Диагностика болезней: принципы и клиническая практика

- -
- 100%
- +
Итак, принципиальная особенность донозологической диагностики заключается в том, что она основывается на столь распространенных при многих заболеваниях симптомах, что практически исключает проведение эффективной диагностики болезней (например, проведение дешевого, быстрого и необременительного как для больного, так и медицинской службы обследования). Но как только удается выявить специфический симптом, характерный для узкой группы сходных по клиническим проявлениям нозологических форм, становится возможным проведение нозологической диагностики (уровень III).
После того как определен пораженный орган или система, появляется возможность нозологической диагностики (уровень 3.1), так как круг возможных заболеваний становится вполне обозримым. Например, когда у 18-летнего больного выявлены симптомы поражения гипоталамогипофизарно-надпочечниковой системы (гиперкортизолизм), то дифференциальная диагностика ограничивается тремя патологическими состояниями: болезнь Иценко – Кушинга, синдром Иценко – Кушинга и пубертатно-юношеский диспитуитаризм.
Когда установлена нозология (болезнь), диагноз уточняют путем выявления варианта ее течения, осложнений и т. п. (уровень 3.2). Например, если в результате исследования диагностического признака гликемии установлен диагноз «сахарный диабет», то далее следует уточнить: 1) тип диабета (1-й или 2-й); 2) наличие сосудистых его осложнения (микрои макрососудистых); 3) наличие диабетической нейропатии и т. д.
есть многочисленные примеры мгновенной диагностики болезни, когда диагноз устанавливается при первом взгляде на больного (диагностика на уровне 3.1, который «поглощает» уровни 1 и 2, но не 3.2). Так, опытный эндокринолог может диагностировать акромегалию буквально на улице, поскольку заболевание сопровождается характерным изменением внешности больного. В частности, с 2005 года, когда руководимое мной отделение эндокринологии Московского областного научно-исследовательского института (МОНИКИ) стало формировать московский областной регистр больных акромегалией, мне удается выявлять 1–2 больных в год буквально на улице и диагностировать данное заболевание впервые. При этом ни разу еще не было случая гипердиагностики.

Рис. 1.2. Структура взаимоотношений донозологической и нозологической диагностик на разных этапах диагностического поиска
Вместе с тем диагностирование акромегалии не исключает у больного возможности других сопутствую щих болезней, а значит, не избавляет врача от проведения донозологической диагностики в других, не связанных с диабетом направлениях. Потому в реальной практической врачебной деятельности донозологическая диагностика, как правило, сопутствует нозологической. Их взаимоотношения при опросе, осмотре и обследовании больного представлены на рис. 1.2.
Направленность клинической медицины на максимально исчерпывающее представление о заболевании у человека связано с сугубо практической задачей – подобрать наиболее эффективное из возможных лечение. И чем выше уровень постижения заболевания, тем более эффективное лекарственное средство удается подобрать больному.
Основная особенность их взаимодействия заключается в том, что выявление специфического симптома на каком-либо из этапов диагностического поиска индуцирует нозологический поиск, при этом донозологический сохраняется до тех пор, пока не исключена, по мнению врача, возможность у больного других, не диагностированных на предыдущих этапах болезней, тем более что нозологический поиск вырастает как бы из донозологического, так как конечная цель последнего – обнаружение специфических симптомов болезни.
Поясним это положение на конкретном примере организации донозологической диагностики методом интервью. Число болезней слишком велико, чтобы начинать интервьюирование с нозологической диагностики, спрашивая потенциального больного обо всех известных медицинской науке специфических симптомах. Упростить эту сложную задачу позволяет донозологическая диагностика, основывающаяся всего лишь на двух типах вопросов, направленных на выявление, во-первых, хотя бы какой-нибудь жалобы, высказываемой больным самостоятельно, без наводящих на определенный специфический симптом подсказок, и, вовторых, обнаружение каких-нибудь жалоб со стороны органов и систем.
Первый тип вопросов формулируется примерно так: «На что вы жалуетесь?» В ответ врач рассчитывает получить прежде всего перечни общих жалоб (уро вень 1) и, если возможно, специфических симптомов, позволяющих построить первые диагностические гипотезы и начать нозологическую диагностику. При отрицательном ответе указанный вопрос может быть усилен серией наводящих на общие неспецифические жалобы вопросов: «А не снизилась ли у вас трудоспособность?» или «Не похудели ли вы?» и т. п.
Второй тип вопросов направлен на выявление местных симптомов в соответствии со «Схемой истории болезни» В.X. Василенко, например: «Нет ли у вас какихлибо неприятных ощущений со стороны живота?» или
«Не беспокоят ли вас боли?» На эти последние вопросы врач ожидает получить не только и не столько местные неспецифические (уровень II), сколько специфические признаки, которые позволили бы начать нозологический поиск.
Таким образом, проводя опрос (а также осмотр и лабораторно-инструментальное обследование) на донозологическом уровне, врач всегда надеется получить специфические симптомы для начала нозологической диагностики, а следовательно, донозологические опрос и обследование индуцируют и диагностику болезней. Именно потому выявление специфических жалоб для некоторой болезни не должно автоматически прекращать донозологический поиск специфических жалоб для других сопутствующих болезней, поэтому выяснение жалоб завершается лишь после исчерпания всех вопросов донозологического поиска уровней 1 и 2.
Аналогичная ситуация складывается и при осмотре больного: диагностический поиск не должен ограничиваться специфическими симптомами лишь ранее высказанной, пусть и очень правдоподобной, диагностической гипотезы, а включать и плановый осмотр всех указанных в «Схеме истории болезни» органов и систем, так как донозологическое обследование, не направленное определенной диагностической гипотезой, может неожиданно выявить симптомы другой болезни.
Когда среди жалоб отсутствуют специфические, а значит, нозологическая форма по жалобам не диагностируется, это обстоятельство не должно исклю чать интервьюирование больного по истории заболевания. Наоборот, особенности развития симптомов нозологически неопределенного заболевания в динамике могут способствовать возникновению диагностической гипотезы, а если этого не происходит, то суть донозологического опроса по истории заболевания заключается в том, что с его помощью выясняется последовательность развития неспецифических симптомов, не связанных какой-либо диагностической гипотезой.
Донозологическое, или так называемое плановое, обследование включает перечень лабораторно-инструментальных исследований, проводимых в отношении каждого больного, независимо от предполагаемого диагноза (общий анализ мочи, кала, крови, ЭКГ и т. д.). если после его завершения специфические симптомы так и не были обнаружены, а на основании выявленных неспецифических сохраняется глубокая уверенность в том, что обратившийся за помощью человек болен, то следует посоветоваться с более опытным коллегой. Когда и неспецифические симптомы малоубедительны, то отсутствие специфических служит обычно достаточным поводом для заключения, что обратившийся здоров или не страдает соматическим заболеванием. Это означает, что на самом начальном этапе взаимодействия с больным была совершена диагностическая ошибка – гипердиагностика соматического заболевания. Таким образом, очевидна чрезвычайно высокая ответственность врача, когда он выносит самое первое донозологическое заключение: болен ли обратившийся к нему за помощью человек, так как гипердиагностика требует необоснованного и обычно дорогостоящего обследования, средства от которого могли бы быть затрачены с большей пользой. Вместе с тем несвоевременная диагностика вредит больному, нередко уменьшая его шансы на выздоровление.
1.3. Логические принципы обоснования и дифференцирования болезней
Логические основания построения диагноза можно представить в виде довольно сложной диагностической системы (компьютерной программы, например), которую обычно реализуют математики, работающие в этой области (см. Котов Ю.Б. Новые математические подходы к задачам медицинской диагностики. Серия «Синергетика: от прошлого к будущему», 2004). В повседневной практической работе врач тоже пользуется логическими правилами диагностики болезней, но не требующими сложных компьютерных вычислений, что не делает диагностику малоэффективной. Это связано с тем, что клиницист действует в рамках иерархической структуры принятия решений, что чрезвычайно эффективно в случаях поиска решений сложных интеллектуальных задач, к которым относится и диагностика болезней. Более того, на сегодня решение такого рода интеллектуальных задач в той полноте, в которой осуществляет ее человек (врач в нашем случае), не доступно никакой компьютерной программе.
Итак, практически используемые врачом логические основания диагностики болезней, представленные в данном разделе, базируются на иерархическом структурировании диагностического поиска, что в медицине называется этапами диагностики болезни. Следует заметить, что поскольку в процессе обучения врача эти правила явно не формулируются, то могут показаться на первый взгляд несколько непривычными. Однако любой алгоритм диагностики болезней, которыми сегодня насыщены практически все руководства по диагностике болезней, базируется именно на нижеописанных логических основаниях.
Процессы обоснования болезни и ее дифференцирования от схожих по проявлениям тесно связаны, так как в обоих случаях базируются на одном и том же наборе специфических и диагностических симптомов болезни, с одной стороны, а с другой – обоснование неявно включает в себя и процесс дифференцирования болезней.
Процесс обоснования болезни протекает в два этапа: 1) вначале из полученных у больного тем или иным способом признаков (симптомов) заболевания исключаются неспецифические; 2) затем для каждого из оставшихся специфических симптомов указывают перечень нозологических форм, при которых встреча ется рассматриваемый специфический симптом. В результате указанного процесса получается список болезней, возможность существования которых у больного обосновывается выявленным у него специфическим набором симптомов. Например, если больной жалуется на жажду (выпивает до 8 л воды в сутки) и общую слабость, то из процесса диагностического поиска исключается симптом «общая слабость», а оставшаяся специфическая жалоба «жажда» указывает на возможность у больного сахарного или несахарного диабета.
Таким образом, в процессе обоснования болезни не учитываются неспецифические симптомы, иначе врачу следовало бы принимать в расчет огромное количество возможных нозологий у больного, подлежащих дифференцированию. Выделяя у больного только специфические для болезней симптомы, врач очерчивает круг наиболее вероятных болезней. С одной стороны, выявленные у больного специфические симптомы обосновывают возможность соответствующих этим симптомам болезней. С другой стороны, принимая в расчет только выявленные у больного специфические симптомы, врач фактически проводит и первый этап дифференциальной диагностики болезней, так как исключает из диагностического поиска те болезни, на которые указывают неспецифические симптомы. Но процесс исключения из диагностического поиска части болезней и есть, по сути, дифференцирование болезней. И дифференциально-диагностический прием в этом случае сводится к игнорированию неспецифических симптомов.
Итак, в процессе обоснования и дифференцирования болезней используются только специфические (и, где это возможно, диагностические) симптомы. Именно поэтому при обнаружении диагностического признака (симптома) прекращается не только процесс обоснования, но и дифференцирования болезни. Специфические симптомы, обосновывающие определенную нозологию, потому лишь специфичны, что свойственны ограниченному кругу болезней, т. е. благодаря только своему дифференцирующему качеству они указывают на соответствующую нозологическую форму, имеющуюся у больного.
Неспецифическим симптомом «слабость» нельзя обосновать какую-либо болезнь. Но симптом «жажда» указывает на возможность у больного диабета, как сахарного, так и несахарного. И наличие этого специфического симптома тут же исключает огромное число болезней, сопровождаемых слабостью. Но если у больного, жалующегося на жажду, выявлен такой диагностический признак сахарного диабета, как высокий уровень глюкозы крови, то тем самым получает обоснование окончательный диагноз «сахарный диабет». Кроме того, благодаря диагностическому признаку (гипергликемия) не только обоснован диагноз сахарного диабета, но отдифференцирован (исключен) диагноз «несахарный диабет».
Продолжим рассмотрение общих принципов обоснования и дифференцирования болезней. После того как врач для всех выявленных у больного специфических симптомов сформировал перечень соответствующих им болезней, могут возникнуть 4 варианта типичных простейших взаимоотношений между болезнями и симптомами (рис. 1.3), которые определяют направление дифференцирования сходных болезней.
Как указывалось выше, если у больного найден диагностический признак Д1 (см. в а р и а н т А на рис. 1.3), то он окончательно обосновывает болезнь Н1 и ее дифференцирование, таким образом, также завершено (нет необходимости с чем-либо сравнивать). Например, выявленный диагностический признак «гликемия» в пероральном тесте толерантности к глюкозе более 11 ммоль/л через 2 ч от начала теста (признак Д1) свидетельствует только о сахарном диабете (болезнь Н1), т. е. указанный диагностический признак обосновывает сахарный диабет, одновременно дифференцируя его от любой другой болезни со схожими специфическими симптомами (например, жажда, полиурия).

Рис. 1.3. Основные (типичные) элементарные варианты (А – Д) взаимоотношений нозологических форм (Н1—Н9) и их специфических симптомов (С1—С4) и диагностических признаков (Д1—Д5)
Если у больного найден специфический симптом С1, который наблюдается как при болезни Н2, так и Н3 (в а р и а н т Б), то этот симптом обосновывает возможность у больного обоих заболеваний, и, следовательно, нужно проводить в этом случае дифференциально-диагностический поиск, который мог бы однозначно диагностировать одну из возможных болезней или обе. Например, жажда (симптом С1) наблюдается как при сахарном (Н2), так и несахарном (НЗ) диабете, и потому врач вправе подозревать у больного наличие обеих болезней, которые надлежит дифференцировать.
В случае в а р и а н т а В специфический симптом С2 у больного обосновывает возможность болезней Н4 и Н5, но наличие у больного и диагностического для болезни Н4 симптома Д2 однозначно указывает (обосновывает) диагноз Н4. Тем самым для нозологии Н4 диагностический поиск завершен и она отдифференцирована от болезни Н5. Более того, если болезни Н4 и Н5 не могут сосуществовать, то диагностирование болезни Н4 тут же исключает болезнь Н5 и тогда диагностический поиск болезни Н5 тоже завершен.
В качестве примера можно указать симптом «одиночный узел щитовидной железы» (С2). Он может быть как злокачественным (Н4), так и доброкачественным (Н5), но если проведена биопсия щитовидной железы и обнаружены гистологические признаки рака щитовидной железы (Д2), то тем самым диагностирован злокачественный узел и исключен доброкачественный и диагностический поиск завершен для обеих диагностических гипотез (доброкачественная или злокачественная опухоль).
Вместе с тем у больного могут быть и не взаимоисключающие болезни Н6 и Н7 с совпадающим специфическим симптомом С3 (в а р и а н т Г). Так как симптом С3 встречается не только при болезни Н6, но и Н7, то врач должен продолжить поиск специфических (или диагностических) симптомов болезни Н7, пока не будет выявлен, например, симптом, который бы встречался только при болезни Н7. если такой по иск увенчается выявлением диагностического признака для болезни Н7, тогда у больного две болезни и получается в итоге вариант Д на рис. 1.3. А если нет, то ситуация с дифференциально-диагностической точки зрения оказывается несколько неопределенной: верифицированная болезнь Н6 не исключает у больного возможность болезни Н7. В результате в варианте Г окончательное дифференцирование болезни Н5 от Н4 оказывается невозможным, если для болезни Н7 не найдется диагностического признака.
Практически такая ситуация может возникнуть у больного с верифицированным по гликемии сахар ным диабетом (диагностический признак Д3 для Н6), так как симптом «полиурия» (С3), к примеру, может быть и при несахарном диабете (Н7). При этом обнаружение сахарного диабета не исключает у больного несахарного диабета (это не взаимоисключающие заболевания). В связи с этим необходимо исследование диагностического для несахарного диабета признака, чтобы исключить или подтвердить диагноз несахарного диабета.
В а р и а н т Д характеризуется тем, что обнаруженные у больного диагностические признаки Д4 и Д5 окончательно обосновывают болезни Н8 и Н9, а специфический симптом С4 свойствен обеим нозологиям и их не дифференцирует и потому обладает меньшей обосновывающей силой, чем Д4 и Д5 в отдельности. Следовательно, в ситуации Д симптом С4 при обосновании комплексного диагноза, включающего Н8 и Н9, можно опустить. Очевидно, что в варианте Д процесс обоснования, а вместе с ним и дифференцирования завершен, так как для схожих по специфическим симптомам и потому подлежащих дифференцированию болезней получены диагностические признаки.
Как видно из описания рис. 1.3, дифференцирование обоснованных и при этом сходных по проявлениям болезней необходимо продолжать лишь в случаях Б и Г, т. е процесс дифференцирования заключается в том, что путем поиска диагностического признака для каждой из возможных и сходных по проявлениям болезней вариант Б вначале приводится к варианту В или Г, а последний, в свою очередь, – к варианту Д.
При этом следует иметь в виду, что проведение, например, диагностического теста Д3 в случае положительного результата подтверждает наличие у больного нозологической формы Н6, а в случае отрицательного – окончательно исключает болезнь Н6. Но если специфический симптом С3 свойствен только двум болезням (Н6 и Н7), то после исключения диагностическим тестом Д3 болезни Н6 симптом С3 оказывается у больного характерным лишь для болезни Н7, и тем самым он в этом частном случае из специфического превращается в диагностический. В итоге вариант Г распадается на два варианта А. Описанный прием является типичным в дифференциальной диагностике методом исключения. его обычно применяют, когда, с одной стороны, для основной предполагаемой болезни отсутствует или малодоступен диагностический признак, а с другой – у больного наблюдается ее высокоспецифический симптом, т. е. встречаемый при одной-двух других дифференцируемых нозологических формах, для которых имеется или легкодоступен диагностический признак. В частности, гипертоническая болезнь диагностируется по специфическому признаку «повышенное артериальное давление» методом исключения симптоматических гипертоний (альдостерома, феохромацитома и др.), для которых есть диагностические признаки (повышенный уровень альдостерона, катехоламинов и т. п.).

Рис. 1.4. Методы сведения двух сложных вариантов взаимоотношений между специфическими симптомами и соответствующими нозологическими формами к типичному элементарному варианту Б с последующим дифференцированием по цепочке В или Г, Д или Г, А
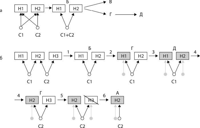
Поскольку в процессе дифференцирования одномоментно сравниваются лишь 2 нозологии, то более сложные взаимоотношения между специфическими симптомами и соответствующими им болезнями всегда можно и следует сводить к одному из четырех простейших вариантов Б, В, Г или Д, что делает процесс дифференцирования обозримым. Тем более что других простейших типов взаимоотношений, кроме А – Д, не существует!
На рис. 1.4 показаны наиболее часто встречаемые в клинической практике сложные взаимоотношения между специфическими симптомами и болезнями и методика их сведения к простейшим типам Б, В или Г.
Когда два симптома С1 и С2 одновременно обосновывают две болезни Н1 и Н2, их можно объединить в симптомокомплекс (С1 + С2) (1-й шаг на рис. 1.4, а). В результате получается элементарный вариант обоснования Б. Например, больного беспокоят жажда (С1) и полиурия (С2), которые обосновывают у него возможность сахарного (Н1) и несахарного (Н2) диабета. Формируя из полиурии и полидипсии симптомокомплекс, отражающий нарушение водного обмена с окружающей средой, получаем типичный вариант обоснования Б. Когда две болезни обоснованы по варианту Б, дифференциальная диагностика между Н1 и Н2 заключается в преобразовании варианта обоснования Б в окончательный В или вначале в Г, а затем окончательный Д, в зависимости от дифференциально-диагностических возможностей (рис. 1.4, а). В приведенном клиническом примере, чтобы дифференцировать сахарный диабет от несахарного, необходимо вначале определить гликемию, что может доказать (обосновать) наличие сахарного диабета (вариант Г). Проведя пробу с антидиуретическим гормоном, получаем диагностический критерий несахарного диабета (Н2), т. е. вариант Д, и на этом заканчиваем процесс дифференцирования сахарного и несахарного диабета. Заметим, что в конечном счете могут быть верифицированы у больного оба заболевания, одно из дифференцируемых или ни одного.
Если симптомы С1 и С2 обосновывают три болезни Н1, Н2 и НЗ, то для перехода к элементарным вариантам следует вычленить 2 болезни и обосновывающий их симптом С1; в результате получается вариант Б (см. 1-й шаг на рис. 1.4, б). Дифференциально-диагностический поиск после этого проходит ранее разобранным путем: к варианту Г (2-й шаг), затем Д (3-й шаг). После этого рассматривают 2 болезни Н2 и НЗ и обосновывающий их симптом С2 (4-й шаг). Следует заметить, что с учетом проведенного ранее дифференцирования Н1 и Н2 между Н2 и НЗ и обосновывающими их симптомами возникает вариант взаимоотношений Г, который после проведения дифференцирующего диагностического теста, исключающего НЗ, переводится в вариант А (шаги 5-й и 6-й).
Из приведенного анализа легко усматриваются тесные взаимоотношения между обоснованием и дифференцированием болезней: в случае Б ни одна из сравниваемых болезней не обоснована окончательно, в случае Г окончательно обоснована одна из них, а в случае Д обоснованы окончательно обе. Поскольку процесс дифференцирования заключается в получении (указании) диагностических признаков для каждой из двух сравниваемых болезней, то тем самым он последовательно продвигается от варианта обоснования Б к варианту В или Д.
Итак, процесс дифференцирования болезней, имеющих совпадающие специфические симптомы, заключается в выявлении для каждой из них диагностических признаков (симптомов) – абсолютно надежных дифференцирующих показателей.
Следовательно, не составляет особого труда дифференцировать сходные болезни, когда врач имеет возможность получить их диагностические признаки. Но, к сожалению, на ранних этапах диагностического поиска (опрос, осмотр) врачу обычно доступны лишь специфические симптомы, а целесообразность проведения обычно дорогостоящих или высокотравматичных диагностических тестов следует еще обосновать, опираясь лишь на специфические симптомы. Таким образом, на каждом из этапов диагностического поиска врач, используя лишь специфические симптомы, должен оценить, какая из сходных болезней более вероятна (обоснована), чтобы указать наиболее целесообразное направление дифференциально-диагностического обследования, освободив тем самым больного и лабораторно-инструментальные службы клиники от заведомо излишних диагностических процедур.
Кроме указанного выше метода исключения, существует и другой прием дифференцирования болезней по специфическим симптомам, который базируется на принципе «достаточного основания». Рассмотрим использование этого принципа вначале на клиническом примере, чтобы его общее определение не показалось излишне умозрительным.

Рис. 1.5. Дифференцирование диагностических гипотез по принципу достаточного основания
Предположим, что специфические симптомы С1 и С2 обосновывают болезни Н1, Н2 и НЗ указанным на рис. 1.5 способом. Посмотрим теперь на взаимоотношение этих симптомов и болезней как бы с противоположной (обратной) точки зрения – оценим, какое число симптомов позволяет объяснить (интерпретировать) каждая из нозологических форм: Н1 и НЗ объясняют наличие отдельно симптомов С1 и С2 соответственно, а болезнь Н2 объясняет присутствие сразу обоих симптомов – С1 и С2 у больного. Следовательно, для объяснения всех клинических проявлений заболевания достаточно в приведенном примере одной нозологической формы Н2, и на этом основании «достаточности» болезни Н1 и НЗ можно не принимать в расчет, и тем самым мы отбросили, а значит, и от дифференцировали Н2 от Н1 и НЗ. Можно рассуждать по-другому: у больного имеются лишь нозологические формы Н1 и НЗ, которые имитируют болезнь Н2, и тем самым мы по принципу достаточного основания избавляемся от необходимости проводить диагностический поиск болезни Н2. Однако второй способ рассуждений менее предпочтителен, поскольку привлекает для объяснения симптомов заболевания не одну, а две болезни.





