Теоретические основы производства продукции животноводства

- -
- 100%
- +

ВВЕДЕНИЕ
Одной из важнейших проблем национальной безопасности России является обеспечение населения продовольствием отечественного производства. Достичь этого можно лишь в результате повышения эффективности функционирования всего агропромышленного комплекса.
В структуре АПК особое место занимает животноводство, представляющее собой сложную производственно экономическую систему, включающую производство, переработку, хранение и реализацию продукции.
Животноводство – одна из важнейших отраслей сельского хозяйства, включающая молочное и мясное скотоводство, свиноводство, птицеводство, овцеводство, козоводство, коневодство, кролиководство, пушное звероводство и другие отрасли.
Теоретические основы животноводства тесно связаны с экономическими дисциплинами (экономика, организация, управление сельским хозяйством).
Цель дисциплины «Теоретические основы производства продукции животноводства» – дать студентам объем знаний, умений, навыков достаточный для освоения общих требований разведения, содержания, кормления и обслуживания сельскохозяйственных животных и производства продукции животноводства.
Дисциплина направлена на формирование компетенций:
По направлению «Экономика»
ПК-3 – способность выполнять необходимые для составления экономических разделов планов расчеты, обосновывать их и представлять результаты работы в соответствии с принятыми в организации стандартами;
ПК-4 – способность осуществлять сбор, анализ и обработку данных, необходимых для решения поставленных экономических задач.
По направлению «Менеджмент»
ПК-18 – возможность владеть методами принятия стратегически тактических и оперативных решений в управлении операционной (производственной) деятельностью организаций;
ПК-21 – готовность участвовать во внедрении технологических и продуктовых инноваций.
Раздел 1 Разведение и кормление сельскохозяйственных животных
1.1 Происхождение и одомашнивание сельскохозяйственных животных. Понятие о породе
Приручение диких предков сельскохозяйственных животных началось примерно 10…12 тыс. лет до нашей эры в разных регионах земного шара и в разное время. Приручение и последующее одомашнивание животных происходило в период неолита. Основными центрами одомашнивания животных стали Южная и Центральная Азия, Южная Европа, северо-восток Африки, Южная Америка. Первым одомашненным животным была собака, затем коза, овца, свинья, позднее – крупный рогатый скот и лошадь. Последними приручены куры и кролики.
Предком крупного рогатого скота был дикий тур. Дикими предками современной лошади считают сохранившуюся до наших дней лошадь Пржевальского и тарпана (уничтоженного в XIX веке). Предки современных пород овец – дикие бараны (муфлон, аркар, аргали). Безрогие козы Закавказья и гималайский винторогий козел меркул – предки современных коз. Современные породы свиней произошли от европейского и азиатского кабана, бородавочниковой свиньи, домашние куры – от диких банкивских, которые были одомашнены в Индии.
Одомашнивание животных в разных природноклиматических условиях, их отбор и подбор привели к формированию многочисленных пород домашних животных. В настоящее время на земном шаре насчитывается 3882 породы.
Порода – это многочисленная группа животных одного вида, имеющих общее происхождение, сходные анатомофизиологические признаки, созданная трудом человека и стойко передающая свои качества потомству.
Выделяют следующие классификации пород сельскохозяйственных животных:
1) по количеству и качеству труда, затраченного на их выведение (примитивные, заводские и переходные);
2) по месту происхождения породы (географическому принципу). Каждая порода имеет свой ареал: породы широкого ареала, межзональные, зональные и локальные;
3) по направлению продуктивности. Породы сельскохозяйственных животных разделяют по характеру продуктивности на специализированные и комбинированные. Любая порода делится на племенную и неплеменную (пользовательную) части.
Породы крупного рогатого скота подразделяются на молочные, мясные и двойной продуктивности (молочно-мясные или мясо-молочные);
породы свиней – на мясные (беконные), сальные, мясосальные (универсальные);
породы овец – на тонкорунные (шерстные, шерстно-мясные и мясо-шерстные), полутонкорунные (мясо-шерстные и шерстномясные), полугрубошерстные (мясо-сально-шерстные), грубошерстные (овчинно-шубные, смушково-молочные, мясо-сальные, мясо-шерстно-молочные и мясо-шерстные);
породы лошадей – на верховые, рысистые, упряжные и тяжеловозные;
породы кур – на яичные, мясные и мясо-яичные.
Породы сельскохозяйственных животных имеют свою структуру, основными единицами которой являются: породная группа, внутрипородный (зональный) тип, заводской тип, линия и семейство.
1.2 Экстерьер и конституция сельскохозяйственных животных
Экстерьер животного – это его внешний вид, наружные формы телосложения в целом. По экстерьеру определяют тип конституции, направление продуктивности, состояние здоровья, породу, индивидуальные особенности телосложения, упитанность и возраст. При оценке экстерьера учитывают как общее сложение животного, так и его стати.
Стать – это наружная часть тела животного, определяющая достоинства и недостатки телосложения животных. Наиболее важные стати, характеризующие экстерьер животного, следующие: голова, шея, холка, грудь, спина, поясница, круп (крестец), конечности, вымя, наружные половые органы.
Для оценки экстерьера используют следующие методы:
1. Глазомерный – это основной метод оценки экстерьера, позволяющий быстро и правильно определить конституциональные особенности, состояние здоровья, продуктивные и племенные качества животного. Глазомерную оценку осуществляют двумя способами:
а) тщательный осмотр животного с описанием его достоинств и недостатков;
б) балльная оценка статей и установление общего (суммарного) балла для животного в целом;
2. Измерение животного – это наиболее точный и объективный метод экстерьерной оценки. Проводят путем использования измерительных приборов (мерная палка, мерный циркуль, мерная лента). Животных измеряют утром до кормления или спустя 3 часа после него на ровной площадке. Оно должно быть спокойным, не в возбужденном состоянии. Метод, хотя и считается объективным, но, тем не менее, не дает полного представления об экстерьере животного в целом, поэтому его следует применять в комплексе с глазомерным;
3. Метод индексов, применяемый для сравнительной оценки группы животных. На основании взятых промеров вычисляются индексы телосложения – это отношение одного промера к другому, выраженное в процентах. Данный метод дает возможность более углубленной оценки экстерьера, так как при взятии промеров мы получаем представление только об одном признаке, в то время как индекс характеризует взаимоотношения двух и более признаков;
4. Графический метод заключается в построении экстерьерного профиля – это графическое изображение отличия по промерам или индексам животного от стандарта;
5. Фотографирование.
Под конституцией понимают общее телосложение организма, обусловленное анатомо-физиологическими особенностями строения, наследственными факторами, выражающимися в характере продуктивности животного, устойчивости к заболеваниям и его реагировании на влияние факторов внешней среды.
Среди многочисленных зоотехнических классификаций типов конституции наибольшее значение имеет классификация, которую предложил выдающийся русский ученый П.Н. Кулешов. По особенностям развития костяка, кожи, мускулатуры у сельскохозяйственных животных разного направления продуктивности выделяют четыре типа конституции: грубый, нежный, плотный, рыхлый. М.Ф. Иванов эту классификацию дополнил крепким типом, который близок к плотному.
Животные грубой конституции характеризуются грубым костяком, толстой кожей и общей массивностью телосложения. К этому типу относятся рабочий скот, грубошерстные овцы. При нежной конституции животные имеют легкий костяк, тонкую кожу, слаборазвитую мускулатуру и хорошо развитые внутренние органы. К этому типу относится молочный скот, овцы тонкорунных пород, лошади верховых пород. Плотный тип имеют животные с высоким уровнем продуктивности и устойчивостью к заболеваниям. Животным этого типа присущ крепкий костяк, плотная эластичная кожа, хорошо развитые мышцы и внутренние органы. К нему относятся молочно-мясные породы крупного рогатого скота, мясо-шерстные овцы, рысистые породы лошадей. Рыхлый тип характеризуется тонким костяком, тестообразной кожей с развитым подкожно-жировым слоем и объемистой мускулатурой. Животные флегматичны, хорошо откармливаются и быстро жиреют. К этому типу относятся мясные породы крупного рогатого скота, сальные свиньи, тяжеловозные породы лошадей. В практике принято различать промежуточные типы конституции: грубый плотный, грубый рыхлый, нежный плотный и нежный рыхлый.
Швейцарский профессор У. Дюрст предложил классификацию типов конституции, в основу которой положена степень окислительных процессов в организме животного. Он выделил три типа конституции: дыхательный тип – узкотелость, повышенный обмен веществ (молочный скот, быстроаллюрные лошади, яичные породы кур); пищеварительный тип – широкотелость, пониженный обмен веществ (мясной скот, лошади-тяжеловозы); переходный тип занимает промежуточное положение между дыхательным и пищеварительным. И.П. Павлов описал четыре типа нервной деятельности, взяв за основу силы возбудительного и тормозного процессов в организме животных:
• первый тип – сильный-уравновешенный-быстрый;
• второй тип – сильный-уравновешенный-медленный;
• третий тип – сильный-неуравновешенный-безудержный;
• четвертый тип – слабый (процессы торможения преобладают над возбудительным процессом).
Факторами, формирующими тип конституции, являются наследственность и условия, в которых растет и развивается организм.
Тип конституции оценивают по экстерьеру и интерьеру.
Интерьером называется совокупность внутренних, физиологических, анатомических и биохимических свойств организма в связи с его конституцией и направлением продуктивности. Для изучения интерьера животных используют различные методы: морфологический, гистологический, рентгеноскопический, физиологический, биохимический, цитогенетический, иммунологический, анатомический, этологический и др.
Объектами интерьерных исследований являются кровь животных, ее иммунобиологические свойства, молочные железы, потовые и сальные железы кожи, внутренние органы, костяк, цитологические компоненты клеток, ферменты, нуклеиновые кислоты и др.
1.3 Индивидуальное развитие животных (онтогенез)
Онтогенез животных складывается из двух основных процессов: роста и развития. Рост – процесс увеличения массы тела животного и отдельных его органов и тканей, а развитие – процесс усложнения структуры организма, специализации и дифференциации его органов и тканей, т.е. качественные изменения содержимого тканей.
У большинства видов сельскохозяйственных животных весь путь от оплодотворенной яйцеклетки до взрослого состояния делится на два периода: эмбриональный и постэмбриональный.
Эмбриональное (внутриутробное) развитие животного организма включает в себя три фазы: зародышевую, предплодную и плодную. Продолжительность эмбрионального развития у животных разных видов неодинакова. В постэмбриональный период можно выделить следующие фазы: новорожденности, молочного питания, наступления половой зрелости, физиологической зрелости и старения организма.
Таблица 1 – Средний возраст жизни, хозяйственного использования и достижение половой зрелости сельскохозяйственных животных

Живая масса новорожденных животных зависит от их видовых и породных особенностей, пола, условий кормления и живой массы в период беременности, например, новорожденные жеребята имеют массу 40…50 кг, телята – 25…40 кг, ягнята – 3…5 кг, поросята 1,0…1,5 кг. Самцы при рождении весят больше самок на 10…15 %.
Отличительной особенностью развития животных является неравномерность роста не только организма в целом, но и отдельных органов и тканей, особенно скелета. В первую половину утробного периода интенсивнее растет нервная ткань, затем костная; в последующем усиливается рост мышечной ткани и внутренних органов. В постэмбриональный период, от рождения до наступления половой зрелости, наиболее интенсивно растет мышечная ткань, а затем усиливается отложение жира.
Скорость роста животных в разные периоды их жизни неодинакова. Мелкие животные по сравнению с крупными растут с большей относительной скоростью, но продолжительность активного роста у них значительно меньше. Длительность хозяйственного использования животных существенно меньше продолжительности их жизни (таблица 1). Рост определяют по живой массе и промерам.
Скорость роста животных принято выражать в абсолютных и относительных величинах.
Абсолютный прирост – прирост живой массы животного за определенный промежуток времени, выраженный в килограммах.
А = М1− М0,где А – абсолютный прирост, кг;
М1 – конечная живая масса, кг;
М0 – начальная живая масса, кг.
Абсолютный среднесуточный прирост – прирост живо массы за сутки, вычисляется по формуле где С – среднесуточный прирост, г;
С = (М1− М0) / t × 1000 ,М1 – конечная живая масса, кг;
М0 – начальная живая масса, кг;
t – время между двумя взвешиваниями, дней.
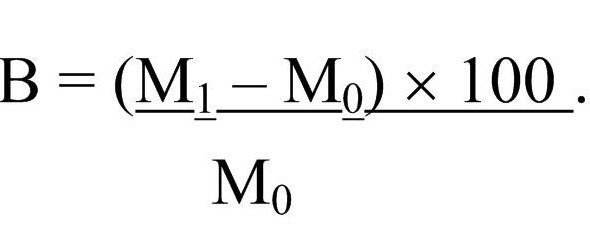
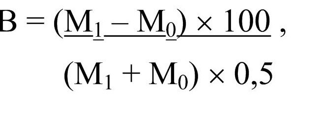
Относительный прирост живой массы показывает энергию роста (его интенсивность), вычисляется по формуле А. Майонота:

по формуле С. Броди:

где В – относительный прирост, проц.;
М1 – конечная живая масса, кг;
М0 – начальная живая масса, кг.
Взвешивание является методом определения и учета прироста живой массы молодняка при выращивании и откорме, который применяется в практике. Первое взвешивание теленка проводят через 2 ч после рождения. До годовалого возраста животных взвешивают ежемесячно, потом – один раз в квартал. При этом допускается ежемесячно проводить контрольное взвешивание.
Если невозможно производить взвешивание животных, то можно определить массу путем измерения. Первый вариант – по формуле Трухановского:
Жив. масса=(Обхват гр. за лопат.× прям. длина туловища× 2) / 100,где 2 – коэффициент, рассчитанный для молочных пород.
Для молочно-мясных пород берется коэффициент 2,25; для мясных – 2,5. Кроме того, полученную в расчетах массу животных высшей упитанности увеличивают на 5…10 %, а ниже средней – уменьшают на 5…10 %.
Второй вариант – на основании промеров: косая длина туловища (измеряют мерной лентой) и обхват груди за лопатками. Живую массу можно определить по таблице. Способ КлюверШтрауха применяется для взрослых животных, способ Фровейна – для молодняка.
Рост и развитие животных обусловливают такие факторы, как наследственность и условия внешней среды. На ранних стадиях развития животного формируется эндокринная система, которая регулирует впоследствии процессы роста и развития. При этом важную роль играют гипофиз, щитовидная и половые железы. Из факторов внешней среды огромное воздействие на рост и развитие животных оказывают условия кормления и содержания (температура, влажность воздуха, световой режим).
Неблагоприятные условия кормления вызывают недоразвитие животных. Страдают те органы и ткани, в период интенсивного развития которых организм испытывал недостаток питательных веществ. Степень недоразвития животных зависит от продолжительности и степени недокорма. А.А. Малигонов выделил три основных типа недоразвития: эмбрионализм, инфантилизм и неотению («закон недоразвития»). Эмбрионализм (сходство новорожденного животного с эмбрионом ранней стадии развития) – следствие плохого кормления и содержания матери или ранней случки. Инфантилизм выражается в сходстве черт взрослого организма с детским, вследствие длительного недокорма растущих животных. Неотения – преждевременное развитие половых органов животного в юном возрасте (недокорм молодняка и беременных маток).
В процессе роста и развития животных встречаются две формы изменений: обратимая и необратимая. При соответствующих условиях кормления и содержания любое развитие может исправиться, прийти в норму, компенсироваться.
1.4 Отбор и подбор животных. Методы разведения
Основой племенной работы в животноводстве является отбор и подбор животных. Отбор (В.Ф. Красота и др.) – сохранение более приспособленных к определенным условиям обитания и технологии производства или выбор человеком наиболее удовлетворяющих его требованиям особей и устранение самой природой или человеком менее приспособленных, худших экземпляров.
По Ч. Дарвину, отбор различают естественный – выживание лучших, приспособленных к окружающим условиям животных, и искусственный, т.е. человек сохраняет тех животных, которые для него полезны. Процесс совершенствования существующих пород и образование новых в условиях культурного ведения животноводства совершается под действием методического отбора. Отбор животных по приспособленности к новым условиям содержания и эксплуатации называется технологическим отбором.
В зоотехнической практике оценку и отбор животных проводят по фенотипу (совокупность внешних особенностей и продуктивных качеств) и генотипу (наследственность), учитывая происхождение, индивидуальные свойства и качество их потомства. Отбор по фенотипу называют массовым, а по генотипу – индивидуальным.
Животных оценивают по происхождению, конституции и экстерьеру, продуктивности, технологическим признакам, качеству потомства. Каждая из этих оценок, дополняя одна другую, позволяет всесторонне выявить достоинства животного и более эффективно использовать их для совершенствования стада.
В племенных хозяйствах результаты отбора ежегодно получают отражение в бонитировке животных. Под бонитировкой понимают определение племенной ценности животных путем оценки их по комплексу признаков и назначения для дальнейшего использования. Бонитировку проводят ежегодно по инструкциям, разработанным отдельно для животных каждого вида и направления продуктивности. По результатам бонитировки животных распределяют на классы: элита-рекорд, элита, I и II классы – для крупного рогатого скота; для свиней и лошадей – элита, I и II классы; для овец – I, II и III классы. На основании данных бонитировки определяют дальнейшее назначение животного и составляют план спариваний.
Подбор (по Е.Я. Борисенко) – это наиболее целесообразное составление из отобранных животных родительских пар с намерением получить от них потомство с желательными качествами. Отбор и подбор тесно связаны между собой и дополняют друг друга. Процесс совершенствования пород, базирующийся на единстве действия отбора и подбора, называют селекцией.
Различают две формы подбора: индивидуальный и групповой. При индивидуальном подборе к матке подбирают определенного производителя, чтобы получить потомство наилучшего качества. Групповой подбор – к группе маток подбирают одного или двух производителей определенного качества и происхождения. Индивидуальный подбор применяют в племенных хозяйствах, а групповой – в товарных.
По типу подбор может быть однородный и разнородный. Однородный (гомогенный) подбор заключается в том, что матки и подбираемые к ним производители относительно сходны по главным признакам подбора. Разнородный (гетерогенный) подбор предусматривает спаривание животных, различающихся между собой по признакам подбора.
Возрастной подбор. Чтобы получить полноценное потомство от животных всех возрастов при подборе необходимо соблюдать следующие правила:
1) к молодым маткам подбирают производителей среднего возраста;
2) к маткам среднего возраста закрепляют производителей молодого, среднего и старшего возрастов;
3) к маткам старшего возраста – производителей среднего и молодого возрастов.
Методы разведения сельскохозяйственных животных – это система спаривания (формы подбора) с учетом видовой, породной и линейной принадлежности животных, а также их родственных связей. В практике животноводства используют три основных метода разведения:
1) чистопородное;
2) скрещивание;
3) гибридизацию.
Чистопородное разведение – это система спаривания животных, принадлежащих к одной породе. Потомство, полученное от такого спаривания, называют чистопородным. При этом методе разведения сохраняются и улучшаются ценные качества племенных животных. При чистопородном разведении используют два вида спаривания: неродственное (аутбридинг) и родственное (инбридинг). Инбридинг – это система спаривания животных, находящихся в родстве для закрепления желательных признаков. Животных, обладающих повышенной способностью к передаче ценных хозяйственно-полезных качеств (препотентностью), используют более интенсивно.
Наиболее совершенным методом чистопородного разведения является разведение животных по линиям и семействам. Потомство ценного производителя в процессе отбора и подбора образует сходную по типу и продуктивности группу животных – линию. В породе может быть 10…20 и более линий. Группа женских особей, связанных родством с родоначальницей по прямой материнской стороне родословной, называется семейством.
Скрещивание – это спаривание животных, принадлежащих к разным породам. Потомство, полученное в результате скрещивания, называют помесями. Различают несколько основных видов скрещивания: поглотительное (преобразовательное), воспроизводительное (заводское), вводное («прилитие крови»), промышленное, переменное.
1. Поглотительное (преобразовательное) скрещивание применяют для коренного улучшения одной породы с помощью другой. Помесей V поколения принято считать чистопородными по улучшающей породе.
2. Воспроизводительное (заводское) скрещивание – спаривают животных двух или нескольких пород для получения новой породы, сочетающей в себе наиболее ценные признаки исходных пород и обладающей рядом новых качеств. Методом простого воспроизводительного скрещивания М.Ф. Ивановым была создана украинская степная белая порода свиней.
3. Вводное скрещивание («прилитие крови») применяют для совершенствования продуктивности и племенных качеств существующей породы. При вводном скрещивании осуществляется разовое спаривание маток улучшаемой породы, взятой для «прилития крови».
4. Промышленным называют скрещивание нескольких пород между собой для получения помесей I поколения как пользовательных животных, не оставляемых для дальнейшего разведения. Промышленное скрещивание бывает простое и сложное (участвует три породы и более), его применяют при разведении животных всех видов. Этот метод скрещивания сопровождается ярко выраженным гетерозисом у помесей I поколения. Гетерозис – это свойство животных превосходить лучшую из родительских форм по жизнеспособности, энергии роста, плодовитости, конституциональной крепости, устойчивости к заболеваниям и продуктивности.
5. Переменное скрещивание. В отличие от промышленного при переменном скрещивании часть маток оставляют на племя, чтобы получить от них еще несколько поколений животных. В каждом поколении производителей меняют. Переменное скрещивание бывает двухпородным и трехпородным. При переменном скрещивании гетерозис не только создается, но и удерживается в ряде поколений.
Гибридизация – это скрещивание животных разных видов. Получаемое потомство называют гибридами. При гибридизации часто возникают трудности: нескрещиваемость отдельных видов, частичная или полная бесплодность гибридов. Например, мул – гибрид кобылы и осла (бесплоден), гибрид самки яка и быка (бесплодны самцы). Для гибридизации обычно используют животных родственных видов. При гибридизации зебу и крупного рогатого скота выведены породы санта-гертруда, швице-зебувидный скот. При скрещивании ослицы с жеребцом родится лошак. Гибридизацию применяют для создания новых пород сельскохозяйственных животных.



