Конфликтологическая культура специалиста: технологии формирования

- -
- 100%
- +
В отличие от профилактики (в виде различных превентивных мер) и прогнозирования (предположения) конфликтов, необходимость предотвращения конфликта возникает в том случае, когда профилактических мер оказалось недостаточно и по результатам прогноза выявлены признаки назревающего конфликта или сложившейся конфликтной ситуации, которая в любой момент может перейти в конфликт.
Избежать конфликта можно, избегая непосредственных контактов с конфликтными людьми, с теми, кто вас чем-то раздражает, кого раздражаете вы. Если в силу обстоятельств избежать общения с трудными людьми не удается, то во взаимоотношениях с ними следует использовать соответствующий подход. Все эти одходы, по мнению Джинни Скотт [298], построены на следующих основных принципах:
1) Осознайте, что человек труден в общении, и определите, к какому типу людей он относится.
2) Не попадите под влияние этого человека, его точки зрения, мироощущения; сохраняйте спокойствие и нейтралитет.
3) Если вы не хотите уклониться от общения с таким человеком, постарайтесь поговорить с ним и выявить причины его «трудности».
4) Постарайтесь найти способ удовлетворения его скрытых интересов и нужд.
5) Используйте совместный подход к разрешению конфликтов, которые начинают вырисовываться после отнесения поведения трудного человека к определенному типу, его нейтрализации или взятия под контроль.
В качестве конкретных рекомендаций примерной последовательности действий по предотвращению конфликтов в деловом общении М. Р. Душкина предлагает следующее:
– внимательное выслушивание партнера: «Я весь внимание, готов выслушать вашу информацию»;
– обратная связь с партнером: «Хотелось бы знать, каково ваше мнение, что вы думаете по этому поводу»;
– обсуждение межличностных отношений с партнером: «Давайте обсудим наши отношения и их перспективы»;
– демонстрация уважения к партнеру: «Я признаю ваши заслуги и достижения, они несомненны»;
– проявление терпимости к партнеру: «Я понимаю ваши чувства, они естественны и объяснимы»;
– демонстрация самообладания партнеру: «Меня сложно вывести из себя, я уверен в своей правоте»;
– отвлечение внимания при повышенной эмоциональности партнера: «Думаю, нам стоит обсудить другой аспект»;
– уменьшение социальной дистанции с партнером: «Мы делаем общее дело, это нас объединяет»;
– информирование о своих чувствах партнера: «Мне неприятно это слышать, я раздосадован, я огорчен»;
– проверка реальности факторов партнера: «Давайте обратимся к документам, пригласим экспертов»;
– обращение за советом к партнеру: «Не могли бы вы предложить свой вариант, как вы видите пути решения»;
– обещание помощи партнеру: «Можете рассчитывать на мое содействие в этом вопросе, я готов вам помочь» [101].
К сожалению, проводимых мер по предотвращению конфликта может оказаться недостаточно, и конфликт все равно возникает. Возникает необходимость реальной работы с конфликтующими и конфликтующих друг с другом таким образом, чтобы конфликт разрешился с наименьшими потерями для его участников или же носил конструктивный характер.
Диагностика конфликта – действия по сбору информации, выявлению условий и закономерностей возникновения, развития и особенностей протекания конфликта с целью его конструктивного регулирования или разрешения.
Сбор информации о конфликте представляет собой один из ключевых моментов на этапе подготовки к посредничеству. По мнению американских исследователей С. Карпентер и У. Кеннеди [145], такая информация необходима посреднику для того, чтобы принять решение о том, насколько необходимо его участие в урегулировании конфликта. Если помощь посредника необходима, то следующим шагом должен быть сбор полной информации о конфликте на текущий момент. Ее можно получить из трех источников: прямого наблюдения, вторичных источников, личных бесед.
Прямое наблюдение – это посещение встреч и собраний участников (сторон) конфликта, наблюдение за их поведением, выяснение их мнений по спорным вопросам и о противоположной стороне.
Вторичные источники представляют собой протоколы собраний, магнитофонные и видеозаписи событий, научные исследования по обсуждаемой проблеме, газетные материалы и др.
Личные беседы наиболее эффективны при правильном выборе респондента и установлении с ним отношений доверия. Последнее зависит как от субъективных черт участников беседы, так и от выбора места и времени беседы. Вначале лучше всего проводить беседы с лицами, непосредственно не вовлеченными в конфликт. В этом случае у собирающего информацию формируется более объективная точка зрения на ситуацию.
Собранная информация систематизируется и оценивается с помощью карты анализа конфликта, континуума динамики конфликта и резюме анализа конфликта.
Карта анализа конфликта включает информацию:
1) о сторонах, участвующих в конфликте;
2) о спорных вопросах (проблемах);
3) о специфических интересах сторон;
4) о степени важности спорных вопросов для каждой из сторон: высокая, средняя, низкая (приоритетность);
5) об источниках силы каждой из сторон и возможностях влияния на своих оппонентов;
6) о позициях сторон и их возможных подходах к решению спорных вопросов;
7) о заинтересованности в сотрудничестве с другими сторонами [304].
На основе выявленных особенностей определяются методы урегулирования конфликта.
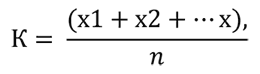
Для прогнозирования и предотвращения конфликтов важно контролировать уровень напряженности в организации, который может быть определен с помощью следующей формулы:

Где К – коэффициент социальной напряженности;
х1 – факторы неудовлетворенности, различные для каждой группы (недовольство уровнем заработной платы, условиями труда, стилем управления и т. д.);
x2 – фактор заработной платы (процент неудовлетворенности);
x – другие факторы;
n – количество факторов, вызывающих неудовлетворенность у более, чем половины опрошенных.
Значения К=0,7 соответствует неудовлетворенности более чем 70 % от количества опрошенных, что свидетельствует об опасном уровне социально-психологической напряженности в трудовом коллективе [10; 304].
Для исследования конкретного конфликта в конфликтологии используются методы, разработанные в других отраслях знаний, в первую очередь методы психологии. К ним, в частности, относятся следующие.
Наблюдение – метод исследования конфликта путем целенаправленного, организованного, непосредственного восприятия и фиксирования конфликтных событий. Применяется для изучения конфликтов различного уровня – от внутриличностного до межгосударственного.
Анализ документов. Используется для ретроспективного анализа конфликтов в социальной и юридической психологии.
Анализ деятельности. Метод исследования конфликта, использующий анализ влияния конфликтной ситуации на процесс и результаты деятельности оппонентов.
Анализ поведения участников. Использует в качестве единицы анализа поведенческие акты оппонентов в конфликтной ситуации.
Эксперимент – характеризуется активным вмешательством в конфликтную ситуацию исследователя-конфликтолога, осуществляющего контроль за одной или несколькими переменными и регистрацию происходящих изменений.
Методы опроса – в виде анкетирования, беседы, интервью.
Социометрия – метод, применяемый для оценки межличностных эмоциональных связей в группе, разработан американским социальным психологом и психиатром Я. Морено.
Модульный социотест оценки межличностных взаимоотношений и конфликтов разработан А. Я. Анцуповым на основе социометрии, однако более эффективен при изучении конфликтных явлений и позволяет оценить взаимоотношения персонала комплексно.
Личностные тесты. Традиционно используется ряд апробированных тестов, которые фиксируют выраженность качеств, свойств и состояний, свидетельствующих о повышенной конфликтности личности.
Методы психологической диагностики делятся также на две большие группы: инструментальные (задания, тесты, самоотчеты, проективные методы и пр.) и неинструментальные (в основном наблюдение, анализ результатов деятельности отношений). На конкретные психодиагностические методики, применяемые в целях исследования конфликтности личности, указывают Е. Н. Богданов, В. Г. Зазыкин [44].
Так, психодиагностика конфликтности осуществляется с применением теста К. Томаса, с помощью которого определяется предрасположенность к конфликтному поведению. С помощью данного теста определяется доминирующий вид направленности личности на разрешение ситуации острых противоречий, в качестве которого могут выступать: противостояние (конкуренция); отказ; компромисс; избегание; сотрудничество. Очевидно, что конфликтные личности ориентированы, прежде всего, на конкуренцию. Компромиссы и сотрудничество они рассматривают как временное явление или «тактическую хитрость», избегание не приемлют.
Психодиагностика характеристик биологически обусловленной подструктуры конфликтной личности осуществляется с помощью теста Г. Айзенка и теста В. М. Русалова. С помощью теста Г. Айзенка определяются уровни «экстраверсии-интроверсии» и «нейротизма-эмоциональной устойчивости», по соотношению которых определяются тип темперамента и его характеристики. Отмечается, что к конфликтам более всего склонны лица, обладающие холерическим типом темперамента. Причем, чем выше уровень экстраверсии и нейротизма (тип нервной системы сильный, неуравновешенный, процессы возбуждения преобладают над процессами торможения), тем более выражена склонность к конфликтному поведению. С помощью теста В. М. Русалова определяются уровни: эргичности (жизненного тонус, активность); пластичности (способности менять сферу деятельности, общения, переключаемости); скорости и темпа (в работе, общении, взаимодействиях); эмоциональной чувствительности. По данным показателям конфликтные личности часто отличаются характеристиками эргичности, скорости и темпа, с высокой социальной эмоциональностью и пластичностью.
Психодиагностика характеристик подструктуры психических свойств и процессов конфликтной личности осуществляется с помощью тестов А. Басса и А. Дарки, А. Ассингера, «фантастическое существо» М. Дукаревич, предназначенных для диагностики агрессивности. Характер эмоционального реагирования личности исследуется с помощью цветового теста М. Люшера, диагностика склонности к риску исследуется с помощью теста Шуберта.
Конфликтные личности обладают хорошими умениями практических психологов, используют различные психологические уловки, приемы оказания психологического давления, стремятся захватить психологическую инициативу, используя различные приемы конфликтного противоборства. Диагностировать уровень опыта конфликтной личности можно, используя метод наблюдения.
Психодиагностика подструктуры характерологических особенностей конфликтной личности осуществляется с помощью шестнадцатифакторного личностного опросника Р. Кэттелла. Исследования показывают, что конфликтные личности отличаются следующими устойчивыми личностными чертами: высокими значениями по шкалам «доминантность», «радикализм», «напряженность», «подозрительность»; низкими значениями по шкалам «моральная нормативность», «самоуверенность», «эмоциональная устойчивость», «самоконтроль».
Психологические исследования также показали, что у конфликтных личностей часто встречаются следующие акцентуации: высокая степень истероидности, паранойяльности, психопатии, маниакальности. Конфликтными являются феминизированные личности, но они не склонны к длительному противоборству. Конфликтны экспансивные шизоиды, но, быстро его создавая, они не способны довести конфликт до победы. Лица с педантичной акцентуацией последовательны в конфликтах, но их поведение хорошо прогнозируется, поэтому они редко добиваются успеха. Для психологической диагностики здесь используются тесты MMPI, СМИЛ, К. Леонгарда.
Что касается психодиагностики подструктуры направленности конфликтной личности, то у многих конфликтных личностей отмечена неадекватно высокая самооценка. Уровень и адекватность самооценки можно определить с помощью теста Ч. Спилбергера. Направленность активности и оценочных суждений в ситуации преград у конфликтных личностей преимущественно экстрапунитивная. Выявляется она с помощью теста Розенцвейга. К сожалению, диагностика личностных особенностей конфликтующих на этапе конфликта маловероятна. Психодиагностика имеет место, например, в ситуации совершения преступления на фоне неприязненных отношений, когда возникает необходимость определения степени вины человека и роли его личностных качеств в возникновении и протекании конфликта. Осуществлять диагностику личностных особенностей конфликтующих с целью их последующей психологической коррекции и регуляции отношений можно только с согласия конфликтующих, включая понимание ими собственной вины в конфликте.
Следует отметить, что основной поведенческой характеристикой конфликтных личностей является то, что они настроены на разрешение имеющихся противоречий исключительно с помощью противоборства, для них субъективно конфликт выглядит разрешенным, только если они в нем одержали победу. Другие способы разрешения конфликта для них неприемлемы. То есть, если в конфликте принимает участие конфликтная личность, во многих случаях не следует стремиться разрешить его на конструктивной основе.
Как отмечают Е. Н. Богданов, В. Г. Зазыкин, это категорически не устроит одну из сторон конфликтного противоборства, а именно оппонента, являющегося конфликтной личностью. В результате чего конфликт не только не прекратится, но, скорее всего, в нем появятся новые участники – те, кто стремился разрешить данный конфликт. Однако, поскольку продолжающийся долго деструктивный конфликт будет серьезно мешать нормальной жизнедеятельности, необходимо будет искать пути его ликвидации или устранения [44].
Соответственно, лица, использующие стили сотрудничества в проблемной ситуации, обладают следующими характеристиками: а) рассматривают конфликт как нормальное событие, которое помогает им правильно управлять и ведет к творческому решению вопросов; б) проявляют доверие и откровенность в отношении к другим; в) признают, что при взаимно удовлетворяющем исходе конфликта его участники берут на себя обязательство в рамках общего решения; г) считают, что каждый участник конфликта имеет равные права в его разрешении и точка зрения каждого имеет право на существование; д) полагают, что никто не должен быть принесен в жертву в интересах всех. Такие индивиды считаются динамичными натурами, у других о них складывается благополучное мнение (М. А. Поваляева, 2004). Перечисленные характеристики отражают, на наш взгляд, гуманистические ценности таких лиц.
В случае управления конфликтом обязательным его этапом явится этап преодоления конфликта, соответствующий этапу разрешения конфликта в его динамике.
Урегулирование/разрешение (преодоление, ликвидация, устранение) конфликта – действия по управлению конфликтом, заключающиеся в уменьшении его деструктивного характера вплоть до завершения и прекращения.
В урегулировании конфликта также выделяют несколько поэтапных действий: институализация; легитимизация, структурирование и редукция конфликта [320;304].
Институализация конфликта – это устранение его стихийности, определение определенных принципов и правил, что позволяет сделать развитие конфликта предсказуемым. Легитимизация конфликта – готовность конфликтующих сторон соблюдать принятые нормы и правила в процессе разрешения конфликта; предполагает добровольность желания выполнить предложенное решение. Структурирование конфликтующих групп – выявление носителей преследуемых интересов, определение количественных и качественных характеристик участников конфликта, установление неформальной иерархии влияния в обществе, что объективно сдерживает эскалацию межгруппового конфликта. Редукция – последовательное ослабление конфликта за счет перевода на другой уровень.
Основной формой преодоления/урегулирования конфликтов на всех уровнях является процесс ведения целенаправленных бесед или переговоров непосредственно между субъектами конфликта, либо с участием посредников. Преодоление конфликтов предполагает постановку целей и выбор средств, обеспечивающих субъекту оптимальный выход из конфликта.
Преодоление конфликтов может выступать в виде: 1) преодоления конфликта самими участниками; 2) внешнего влияния на конфликт, основанного на установлении и нейтрализации его причин и недопущении открытых столкновений сторон.
Вмешательство в чужой конфликт не должно быть спонтанным, по наитию. Ему должно предшествовать ответственное, взвешенное решение о необходимости или целесообразности такого шага и постановка собственной цели. Такие цели, согласно Э. Э. Линчевскому, могут быть объединены в три группы:
1) установление истины и торжество справедливости;
2) примирение конфликтующих без притязаний на выяснение, кто прав, а кто виноват;
3) использование конфликта в своих интересах (рост авторитета, влияния, приобретение союзников, партнеров, должников, сбор информации, обучение, тренинг, развлечение и т. д.) [192].
Что касается средств достижения цели разрешения конфликта, то Э. Э. Линчевский предлагает следующие:
– пресечение конфликтных действий – самое оперативное средство, если тот, кто к нему прибегает, обладает достаточным авторитетом или силой: решительно и бесповоротно прекращаются любые проявления противоборства без выяснения каких-либо деталей и без разрешения вопроса по существу;
– благоприятствование свободному развитию реакции с ее завершением или переходом в более спокойные формы как альтернатива предыдущему приему; при таком подходе конфликт, не имеющий серьезного предмета, может превратиться в односторонний и завершиться выпусканием пара, либо приобретает спокойное поступательное течение;
– разъединение конфликтующих, когда «гасители» отвлекают конфликтантов друг от друга, растаскивают их, принимая каждого на себя; если в конфликт включено официальное лицо, можно использовать скрытое разъединение, когда работника, не справляющегося с ситуацией, подменяют другим более квалифицированным или просто «свежим», не вызывающим раздражения оппонента (подмена одного представителя своей стороны другим используется в широко известном приеме «Плохой и хороший полицейские»);
– посредничество третьего лица, для этого требуется обязательное условие: тот, кто берет на себя роль посредника, должен располагать доверием оппонентов; возможны три варианта посредничества: дизъюнктивный (разъединительный): посредник изолирует оппонентов друг от друга, все вопросы и предложения идут через него; конъюнктивный (объединительный): посредник создает условия для непосредственного продуктивного контакта оппонентов; смешанный: посредник выступает перед каждой стороной от собственного лица, не скрывая заинтересованности в успехе своей миссии и нивелируя позиции, интересы противоположной стороны;
– «клонирование ситуации» – заключается в том, что собравшимся вместе участникам конфликта представляется для обсуждения ситуационная задача, в которой они узнают себя и свои организации, но под измененными именами и названиями;
– признание своей ответственности: вместо того, чтобы привычно начать поиски виновных и в неудаче оправдывать свои промахи, субъект задается вопросом, что могло бы быть поставлено ему в упрек, и ищет, в чем, за что или за кого он может повиниться перед оппонентом; здесь могут быть следующие варианты: упреждающее признание свой вины, признание другой вины, принятие на себя чужой вины;
– нарушение стереотипной динамики конфликта – в виде неприятия отводимой конфликтной роли (безобидный ответ на вызывающий вопрос, обращение в шутку оскорбительной реакции, предложение сменить характер обсуждения, симуляция недопонимания);
– обращение за помощью – обсуждение ситуации с любыми доверенными лицами – с коллегами, дома в кругу семьи, иногда даже просто со случайным знакомым; лучше, если удается посоветоваться с более опытным коллегой, руководителем или квалифицированным специалистом;
– приписывание оппоненту положительных мотивов – намерения противника истолковываются в благоприятном для себя смысле и уверенно предъявляются ему («я вижу, что вы стараетесь учесть мои интересы…»);
– переговоры – совместный поиск взаимоприемлемых решений для конфликтующих сторон [193].
Некоторые исследователи различают разрешение и завершение конфликта. Предполагается, что разрешение конфликта должно выразиться в его завершении. При этом отмечается, что завершение конфликта – более широкое понятие, чем его разрешение. Под завершением конфликта понимается всякое его окончание, прекращение по любым причинам, а под разрешением понимается только то или иное положительное действие самих участников конфликта, либо третьей стороны, прекращающее противоборство. Разрешение конфликта – достижение соглашения по спорному вопросу между участниками, в том числе соглашение в результате совпадения мнений; соглашение в соответствии с законодательной или моральной волей внешней силы; соглашение, навязанное одной из противоборствующих сторон [321].
В нашем понимании, завершение конфликта – это один из этапов протекания конфликта, его динамики; разрешение – это этап управления конфликтом.
Некоторые исследователи различают урегулирование (регулирование) и разрешение конфликтов [305]. Регулирование конфликта представляет собой его определенное завершение в результате конфронтации и противоборства двух или нескольких сторон, осознающих противоположность своих интересов. Для урегулирования конфликта характерны конфронтация, стремление к получению односторонних преимуществ; подчеркивание различий (интересов, позиций и др.), концентрация внимания сторон на участниках, а не на решении проблемы и т. п. При разрешении конфликтов он прекращается в результате прямого воздействия сторон или с участием третьей стороны на основе анализа причин и содержания разногласий, направленного на максимальное сближение позиций и достижение соглашения относительно наилучших способов удовлетворения противоположных интересов.
Урегулирование конфликтов включает процедуры завершения в соответствии со стратегиями «выигрыш-проигрыш» либо «проигрыш-проигрыш», а его разрешение – со стратегией «выигрыш-выигрыш». Завершение конфликта по сценарию «выигрыш-выигрыш» является наиболее предпочтительным, так как в этом случае ни одна из сторон не получает преимуществ, и их постконфликтные взаимоотношения могут развиваться на прочной основе. Также отмечается, что разрешение конфликта – это зачастую неюридическое воздействие на конфликт самих противоборствующих сторон (субъектов), нередко при участии третьей стороны, с целью совместного полного или частичного удовлетворения своих основных потребностей и интересов, снижения уровня конфронтации, а также локализации конфликта и сокращения материальных и моральных издержек, с ним связанных. Разрешение конфликта базируется на использовании переговоров между конфликтующими сторонами непосредственно (с помощью прямых переговоров), либо с участием третьей стороны. Чтобы переговоры стали возможными, необходимо выполнение определенных условий: существование взаимозависимости сторон, участвующих в конфликте; отсутствие значительного различия в возможностях субъектов конфликта; соответствие стадии развития конфликта возможностям переговоров; участие в переговорах сторон, которые реально могут принимать решения в сложившейся ситуации [320].
Более обобщенную модель ликвидации конфликта предлагают Е. Н. Богданова, В. Г. Зазыкин [44]. Они исходят из того, что если в конфликте принимает участие конфликтная личность, то не следует стремиться разрешить его на конструктивной основе. Для устранения такого конфликта предлагаются следующие пути.
Первый из них связан с разрушением системы «оппонент-оппонент». Если конфликт происходит, к примеру, в организации, то это могут быть структурные преобразования, когда конфликтная личность просто устраняется из нее. Как говорится, «нет человека – нет и проблемы». Но это достаточно сложный и долгий путь, в котором скрываются новые потенциальные источники конфликтов. Второй путь связан с созданием таких условий разрешения конфликта, когда «цена» победы для конфликтной личности окажется чрезмерно высокой или даже неприемлемой. В этом случае она сама выйдет из конфликта, отказавшись от своих притязаний. Правда, на практике создать такие условия весьма сложно. Наконец, третий путь предусматривает осуществление такого влияния на конфликтную личность, такой коррекции системы ее отношений и психологических установок, которые бы привели к устранению или снижению психологических причин ее конфликтности. Это также сложный путь, но он может оказать реальную помощь дезадаптированной и дезинтегрированной личности.





