Методы тестирования радиооборудования сети LTE. Подробный анализ

- -
- 100%
- +

© Александр Сергеевич Константинов, 2016
ISBN 978-5-4483-3011-7
Создано в интеллектуальной издательской системе Ridero
Предисловие
Проектирование, создание и тестирование систем мобильной связи (СМС) требуют грамотного анализа происходящих процессов. Помимо того, что характеристики радиоподсистем современных сетей мобильной связи строго определены спецификациями, они также должны удовлетворять требованиям, изложенным в соответствующих нормативно-правовых документах. На современном этапе развития сетей от них требуется не просто наличие самого факта функционирования, но обеспечение наилучшего качества предоставляемых услуг. В связи с этим тестирование радиооборудования и оптимизацию СМС необходимо проводить в течение всего их жизненного цикла. В зависимости от этапа жизненного цикла СМС осуществляются необходимые тестовые испытания, проведению которых предшествуют предварительные испытания на соответствие стандарту. При предварительных испытаниях не обязательно проводить полный набор тестов, указанных в спецификациях: достаточно провести только те тесты, результаты которых в совокупности будут доказывать оптимальность реализованного проекта, обеспечивать надежную работу системы с высоким качеством и соответствие требованиям нормативных документов.
Следует отметить, что публикации на русском языке, посвященные определению и анализу используемых в современной инженерной практике параметров и характеристик радиочастотного оборудования мобильной связи, а также методов тестирования радиоподсистем СМС, крайне немногочисленны.
При написании настоящей книги были поставлены следующие задачи:
– сделать аналитический обзор радиоинтерфейса сети LTE;
– выделить основные тенденции в развитии стандарта LTE;
– с использованием соответствующих нормативных документов сформировать набор показателей, позволяющих всесторонне оценивать качество функционирования радиооборудования стандарта LTE, и привести их краткое описание;
– провести полный анализ методов тестирования радиооборудования стандарта LTE;
– сделать обзор основных видов контрольно-измерительного оборудования, в том числе современных программно-аппаратных комплексов, используемых для тестирования радиоподсистем мобильной связи.
1. Обзор и анализ нормативной документации
1.1. Обзор нормативной документации
LTE (Long-Term Evolution) – цифровой стандарт сотовой мобильной связи, сменивший UMTS (Universal Mobile Telecommunications System). LTE обладает обратной совместимостью со стандартами мобильной связи второго и третьего поколений. Главной особенностью, присущей исключительно LTE, является использование эволюционной системной архитектуры сети (SAE, System Architecture Evolution), схематичное изображение которой приведено на рисунке 1.1.

Рисунок 1.1. Архитектура сети LTE
На рисунке 1.1 приведены следующие обозначения:
APPLICATIONS – уровень приложений и услуг, предоставляемых на базе протокола IP (Internet Protocol);
APPS – различные сервисные приложения;
CORE – ядро сети LTE, которое также называется усовершенствованным пакетным ядром (EPC, Evolved Packet Core);
eNB – Evolved Node B, базовая станция сети LTE;
Gx – интерфейс взаимодействия между P-GW и PCRF, предназначенный для передачи правил тарификации от PCRF к шлюзу PDN;
HSS – Home Subscriber Server, сервер хранения абонентских данных;
IMS – IP Multimedia Subsystem, система предоставления мультимедийных услуг;
LTE-Uu – радиоинтерфейс, посредством которого абонент получает доступ к сети радиодоступа;
MME – Mobility Management Entity, узел управления мобильностью абонентов сети LTE;
PCRF – Policy and Charging Rules Function, узел управления тарификацией и выставления счетов абонентам за оказанные услуги;
PDN – Public Data Network, внешние IP – сети;
P-GW – Public Data Network SAE Gateway, шлюз доступа к сетям других операторов;
S-GW – Serving SAE Gateway, обслуживающий шлюз сети LTE, который предназначен для обработки и маршрутизации пакетных данных, поступающих в подсистему базовых станций или из нее;
RAN – Radio Access Network, сеть радиодоступа;
Rx – интерфейс, посредством которого на узел PCRF передается информация о порядке тарификации за пользование мультимедийными приложениями и сервисами;
S1-MME – интерфейс взаимодействия между базовыми станциями сети LTE и узлом MME;
S1-U – интерфейс взаимодействия между сетью радиодоступа и ядром сети LTE; по нему передаются пользовательские данные;
S5 – интерфейс взаимодействия между различными шлюзами S-GW, либо между шлюзами S-GW и P-GW, предназначенный для передачи пользовательских данных;
S6a – интерфейс взаимодействия между MME и HSS, используемый для передачи данных абонентского профиля, а также осуществления процедур аутентификации в сети LTE;
S8 – интерфейс, аналогичный S5, который используется вместо последнего, если P-GW и S-GW находятся в разных сетях (например, при обслуживании абонента в роуминге);
S10 – интерфейс взаимодействия между различными узлами ММЕ, позволяющий обслуживать абонента при его перемещениях или при нахождении в роуминге;
S11 – интерфейс взаимодействия между узлом MME и шлюзом S-GW;
SGi – интерфейс взаимодействия между P-GW и внешними IP – сетями;
Sp – интерфейс взаимодействия сервера HSS и узла PCRF;
UE – уровень пользователя;
X2 – интерфейс взаимодействия между различными базовыми станциями; базовые станции в сети LTE соединены по принципу «каждый с каждым».
На рисунке 1.1 пунктирными линиями обозначены пути передачи сигнализации, а сплошными – пути передачи пользовательского трафика.
На настоящее время выпущен целый ряд нормативных документов, описывающих все аспекты LTE. Основной вклад в их разработку был внесен консорциумом 3GPP (The 3rd Generation Partnership Project, основан в декабре 1998 г.), непосредственно определившим стандарт в серии спецификаций восьмой редакции (release 8), полная версия которых была утверждена в марте 2009 года. Дальнейшее развитие стандарта в девятой редакции является незначительным, представляя собой доработку и улучшение предыдущей редакции: введена полная интеграция концепции фемтосот (Home eNB, Home Evolved Node B), в аспекте SON (Self-Organizing Networks) добавлены новые функции оптимизации, в аспекте MBMS (Multimedia Broadcast Multicast Services) добавлены спецификации для высокоуровневых слоев радиоинтерфейса (Uu, UMTS air interface), добавлен режим передачи с двухуровневым формированием диаграммы направленности (Dual-Layer Beam Forming), расширены услуги, основанные на данных о местоположении абонентской станции (UE, User Equipment), в стандарт добавлены новые полосы частот в диапазонах 800 МГц и 1500 МГц. Полная версия спецификаций девятой редакции была утверждена в марте 2010 г.
Начиная с десятой редакции стандарт LTE претерпел ряд значительных модификаций, и было принято решение с этой редакции называть стандарт LTE-Advanced. Основные отличия LTE-Advanced: добавлена функция объединения несущих (CA, Carrier Aggregation) с целью значительного расширения полосы пропускания, улучшена технология множественного доступа в восходящем канале за счет принятия кластерного SC-FDMA, добавлена возможность координированной передачи/приема CoMP для улучшения качества связи на границе соты, антенные системы базовых станций (БС) MIMO (Multiple Input Multiple Output) стали поддерживать до восьми уровней передачи в нисходящем канале, антенные системы абонентских станций MIMO стали поддерживать до четырех уровней передачи в восходящем канале, стала поддерживаться функция ретрансляции, введена расширенная поддержка гетерогенных сетей HetNet (Heterogeneous Networks). Основной целью введения данных модификаций являлось соответствие требованиям МСЭ (Международный Союз Электросвязи) по скорости передачи данных, допустимой полосе пропускания и спектральной эффективности, определенным для нового поколения мобильной связи 4G. Поставленная цель была достигнута: улучшенный стандарт LTE Advanced, в отличие предыдущих редакций LTE, был утвержден МСЭ в качестве стандарта связи четвертого поколения в январе 2012 г. На настоящее время утверждены полные версии спецификаций LTE-Advanced одиннадцатой (в марте 2013 г.) и двенадцатой редакций (в марте 2015 г.). В одиннадцатой редакции усовершенствованы технологии объединения несущих, MBMS, SON, CoMP и FeICIC (Further Enhanced Inter-Cell Interference Coordination), усовершенствован канал физического уровня PDCCH (E-PDCCH), улучшена поддержка фемтосот, усовершенствован процесс контроля качества обслуживания QoS (Quality of Service), добавлены спецификации, нацеленные на оптимизацию работы батареи абонентской станции и дополнительную защиту сети радиодоступа RAN (Radio Access Network) от перегрузок, улучшено межсетевое взаимодействие с сетями Wi-Fi. В двенадцатой редакции продолжены работы по усовершенствованию стандарта LTE-Advanced, а также появилась возможность объединения несущих парных (FDD, Frequency Division Duplex) и непарных (TDD, Time Division Duplex) участков спектра.
В таблице 1.1 представлены параметры радиоинтерфейса LTE-Advanced.

Таблица 1.1. Параметры радиоинтерфейса LTE-Advanced
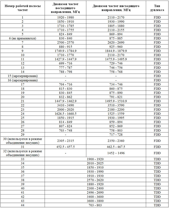
В таблице 1.2 представлены рабочие полосы частот и соответствующие им частотные диапазоны стандарта LTE двенадцатой редакции (подпункт 5.5 спецификации ETSI TS 136.141). По данным, приведенным в этой таблице, можно сделать вывод о высокой степени гибкости стандарта в этом аспекте.

Таблица 1.2. Поддерживаемые диапазоны частот LTE двенадцатой редакции
Технические спецификации вышеуказанных редакций описывают стандарт LTE/LTE-Advanced и публикуются независимо шестью партнерами (Organizational Partners) консорциума 3GPP: ARIB (The Association of Radio Industries and Businesses, Japan), ATIS (The Alliance for Telecommunications Industry Solutions, USA), CCSA (China Communications Standards Association), ETSI (The European Telecommunications Standards Institute), TSDSI (Telecommunications Standards Development Society, India), TTA (Telecommunications Technology Association, Korea) и TTC (Telecommunication Technology Committee, Japan). Опубликованные таким образом документы являются теми же спецификациями 3GPP, но выпущенными в различных форматах. На официальном сайте 3GPP доступной для скачивания является версия спецификаций в формате ETSI. В России стандарт LTE описан в приказах Минкомсвязи №128, №129 и №130 от 06.06.2011 г. на основе вышеуказанных спецификаций 3GPP.
1.2. Анализ нормативной документации
В соответствии с классификацией 3GPP, приведенной в таблице 1.3, технологии радиодоступа LTE-Advanced двенадцатой редакции описаны спецификациями 36-й серии.

Таблица 1.3. Классификация спецификаций 3GPP
Спецификации любой из серий являются либо техническими спецификациями TS (Technical Specifications), либо техническими отчетами TR (Technical Reports). Технические спецификации определяют стандарт и являются конечным продуктом деятельности 3GPP, в то время как технические отчеты представляют собой рабочие документы на промежуточной стадии разработки. На настоящее время в 36 серию входит более 200 спецификаций, но только 69 из них являются техническими спецификациями. В аспекте тестирования радиооборудования (РО) сети LTE особый интерес представляют следующие технические спецификации: ETSI TS 136.101 (описывает предельно допустимые параметры абонентских станций), ETSI TS 136.508 (описывает исходные условия и тестовые модели, применяемые по умолчанию для тестирования абонентских станций, если в методике не указано другое), ETSI TS 136.521—1 (описывает методы тестирования абонентских станций, является основной спецификацией), ETSI TS 136.104 (описывает предельно допустимые параметры eNB) и ETSI TS 136.141 (описывает исходные условия, тестовые конфигурации, тестовые модели и методы тестирования eNB, является основной спецификацией). Следует отметить, что именно eNB образуют усовершенствованную универсальную наземную подсистему радиодоступа (E-UTRAN, Evolved Universal Terrestrial Radio Access Network) сети LTE. Проанализируем поочередно спецификации, относящиеся к eNB, и спецификации, относящиеся к абонентским станциям.
Согласно ETSI TS 136.141 при аттестационных испытаниях eNB следует проверять три типа параметров: радиочастотные характеристики передатчиков, приемников и параметры производительности uplink-каналов (UL-каналов) физического уровня (Physical Layer) радиоинтерфейса PUSCH (Physical Uplink Shared Channel), PUCCH (Physical Uplink Control Channel) и PRACH (Physical Random Access Channel). К параметрам радиооборудования относятся первые два типа, третий тип относится к сетевым аспектам.
К тестируемым параметрам передатчиков относятся: выходная мощность, динамический диапазон полной мощности, уровень мощности передатчика в выключенном состоянии, время перехода передатчика между состояниями ON/OFF, погрешность частоты, величина вектора ошибки (EVM, Error Vector Magnitude), ошибка выравнивания радиочастотных сигналов по времени, мощность ресурсного элемента опорного символа в нисходящем канале, используемая ширина полосы частот, коэффициент утечки мощности в соседний канал, величина нежелательных излучений в рабочей полосе частот (band), величина побочных излучений и уровень интермодуляций. Тестируемые параметры, их номинальные значения и величины максимальных погрешностей для каждого вида теста передатчиков указаны в таблице 1.4.

Таблица 1.4. Тестируемые параметры передатчиков eNB

Продолжение таблицы 1.4. Тестируемые параметры передатчиков eNB
К тестируемым параметрам приемников относятся: эталонная чувствительность, динамический диапазон, внутриканальная избирательность, избирательность по соседнему каналу (ACS, Adjacent Channel Selectivity), уровень блокирования, уровень паразитных излучений и уровень интермодуляций нелинейных элементов приемника. Тестируемые параметры, их номинальные значения и величины максимальных погрешностей для каждого вида теста приемников указаны в таблице 1.5.

Таблица 1.5. Тестируемые параметры приемников eNB

Продолжение таблицы 1.5. Тестируемые параметры приемников eNB
Cогласно ETSI TS 136.521—1 при аттестационных испытаниях абонентских станций следует проверять следующие параметры: радиочастотные характеристики передатчиков, приемников, параметры производительности downlink-каналов физического уровня радиоинтерфейса Uu PDSCH (Physical Downlink Shared Channel), PCFICH (Physical Control Format Indicator Channel), PDCCH (Physical Downlink Control Channel), PHICH (Physical Hybrid ARQ Indicator Channel), PBCH (Physical Broadcast Channel), EPDCCH (Evolved PDCCH), индикаторы состояния канала CQI (Channel Quality Indicator), индикаторы выбора прекодирующей матрицы PMI (Precoding Matrix Indicator), индикаторы приоритетности (ранга) RI (Rank Indicator) и параметры производительности мультимедийных сервисов MBMS. Необходимо отметить, что описанию тестирования радиооборудования отведен значительно меньший объем документа. Большая часть описывает сетевые процедуры, связанные с необходимостью осуществления полномасштабной обратной связи относительно eNB посредством сигнализации абонентских станций, значение которой трудно переоценить, однако далее будут рассмотрены только первые два проверяемых пункта, относящиеся к передатчикам и приемникам, как имеющие непосредственное отношение к тестированию радиооборудования.
К тестируемым параметрам передатчиков абонентских станций относятся: выходная мощность, предел снижения мощности (MPR, Maximum Power Reduction; снижение максимальной выходной мощности происходит при переходе на более высокий порядок модуляции и/или при увеличении числа ресурсных блоков), точность настройки выходной мощности (учитывается параметр MPR), минимальная выходная мощность, уровень мощности передатчика в состоянии OFF, уровни мощности временной маски, точность управления выходной мощностью, погрешность частоты, величина вектора ошибки, утечка мощности несущей, внутриполосные излучения нераспределенных ресурсных блоков, EVM-коррекция плоскостности спектра (определяется при помощи корректировочных коэффициентов, полученных в ходе измерения EVM), используемая ширина полосы частот, спектральная маска, коэффициент утечки мощности в соседний канал, величина побочных излучений, уровень интермодуляций и ошибка времени выравнивания (TAE, Time Alignment Error).
Следует отметить, что структура спецификации ETSI TS 136.521—1 содержит дополнительные разделы, описывающие методику тестирования параметров мощности передатчиков для HPUE (High Power UE; имеются в виду все типы абонентских станций класса мощности 1, определенные в спецификациях, начиная с редакции 10). Также следует отметить, что присутствует разделение методик тестирования всех параметров передатчиков (за одним исключением) для абонентских станций, абонентских станций, использующих CA, и абонентских станций, использующих UL-MIMO. Исключение – ошибка времени выравнивания (методика тестирования данного параметра приведена исключительно для абонентских станций, использующих UL-MIMO). Тестируемые параметры, их номинальные значения и величины максимальных погрешностей для каждого вида теста передатчиков указаны в таблице 1.6.

Таблица 1.6. Тестируемые параметры передатчиков абонентских станций

Продолжение таблицы 1.6. Тестируемые параметры передатчиков абонентских станций

Продолжение таблицы 1.6. Тестируемые параметры передатчиков абонентских станций

Продолжение таблицы 1.6. Тестируемые параметры передатчиков абонентских станций
К тестируемым параметрам приемников абонентских станций относятся: эталонная чувствительность, максимальный уровень входного сигнала, избирательность по соседнему каналу, уровень блокирования, паразитный отклик (уровень паразитных составляющих), уровень интермодуляций и уровень паразитных излучений.
Следует отметить, что структура спецификации ETSI TS 136.521—1 содержит разделение методик тестирования параметров приемников (за одним исключением) для абонентских станций, абонентских станций, использующих CA, и абонентских станций, использующих UL-MIMO. Исключение – уровень паразитных излучений: методика тестирования данного параметра представлена без разделений. Тестируемые параметры, их номинальные значения и величины максимальных погрешностей для каждого вида теста приемников абонентских станций указаны в таблице 1.7.

Таблица 1.7. Тестируемые параметры приемников абонентских станций

Продолжение таблицы 1.7. Тестируемые параметры приемников абонентских станций
Для оценки того или иного параметра необходимо использовать значение максимально допустимого отклонения применительно к значению, указанному в минимальных требованиях, с целью обеспечения более мягких условий теста. При тестировании радиооборудования сети LTE крайне важно ориентироваться на основные спецификации, разработанные 3GPP, поскольку производные документы (приказы министерства связи, правила эксплуатации и т.п.) часто выпускаются в сокращенном виде, содержат неточности перевода и имеют совершенно другую структуру описания, что делает данные документы непригодными для использования в качестве методики тестирования. Например, в приказах министерства связи, относящихся к абонентским станциям LTE, параметр эталонной чувствительности приемников описан в сокращении, а значения указаны уже с учетом допусков тестирования без пояснений. Таким образом, инженеру, взявшему данный документ с намерением протестировать приемники абонентских станций LTE, невозможно будет понять, какие допуски считать приемлемыми.
Важно отметить, что стандарт LTE, взявший название LTE-Advanced с редакции 10, является «живым», развивающимся на настоящее время стандартом мобильной связи. Наряду с выпускаемой редакцией уже ведутся работы над последующей редакцией, а между утверждениями окончательных версий предыдущей и последующей редакций редко проходит более полутора лет. Поэтому довольно часто можно наблюдать в спецификациях отсутствие требований к ряду параметров, которые должны быть определены, например, для дополнительных рабочих полос частот. В таких случаях указывается «FFS», «For Further Study», что означает «для дальнейших исследований».
Как можно видеть по приведенным выше основным различиям редакций с 8 по 12, с каждым выпуском очередной редакции редко добавляется что-то принципиально новое. Большая часть усовершенствований касается уже существующих технологий, что говорит о большом потенциале развития стандарта.
2. Методы тестирования радиооборудования стандарта LTE
2.1. Особенности проведения тестирования радиооборудования базовых станций
Методы тестирования параметров радиооборудования, приведенные в соответствующих спецификациях, не предполагают определения особенностей проведения тестирования какого-либо параметра, вследствие чего в процессе тестирования им может быть уделено недостаточное внимание и допущены соответствующие ошибки. Целью анализа, произведенного в настоящей главе, является определение особенностей тестирования всех параметров радиооборудования базовых и абонентских станций стандарта LTE и выделение их в отдельные подпункты, представляющие собой логические блоки с подробным описанием.
2.1.1. Особенности настройки базовой станции перед проведением тестирования
Для возможности проведения конформного тестирования базовой станции требуются заявления производителя, включающие описания поддерживаемых рабочих полос частот и частотных диапазонов в них соответственно, поддерживаемых значений ширины полосы частот одного радиоканала, класса мощности базовой станции и номинальных значений выходной мощности для каждого из поддерживаемых значений ширины полосы частот одного радиоканала, категории побочных излучений передатчиков, соответствия дополнительным требованиям к величине нежелательных излучений в рабочей полосе частот в случае, если базовая станция предназначена для работы в регионах, предъявляющих данные требования, особенностей совместной работы и размещения с базовыми станциями других стандартов, а также дополнительные описания характеристик для определения поддерживаемых радиочастотных конфигураций. Согласно пп. 4.6.8 спецификации ETSI TS 136.141, к таким характеристикам относятся: возможность проведения различных операций с несмежными участками спектра частот (если такие операции не поддерживаются, то не требуется описание прочих характеристик для подобных операций), поддерживаемые рабочие полосы частот из списка в пп. 5.5 спецификации ETSI TS 136.141 и поддерживаемые в них частотные диапазоны соответственно, максимальное значение ширины полосы частот в каждой рабочей полосе частот при работе со смежными и несмежными участками спектра частот соответственно, поддерживаемые рабочие конфигурации для данной рабочей полосы частот (возможность работы с несколькими несущими, использования функции объединения несущих и/или работы с одной несущей частотой), поддерживаемые комбинации компонентов несущей частоты при номинальном разносе каналов для данной рабочей полосы частот, номинальное значение выходной мощности для одной несущей при проведении различных операций со смежными и несмежными участками спектра частот, номинальное значение полной выходной мощности (совокупно для всех несущих) при проведении различных операций со смежными и несмежными участками спектра частот, а также максимальное число поддерживаемых несущих в данной рабочей полосе частот. Если номинальное значение полной выходной мощности не соответствует максимальному числу поддерживаемых несущих в какой-либо рабочей полосе частот, то для таких полос частот требуется дополнительно указать, насколько сокращается число несущих при номинальном значении полной выходной мощности, и насколько сокращается данное значение при использовании максимального числа поддерживаемых несущих. Перечисленные характеристики применимы к базовым станциям, поддерживающим работу в одной рабочей полосе частот. Для базовых станций, поддерживающих работу в нескольких рабочих полосах частот, помимо указанных характеристик, которые должны применяться к каждой из поддерживаемых рабочих полос частот, требуется описание следующих дополнительных характеристик: поддерживаемые комбинации рабочих полос частот, поддерживаемые рабочие полосы частот для каждого антенного коннектора, поддержка работы с несколькими рабочими полосами частот соответствующих передатчиков и приемников с указанием подключаемых к ним антенных коннекторов, полное число несущих для поддерживаемых комбинаций рабочих полос частот, максимальное число несущих для каждой рабочей полосы частот при проведении различных операций с несколькими полосами частот, значение полной ширины полосы частот передатчика и приемника для поддерживаемых комбинаций рабочих полос частот, максимальное значение ширины полосы частот для каждой поддерживаемой рабочей полосы частот при проведении различных операций с несколькими полосами частот, максимальная пропускная способность в режиме передачи и приема для поддерживаемых комбинаций рабочих полос частот, полная выходная мощность суммарно для всех поддерживаемых рабочих полос частот при использовании поддерживаемых комбинаций таких полос частот, максимальная поддерживаемая разностная мощность между любыми двумя несущими в любых двух различных поддерживаемых рабочих полосах частот, номинальное значение выходной мощности для одной несущей при проведении различных операций с несколькими полосами частот, номинальное значение полной выходной мощности для каждой поддерживаемой рабочей полосы частот при проведении различных операций с несколькими полосами частот, а также любые ограничения каких-либо одновременных операций для поддерживаемых комбинаций рабочих полос частот, которые могут иметь значение при выборе тестовой конфигурации как для базовых станций, работающих в режиме FDD, так и для базовых станций, работающих в режиме TDD.



