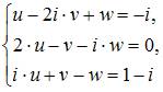
Тема: Системы линейных уравнений с комплексными коэффициентами.
Система(1) решается методом Крамера по формулам:

(1)



Тогда вспомогательный определитель

Выберите правильный ответ: 4 + 3i; – 6 + 3i; – 1 – I; 1 – I.
ЗАДАНИЕ N 10
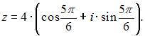
Тема: Комплексные числа и их представление.
Комплексное число задано в тригонометрической форме

Тогда алгебраическая форма записи сопряженного к нему числа

Выберите правильный ответ:




В этом задании правильным ответом является первый (самый верхний).
ЗАДАНИЕ N 11
Тема: Дифференцирование функции комплексного переменного.
Если


Выберите правильный ответ: – 36; – 12; 24;– 8.
ЗАДАНИЕ N 12
Тема: Область сходимости степенного ряда.
Радиус сходимости степенного ряда

Выберите правильный ответ:




В этом задании правильным ответом является первый (самый верхний).
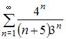
ЗАДАНИЕ N 13
Тема: Сходимость числовых рядов.
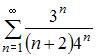
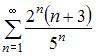
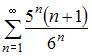
Расходящимся является числовой ряд … Выберите правильный ответ:




В этом задании правильным ответом является первый (самый верхний).
ЗАДАНИЕ N 14
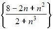
Тема: Числовые последовательности.
Бесконечно малой является числовая последовательность … Выберите правильный ответ:




В этом задании правильным ответом является первый (самый верхний).
ЗАДАНИЕ N 15
Тема: Численное дифференцирование и интегрирование.
На рисунке 1 изображена геометрическая интерпретация метода приближённого вычисления определенного интеграла, называемого методом …
Выберите правильный ответ: 1) правых прямоугольников; 2) левых прямоугольников; 3) парабол; 4) трапеций.

Рис.1.
ЗАДАНИЕ N 16
Тема: Интерполирование функций: интерполяционные полиномы Лагранжа.
Функция


Тогда значение

, вычисленное с помощью интерполяционного многочлена Лагранжа, равно …
Выберите правильный ответ: -3; 14; 5/12; – 8.
ЗАДАНИЕ N 17
Тема: Численные методы решения дифференциальных уравнений и систем.
Конец ознакомительного фрагмента.
Текст предоставлен ООО «Литрес».
Прочитайте эту книгу целиком, купив полную легальную версию на Литрес.
Безопасно оплатить книгу можно банковской картой Visa, MasterCard, Maestro, со счета мобильного телефона, с платежного терминала, в салоне МТС или Связной, через PayPal, WebMoney, Яндекс.Деньги, QIWI Кошелек, бонусными картами или другим удобным Вам способом.



