Управление персоналом в схемах и определениях

Издательство:
Автор
Метки:
высшее образование,магистратура,бакалавриат,подготовка к экзаменам,учебное пособие для студентов,персонал организацииЖанры:
экономика,менеджмент,гуманитарные и общественные науки,поиск и подбор персонала,классика менеджмента,книги по экономике,управление персоналом,учебное пособие для студентов,магистратура,подготовка к экзаменам,высшее образование,бакалавриат,персонал организации- -
- 100%
- +


ebooks@prospekt.org
Управление персоналом в схемах
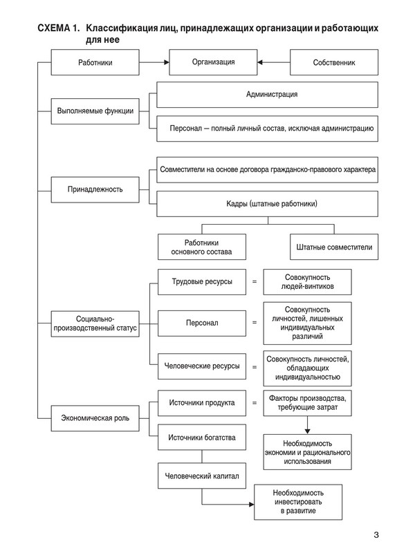
3

4

5

6

7

8

9

10

11

12

13

14

15

16

17

18

19

20

21

22

23

24

25

26

27

28

29

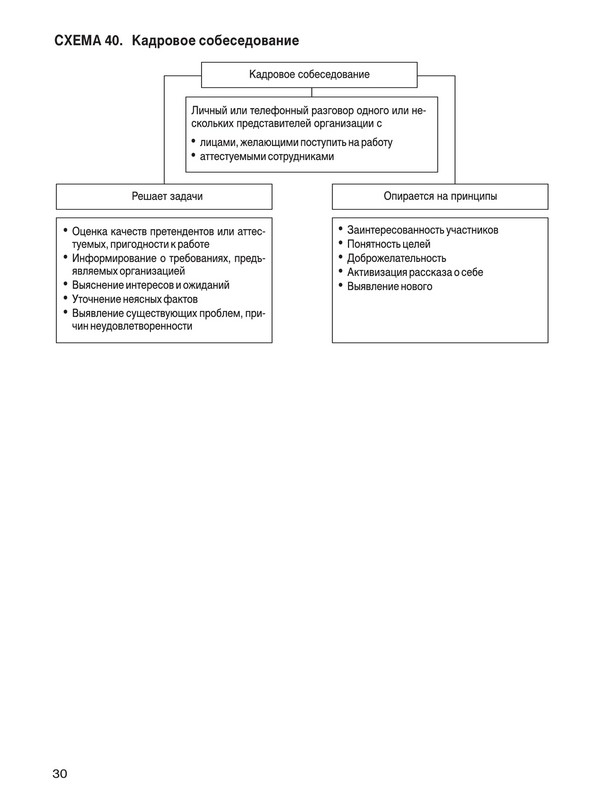
30

Конец ознакомительного фрагмента.
Текст предоставлен ООО «Литрес».
Прочитайте эту книгу целиком, купив полную легальную версию на Литрес.
Безопасно оплатить книгу можно банковской картой Visa, MasterCard, Maestro, со счета мобильного телефона, с платежного терминала, в салоне МТС или Связной, через PayPal, WebMoney, Яндекс.Деньги, QIWI Кошелек, бонусными картами или другим удобным Вам способом.





