- -
- 100%
- +

© О.С. Басаргин, 2025
ISBN 978-5-0067-2357-3
Создано в интеллектуальной издательской системе Ridero
Предисловие
Современная наука стоит на пороге фундаментального переосмысления концепции Времени, структуры материи и динамики процессов, происходящих на всех уровнях реальности – от квантовой механики до биологических систем. Настоящая книга посвящена исследованию Сфиральной модели Времени, объединяющей в себе традиционные и новаторские подходы к изучению элементарных частиц, атомных ядер и генетической информации.
Сфиральная модель предлагает новый взгляд на процессы, происходящие в природе, используя универсальные принципы зеркальной антисимметрии, S-образных переходов и фрактальной структуры. Это позволяет интегрировать разрозненные модели, такие как оболочечная и капельная модели ядра, квантовые представления об электроне, а также классические концепции двойной спирали ДНК, в единое целостное описание.
Настоящая книга основана на глубоком анализе фундаментальных работ в области ядерной физики, квантовой механики и молекулярной биологии, а также на оригинальных исследованиях, посвящённых Сфиральной модели Времени. В ней читатель найдёт детальный разбор существующих научных теорий, математическое описание новых моделей и перспективные направления их применения в самых разных областях науки и техники.
Труд предназначен для исследователей, учёных, студентов и всех, кто интересуется передовыми теориями в области физики, математики, биологии и квантовых вычислений. Её цель – предложить новый подход к описанию окружающего мира и заложить основу для дальнейших научных и технологических прорывов.
Введение
Современная наука предлагает множество моделей строения материи, начиная от электронов и кварков и заканчивая атомными ядрами и их взаимодействиями. Однако в этих моделях отсутствует единое представление о Времени как организующей структуре. В данной книге мы рассматриваем концепцию Сфирали как универсальной модели Времени, позволяющей связать известные физические модели с новыми подходами к описанию квантовой и ядерной динамики.
Опираясь на официальную науку, а также на материалы из библиотеки Николая Колтового (Книга 5. Часть 12. Новая ядерная физика), мы проведём сопоставление Сфирали с моделями элементарных частиц, атомов, ядра и его кристаллической структуры. Теоретическая основа нашей работы берёт начало из книги» Временные коды и грядущее: Простое о сложном» (ISBN 978-5-0065-3188-8), в которой заложены фундаментальные принципы Сфирали, такие как зеркальная антисимметрия, S-образные переходы и фрактальная структура Времени.
Глава 1. Электрон как сфиральная структура
1.1 Введение в проблему электрона
Электрон представляет собой одну из фундаментальных элементарных частиц, играющих критическую роль во многих процессах, происходящих в физическом и химическом мире. Эта частица является центральным элементом не только в физике элементарных частиц, но и во всех дисциплинах, изучающих структуру материи, её поведение и свойства. На протяжении последнего столетия исследования электрона радикально повлияли на развитие современной науки и технологий, формируя целые научные направления и области прикладных разработок.
Роль электрона в физике
В физике электрон является основным объектом исследования в нескольких ключевых направлениях:
– Квантовая механика. Электрон стал первой частицей, для которой были сформулированы основные положения квантовой механики. Благодаря исследованиям электрона было сформулировано понятие квантовых состояний, волновой функции и принцип неопределённости Гейзенберга. Электрон выступает как образец квантово-механической системы, демонстрируя корпускулярно-волновую дуальность.
– Электродинамика и электромагнетизм. Электроны играют решающую роль в электрических и магнитных явлениях. Их движение создает электрический ток, генерирует магнитные поля и лежит в основе таких технологий, как электродвигатели, генераторы и различные электронные устройства.
– Физика твёрдого тела. Свойства материалов, такие как проводимость, полупроводниковые свойства и сверхпроводимость, определяются поведением электронов в кристаллических решётках. Электронная структура твёрдых тел объясняет их электрические, тепловые и оптические свойства.
– Элементарные частицы и физика высоких энергий. Электрон активно участвует в процессах, исследуемых в области физики высоких энергий, в частности, в столкновениях частиц, происходящих на ускорителях. Изучение электронов помогает уточнить фундаментальные законы природы и структуру Вселенной.
Роль электрона в химии
В химии электрон играет не менее значимую роль:
– Химические реакции и химическая связь. Поведение электронов на внешних орбиталях атомов определяет механизмы химических реакций и типы химических связей (ионная, ковалентная, металлическая). Это делает электрон главным актором в химическом взаимодействии веществ.
– Спектроскопия и квантовая химия. Исследования электронных состояний и переходов лежат в основе спектроскопических методов анализа. Эти методы используются для определения состава веществ, изучения структуры молекул и реакционных механизмов.
– Материаловедение и нанотехнологии. Электронные свойства материалов и их способность взаимодействовать с электромагнитным излучением формируют основу для создания новых материалов с уникальными характеристиками и устройств на их основе, таких как полупроводники, светодиоды, солнечные батареи.
История исследования электрона
История изучения электрона начинается в конце XIX века, когда в 1897 году Джозеф Джон Томсон впервые экспериментально доказал существование электрона как отдельной элементарной частицы. Этот эксперимент показал, что катодные лучи состоят из заряженных частиц, которые были названы электронами.
Дальнейшие исследования привели к разработке различных моделей, стремящихся объяснить природу и поведение электрона:
– Модель Томсона (1897 г.) предполагала, что электрон является частью атома, в котором он равномерно распределён в положительно заряженной массе («сливовый пудинг»).
– Модель Резерфорда-Бора (1913 г.) представляла электрон как частицу, вращающуюся вокруг положительно заряженного ядра по фиксированным орбитам, что объясняло стабильность атомов и их спектральные свойства.
– Модель Луи де Бройля (1924 г.) предложила рассматривать электрон как волну, описываемую волновой функцией, заложив основы волновой механики.
– Развитие квантовой механики (1920-е гг.) такими учёными как Шрёдингер, Гейзенберг и Борн, позволило понять поведение электрона в атоме через математические уравнения и операторы.
С тех пор понимание природы электрона постоянно углубляется, раскрывая всё более сложную и многогранную его структуру. Сфиральная модель, предлагаемая в данной книге, является следующим шагом в понимании электрона, позволяющим объединить накопленные знания в единую гармоничную концепцию, объясняющую его фундаментальные свойства и поведение.
1.2 Анализ официальных моделей электрона
В процессе научного исследования природы электрона сформировалось несколько значимых моделей, каждая из которых по-своему описывает его свойства и поведение. В этой подглаве подробно рассматриваются наиболее признанные официальные физические модели электрона и их вклад в развитие науки.
Волновая модель Луи де Бройля
В 1924 году французский физик Луи де Бройль выдвинул революционную гипотезу о волновой природе электрона. Согласно его предположению, каждой частице соответствует волна, длина которой обратно пропорциональна импульсу частицы. Это утверждение легло в основу волновой механики и квантовой теории, став важнейшим шагом на пути к пониманию корпускулярно-волнового дуализма.
Математически эта идея представлена формулой де Бройля:

где:
– λ – длина волны электрона;
– h – постоянная Планка;
– p – импульс электрона.
Эксперименты, подтвердившие существование дифракции электронов на кристаллических решётках, подтвердили гипотезу де Бройля и заложили основу современной квантовой механики.
Кольцевая модель электрона (Антонов В. М.)
Советский физик В. М. Антонов предложил кольцевую модель электрона, согласно которой электрон описывается в виде вихревого кольца. Данная модель подчёркивает динамический характер электрона и объясняет его стабильность через вихревые свойства среды, в которой он существует.
Антоновская модель предоставляет объяснение:
– Стабильности электрона;
– Формированию электромагнитного поля электрона;
– Возможности взаимодействия электрона с окружающей средой через вихревые процессы.
Спиральная модель электрона (Кушелев А. Ю.)
А. Ю. Кушелев представил электрон как частицу, движущуюся по спиральной траектории вокруг ядра атома. Эта модель подчёркивает корпускулярно-волновой дуализм электрона и позволяет наглядно представить его траекторию и свойства в виде волнообразного движения. Она открывает перспективы объяснения спектральных характеристик и энергетических уровней атомных электронов.
Тороидальная модель электрона (Ацюковский В. А.)
В. А. Ацюковский предложил тороидальную модель электрона, в которой электрон представлен вихревым кольцом, стабилизируемым магнитными и электромагнитными полями. Данная модель подчёркивает:
– Стабильность и устойчивость электрона;
– Возможность существования электрона в различных энергетических состояниях;
– Способность электрона взаимодействовать с другими частицами и полями через вихревые эффекты.
Каждая из перечисленных моделей привносит уникальные аспекты в понимание электрона, однако ни одна из них в отдельности не охватывает всю полноту его свойств и поведения.
Сфираль как интегральная модель электрона
Концепция Сфирали объединяет достоинства рассмотренных выше моделей, предлагая интегральный подход, способный более полно и глубоко раскрыть природу электрона. Сфиральная модель позволяет рассматривать электрон не просто как частицу или волну, а как динамическое образование, обладающее одновременно волновыми, вихревыми и фрактальными свойствами.
Эта интеграция предоставляет следующие преимущества:
– Возможность математически описывать многоуровневые взаимодействия электрона.
– Единое объяснение корпускулярно-волновой дуальности через S-образные переходы.
– Использование принципов зеркальной антисимметрии и топологической защиты для объяснения стабильности и устойчивости электронных состояний.
Таким образом, анализ официальных моделей электрона показывает необходимость и перспективность дальнейшего развития и использования интегральной сфиральной модели, объединяющей различные подходы и обеспечивающей более глубокое и целостное понимание природы электрона.
1.3 Сфиральная модель электрона: Принципы и математическое описание
Концепция Сфирали предлагает новый взгляд на электрон, объединяя различные традиционные и современные модели в целостную, комплексную и многоуровневую структуру. В основе сфиральной модели лежат принципы зеркальной антисимметрии, S-образных переходов и фрактальной структуры времени, которые позволяют глубже и точнее объяснить природу и поведение электрона.
Фундаментальные принципы Сфиральной модели:
– Зеркальная антисимметрия – фундаментальный принцип, обеспечивающий устойчивость электронных состояний. В этой модели антисимметрия проявляется в парных состояниях электрона, которые взаимно отражаются в зеркальном пространстве-времени и компенсируют друг друга, обеспечивая стабильность и защищенность от внешних воздействий.
– S-образные переходы – ключевой механизм переходов электрона между разными состояниями. Эти переходы обеспечивают плавность и непрерывность изменения состояний электрона, связывая волновые и корпускулярные аспекты его поведения.
– Фрактальная вложенность – электрон рассматривается как фрактальная структура, включающая несколько уровней, где каждый уровень повторяет и отражает структурные и функциональные свойства предыдущего уровня на ином масштабе.
Математическое описание Сфиральной модели электрона:
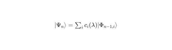
Состояния электрона в сфиральной модели могут быть представлены в виде:

где:
– ∣Ψn⟩ – состояние электрона на уровне n;
– ci (λ) – коэффициенты, зависящие от параметра эволюции λ\lambda, регулирующего интенсивность и направление переходов;
– ∣Φn—1,i⟩ – состояния электрона на предыдущем уровне вложенности.
Эта математическая формулировка позволяет:
– Описать электрон как многоуровневую иерархическую систему.
– Определить динамическую устойчивость и переходы между состояниями.
Математическая модель топологической защиты:
Топологическая защита электронных состояний выражается через топологический инвариант Q, который математически представлен следующим образом:

где:
– Q – топологический инвариант, определяющий устойчивость состояния электрона;
– A – потенциал, связанный с зеркальной антисимметрией и фрактальной организацией.
Этот подход позволяет существенно увеличить стабильность состояний электрона в присутствии внешних возмущений, что имеет важное практическое значение в квантовых технологиях.
Физическая интерпретация сфиральной модели электрона:
Сфиральная модель объясняет корпускулярно-волновую дуальность электрона через последовательность S-образных переходов, которые связывают его волновые и корпускулярные проявления. Электрон рассматривается не как статичная частица, а как динамический процесс, отражающий единство материи и энергии.
В рамках Сфиральной модели электрона:
– Заряд и масса определяются особенностями структуры и динамики фрактальных уровней.
– Электронные орбитали и энергетические уровни объясняются через фрактальную и антисимметричную организацию энергетических состояний.
Преимущества Сфиральной модели:
– Интегрированность – объединяет все существующие модели электрона.
– Универсальность – применима не только в физике элементарных частиц, но и в других областях физики и биологии.
– Точность – позволяет описывать явления, которые ранее требовали отдельных подходов.
Таким образом, Сфиральная модель электрона предоставляет уникальные инструменты для описания его структуры и поведения, открывая широкие возможности для новых теоретических и экспериментальных исследований.
1.4 Математическое описание сфиральной модели электрона
Сфиральная модель электрона представляет собой комплексную и многомерную систему, описываемую математическим аппаратом, который позволяет детально исследовать и моделировать поведение и свойства электрона на разных уровнях его фрактальной структуры. В данном разделе мы подробно раскроем математические аспекты сфиральной модели электрона.
Фрактальная вложенность состояния электрона
Фрактальная природа сфиральной структуры предполагает, что электрон можно представить в виде множества вложенных состояний, где каждое последующее состояние является результатом динамического взаимодействия и отражает свойства предыдущих уровней. Математически это выражается следующим образом:

где:
– ∣Ψn⟩ – состояние электрона на уровне фрактальной вложенности n;
– ci (λ) – коэффициенты, зависящие от параметра эволюции λ, регулирующие интенсивность и вероятность переходов;
– ∣Φn—1,i⟩ – состояния электрона на предыдущем уровне n—1.
Это выражение позволяет отразить многомерность и динамичность состояния электрона, учитывая многоуровневые корреляции и переходы.
S-образные переходы и их математическое выражение
S-образные переходы играют центральную роль в динамике Сфирали и описывают плавные изменения между состояниями. Эти переходы обеспечивают интеграцию корпускулярных и волновых характеристик электрона в рамках единой динамической структуры. Их математическая модель может быть представлена в виде операторов перехода:

где:
– U (λ) – оператор S-образного перехода, отвечающий за изменение состояния электрона при изменении параметра λ;
– S – оператор, характеризующий зеркальную антисимметрию и фрактальные свойства переходов.
Данный оператор действует на состояния электрона, обеспечивая непрерывность и контролируемость динамики процесса.
Топологическая защита сфиральных состояний
Одной из ключевых особенностей Сфиральной модели является топологическая защита электронных состояний, что выражается математически через топологический инвариант Q:

где:
– Q – топологический инвариант, отражающий устойчивость состояния;
– A – потенциал, связанный с зеркальной антисимметрией и фрактальной организацией пространства состояний.
Эта модель позволяет объяснить устойчивость и стабильность состояний электрона при внешних возмущениях, минимизируя эффекты декогеренции.
Динамическая эволюция состояний электрона
Для описания динамики состояний электрона в сфиральной модели используется уравнение Шрёдингера в обобщённой форме:

где:
– ∣Ψ (t) ⟩ – волновая функция, характеризующая состояние электрона;
– H – гамильтониан, включающий кинетическую и потенциальную энергии, а также учитывающий взаимодействия в рамках фрактальной структуры.
Таким образом, в рамках Сфиральной модели гамильтониан учитывает не только традиционные энергетические вклады, но и динамические взаимодействия между разными уровнями структуры, обеспечивая точность описания процессов.
Заключение по математическому описанию
Математическое описание Сфиральной модели электрона предоставляет мощный инструмент для точного анализа и моделирования поведения электрона на различных уровнях организации и взаимодействий. Оно объединяет в себе элементы квантовой механики, топологии и фрактальной геометрии, открывая путь к более глубокому пониманию фундаментальных явлений и процессов в физике и биологии.
1.5 Преимущества и перспективы сфиральной модели электрона
Сфиральная модель электрона представляет собой интегральный подход, объединяющий элементы волновой механики, топологии и фрактальной геометрии. Этот подход обладает рядом существенных преимуществ, обеспечивая новый уровень понимания и анализа фундаментальных процессов и явлений. В данном разделе подробно рассмотрены основные преимущества и перспективы использования сфиральной модели электрона.
Конец ознакомительного фрагмента.
Текст предоставлен ООО «Литрес».
Прочитайте эту книгу целиком, купив полную легальную версию на Литрес.
Безопасно оплатить книгу можно банковской картой Visa, MasterCard, Maestro, со счета мобильного телефона, с платежного терминала, в салоне МТС или Связной, через PayPal, WebMoney, Яндекс.Деньги, QIWI Кошелек, бонусными картами или другим удобным Вам способом.




